1引言
缓冲电路" title="缓冲电路">缓冲电路参数值直接影响GTO的关断性能及整个GTO逆变器的工作性能。因此如何在设计GTO逆变器时合理设计缓冲电路参数,便成为重要的问题。
本文通过对GTO关断过程中阳极电流与阳极电压波形的分析,提出并论证了GTO阳极电流波形与缓冲电路参数无关、缓冲二极管的反向恢复" title="反向恢复">反向恢复过程与缓冲电路参数无关的论点。在此基础上,提出了一种简便、实用的缓冲电路参数优化设计方案。可根据对GTO装置性能的具体要求确定GTO缓冲电路元件最优参数。在对GTO关断过程中阳极电压及关断功耗波形进行仿真时,为提高仿真精度,采用了实测的阳极关断电流波形。并据此推导出关断功耗波形。仿真结果与实验波形比较,误差极小。本文提出了一种以“综合指标”作为目标函数的缓冲电路参数寻优方案。
2利用阳极电流波形对阳极电压波形仿真的前提条件
GTO缓冲电路可等效为图1所示电路。如要利用实测的阳极电流对阳极电压进行仿真,首先需要证明以下两个条件成立:
(1)GTO阳极电流波形与缓冲电路参数无关;
(2)缓冲二极管的反向恢复过程与缓冲电路参数无关。
2.1GTO阳极电流波形与缓冲电路参数无关
图2为GTO关断时的阳极电流波形。整个过程可分为3个阶段:即存储时间段、下降时间段及拖尾时间段。
在存储时间段及下降时间段中,存储时间ts及下降时间tf值仅取决于门极抽取能力及GTO内部结构,而与缓冲电路参数无关。此两段的阳极电流波形也与缓冲电路参数无关。
在拖尾时间段,拖尾电流基本

图1GTO缓冲电路示意图

图2GTO阳极关断电流波形示意图
上由下降时间段的阳极电流波形及结温决定,与缓冲电路参数无关。
图3中8条曲线是CS=2,3,4,5μF时的阳极电流及阳极电压波形。可见,在缓冲电路参数变化后,阳极电压波形变化较大,而4条阳极电流曲线基本上完全重合。由此实验可验证以上分析的正确性。
图中曲线(1),(2),(3),(4)为缓冲电路参数改变后的实测阳极电压波形;
曲线(5),(6),(7),(8)为缓冲电路参数改变后的实测阳极电流波形。
2.2缓冲二极管的反向恢复过程与缓冲电路参数无关
储存电荷Qr及恢复时间trr是缓冲二极管反向恢复过程中两个重要参数。在分析GTO关断过程时,可近似认为Qr,trr为常量。由图4可证明这一点。图4是改变缓冲电阻支路分布电感后测得的缓冲电阻支路电流及缓冲二极管支路电流。可见,在Lrs改变后,irs变化很大,而ids几乎不变。即可认为trr只与缓冲二极管本身的特性有关。
图中曲线(1),(2),(3)为Lrs改变前、后的实测缓冲电阻支路电流波形。
曲线(4),(5),(6)为Lrs改变前、后的实测缓冲二极管支路电流波形;

图3缓冲电路参数改变后的阳极电流、阳极电压波形
如图5所示的缓冲二极管反向恢复特性曲线,t>t5后的缓冲二极管上电流近似认为是1条二次曲线,可以较好地说明问题。曲线方程为:
(1)
(2)
式中trr—缓冲二极管恢复时间;
t5—ids=Ism的时间;
Ido—t=t7时缓冲二极管的电流值。

图4缓冲二极管恢复反向阻断能力后的ids,irs波形
3阳极电压波形仿真
利用GTO阳极电压与阳极电流间的数学模型,使用MATLAB语言进行计算机仿真,可由实测的阳极电流波形及缓冲电路参数得到阳极电压的仿真波形" title="仿真波形">仿真波形。仿真波形与实测波形相比,误差极小。如图6所示,图中曲线为CS=2μF及5μF条件下实际测得的阳极电压波形及相应的仿真波形。可见,仿真精度可满足寻优要求。
4缓冲电路参数优化设计方案
4.1目标函数的确定
下面具体讨论可以判断缓冲电路参数设置是否合理的指标。

