随着频谱快速增长的需要,有效带宽调制技术——CPM(Continuous Phase Modulation,CPM)调制逐渐引起人们的注意。除了包络恒定和具有良好的频谱特性之外,CPM系统由于其相位连续的特点而具有纠错能力,被译码器利用使得CPM系统还具备编码增益的功能,这在当前移动通信应用中具有尤为重要的意义。
随着对一些新的编码方式的研究日渐深入,使得对抗恶劣通信环境的能力有了提高,研究这些编码方法与连续相位调制的结合方式对提高系统性能将具有很深远的意义。空时编码就是其中之一。文献研究了一种使用CPM调制的空时网格编码,该网格是空时码和CPM内部编码器的结合,易于寻找到良好性能的空时编码。文献讨论了空时分组码与二进制CPM调制的结合,引入了有限脉冲响应(Finite Impulse Respon-se,FIR)滤波器以获得更低的误码率。文献研究了一种迭代译码的LST(Layered Space Time,LST)-CPM模型,获得了低复杂度的接收机。
本文提出的空时分层码连续相位调制的简化接收机,基于CPM信号的Lanrent分解,减少了接收机的匹配滤波器个数;在各发射天线上采用差分编码,以提高译码性能;利用空时复用,在提高了数据传输速率的同时为系统在丰富散射环境下带来了更大的系统容量;对接收信号进行阵列处理和变换,使其适合于空时分层码MMSE(Minimum Mean Square Error,MMSE)有序干扰抑制消除(Ordered Interference Suppre-ssion and Cancellation,OISC)检测器的使用,避开了网格译码大运算量的缺陷,降低了接收机的复杂度。
1 系统模型
如图1所示,系统模型发射端采用横向分层空时编码(Horizontal LST,HLST)结构,串并转换之后各支路采用独立的编码器,经过CPM调制后经Nt根发射天线同时发出。接收端Nr根接收天线同时经过匹配滤波器,t=nT时刻采样,最后将Nr路采样结果送入分层空时编码检测接收机获取最终的发射符号序列估计结果。单根发射天线上信号流程图如图2所示。

如图2所示,信息序列I={in},in∈{0,1}首先被送入差分编码器得到二进制序列{pn},pn∈{0,1}。接着{pn}被映射为序列{bn},bn∈{±1}。最后经过二进制CPM调制后由天线将调制信号发射。可以证明,{in}和{pn}具有相同的均值和相关函数,因此差分编码不会改变CPM传输期望的谱特性。
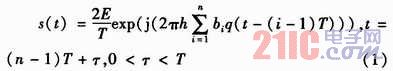
复基带二进制CPM信号可以表述为

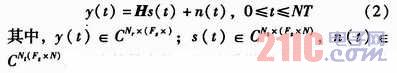
其中,E表示发射的比特能量;T是符号周期;h=m/p是调制指数;m与p为互质自然数。g(t)为相位成型函数。在加性高斯白噪声环境下,接收信号表示为

N为符号个数,Fs为采样频率。H为衰落信道系数矩阵,各元素服从零均值单位方差复高斯分布。
2 LST-MSK简化接收机
2.1 二进制CPM的Laurent分解
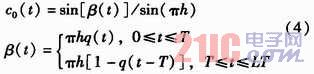
二进制CPM信号的一种等效表达方式为

其中,K=2L-1表示用来准确描述s(t)所需要的脉冲成分的个数;L为CPM的关联长度。当L=1时,K=k=1,因此只需要一个AMP脉冲来准确地表示相应的CPM信号,且

本文讨论的简化接收机正是基于这样的脉冲叠加表达形式,将包含的各脉冲作为接收端的匹配滤波器,与直接的ML(Maximum Likelihoo-d,ML)接收机相比,大大减少了滤波器的个数,减小了运算的复杂的。本文讨论的模型中发射端各支路使用相同的差分编码器,采用MSK调制,匹配滤波器为c0(-t)。
由式(2)可得,在Nt=2,Nr=4的情况下,有ML判决准则

表示第v根发射天线上第n时刻的系数。
表示取实部运算。
要实现式(5)所示的ML判决准则,采用维特比算法的最优检测器必须对
个状态网格进行完整的搜索,这样即使Nt和L的值较小,系统的运算量还是会较大。
2.2 利用MMSE接收机之前的信号处理
由式(5)看出,即使发射天线数Nt和关联长度L取值不大(如此处的Nt=2,L=1),接收端经过匹配滤波后直接进行Viterbi网格运算也将面临相当大的运算量。本文利用该模型下口an,v的取值特点,引入空时编码MMSE-OISC检测算法,避免了网格运算较大的运算复杂度,同时保证了较低的误码率。
经匹配滤波后,结合式(2),第时刻离散基带等效模型可表示为

其中,an,v与前后两个时刻的系数取值范围不同,因此该结果的实部(或虚部)完全由n时刻发射符号决定,而虚部(或实部)完全由n时刻前后两个时刻的发射符号决定。
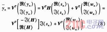
由于这个特点,本文考虑将接收端获取的信号进行阵列处理,将实部和虚部分离,以方便在不同时刻单独对信号的实部(或虚部)进行处理,在保证误码率的基础上简化检测的复杂度。对于向量,采用![]()
,而矩阵则采用

其中,
分别表示取实部和虚部运算。
为了保证接收端在某时刻仅处理信号的实部或虚部(如2n时刻,期望仅处理
),考虑找到矩阵H前或者后Nt列构成的零空间的一组标准正交基以消除
或者
的影响。因此,以奇数时刻为例,迫零处理采用的线性操作为

其中,矩阵
的列为由矩阵H前Nt列构成的矩阵的一组标准正交基。阵列处理之后,发射信号部分的等效结果为

此时,接收信号类似于BPSK调制下的分层空时编码结构,因此可以采用性能较好的MMSE检测算法得到n时刻各天线上系数的估计结果
。最后通过运算

得到第n时刻第v根天线上传输符号的估计结果,v=1,…,Nt。
3 仿真分析
考虑M=2,k=1/2,L=1的LST-CPM系统,其中,Nt=2,Nr=4。仿真过程中每帧的长度为120个信息符号,CPM调制的成形函数为GMSK脉冲,在每个信噪比下统计2 000个误码。图3给出了多种算法的误比特率性能比较。曲线“ML”,“MMSEOISC”,“MMSE BPSK”分别代表接收端直接采用ML检测的最优检测器,有序干扰抑制消除MMSE检测器,以及BPSK调制MMSE检测器的译码性能。文献介绍了分层空时码MMSE检测器的设计原理。

如图3所示,在低信噪比条件下,本文提出的简化接收机有效地降低了接收端的复杂度,而只引起较小的性能损失,保证了可实现性。
4 结束语
在MIMO无线通信中,空时分层码ML接收机具有较高的复杂度,为了在一定程度上解决运算量的问题,本文提出了一种MSK调制下的MMSE-OISC简化接收机。对于多天线系统,由于MSK信号Laurent分解的特点,检测器只需要一个匹配滤波器,再根据其奇偶时刻参数实虚交替的特征对信号进行阵列处理,获得了类似于BPSK调制的空时分层码结构,利用MMS-OISC检测接收机,避开了网格译码,同时保证了与最优接收机接近的译码性能。仿真结果验证了算法的有效性。