图5缓冲二极管的反向恢复特性
(1)GTO关断过程中存在几个极其重要的动态参数" title="动态参数">动态参数,包括尖峰电压Up,峰值功耗Pfm,阳极电压上升率dua/dt,阳极再加电压峰值UDM。这些动态参数过高会导致GTO的失效,即GTO对这些动态参数的承受能力是有限的。设这些动态参数的极限值分别为(Up)m,(Pfm)m,(UDM)m,(dua/dt)m,(Urm-E)m。则可知,实际中GTO关断过程中的动态参数值与其极限值的比值越小,说明GTO装置工作性能越好。由于实用时的动态参数值与缓冲电路参数密切相关,可以说,一旦GTO及门极驱动电路确定,则GTO关断时的动态参数值将取决于缓冲电路参数。因此,实际工作时的动态参数值与其所能承受的极限值的比值,包括Up/(Up)m,UDM/(UDM)m,(dua/dt)/(dua/dt)m,Pfm/(Pfm)m,(Urm-E)m可作为衡量缓冲电路参数设置是否合理的指标。这些比值越小,则说明缓冲回路参数设置越优。
(2)GTO工作过程中的GTO关断能耗Eoff及缓冲电路能耗Esb是衡量GTO装置工作性能的重要参数。这些参数过大,虽可能不会使GTO在短时间内失效,但会使整个装置的能耗提高,进而影响装置的工作稳定性、可靠性。因而,我们可以把Eoff,Esb与一特定值(Eoff)m,(Esb)m的比值作为衡量GTO装置性能的指标。因Eoff,Esb与缓冲电路参数密切相关,故以上两个比值Eoff/(Eoff)m,Esb/(Esb)m也可作为衡量缓冲电路参数设置是否合理的指标。此两个比值越小,则说明缓冲电路参数设置越好。
(3)GTO的开通时间ton及关断时间toff直接关系到整个GTO装置的工作频率极限值的大小。ton,toff越小,则GTO装置的工作频率就可提得越高。其极限值为fmax=1/(ton+toff)。因此,ton,toff的值关系到整个装置的工作性能。ton+toff与某特定值tm的比值可作为衡量GTO装置频率性能的指标。同样,ton,toff的大小与缓冲电路参数关系极大。例如,如缓冲电路参数为CS,RS,则不可能使GTO开通时间低于5RSCS。因此,(ton+toff)/tm可作为衡量缓冲电路参数设置是否合理的指标。此比值越小,则说明缓冲电路参数设置越好。其中,tm可定为CS,RS取其寻优空间上限值时的开关时间。
(4)考虑到缓冲二极管动态特性的改善会导致其功率特性变坏。可把存储电荷Qr与其特定值的比值Qr/(Qr)m,恢复时间trr与某特定值的比值trr/(trr)m,这两个比值作为衡量GTO装置功率特性,同时也是反映GTO装置工作性能的指标。两个比值越小,则缓冲电路参数越优。其中:(Qr)m,(trr)m可定为实际寻优空间的上限值。
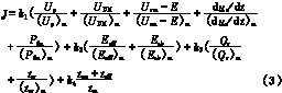
由上述分析可知,缓冲电路优化的目标函数J可定义为:
式中(Up)m,(UDM)m,(dUa/dt)m,(Pfm)m,(Urm-E)m分别为GTO关断过程中动态参数的极限值;
Up,UDM,dua/dt,Pfm为在特定条件下的GTO动态参数值;

图6GTO仿真波形与实测波形的比较
(Eoff)m,(Esb)m,tm为根据实际要求确定的特定值;
k1,k2,k3,k4为根据各项指标的重要程度确定的系数。其值可根据具体要求确定,一般可使k2>k1>k3>k4。
4.2约束条件的确定
GTO在关断过程中所能承受的动态参数极限值可作为寻优的约束条件。具体的讲,有以下几项:
①Up<(Up)m; ② UDM<(UDM)m; ③ dua/dt<(dua/dt)m; ④ Pfm<(Pfm)m; ⑤ (E- Urm)<(E- Urm)m; ⑥ ton+ toff<1/f, f为 GTO装 置 的 工 作 频 率 。
4.3寻优程序框图
如图7示,框图中(Cs)max,(Cs)min,(Rs)max,(Rs)min,(Qr)max,(Qr)min,(trr)max,(trr)min为寻优空间的上、下限;N1,N2,N3,N4为步长系数。
4.4寻优程序运行结果

图7寻优程序框图
优化设计目的:KG-91-2-5GTO使用于工作参数为600A,1000VGTO斩波器中。GTO的额定参数为1000A,2300V,确定最佳缓冲电路参数。
寻优程序参数的确定:
(1)寻优空间的确定
CS:从1μF到10μF,步长设为1μF,即N1=9;
RS:从1Ω到21Ω,步长设为5Ω,即N2=4;
Qr:从100μC到400μC,步长设为100μC,即N3=3;
trr:从1μs到7μs,步长设为2μs,即N4=3;
(2)目标函数的确定
考虑到GTO实际使用参数与其额定参数相差较大,故确定目标函数时选用较大的K2,突出能耗指标,使装置在优化参数条件下工作时有较低的能耗。
实际选取:
K1=1;K2=5;K3=2;K4=1。
程序运行结果:
目标函数极小值:Jmin=16.74;
最佳缓冲电路参数:CS=3μF;RS=6Ω;
Qr=200μC;trr=3μs。
