作为卫星导航系统,GPS" title="GPS">GPS具有性能好、精度高、应用广的特点,是迄今为止应用最广泛的导航定位系统。将GPS与嵌入式技术融合在一起,形成一个嵌入式的地理平台,是当前GPS领域的一个重要趋势。本文是在PXA270" title="PXA270">PXA270嵌入式开发板和GPS模块上开发实现的。在Linux" title="Linux">Linux下的嵌入式开发环境中,利用C++设计完成定位。嵌入式系统利用软件设计主要完成GPS定位信号的处理、电子地图的移植、地球坐标的转换、定位的显示等功能。
1 系统概述
嵌入式系统是控制、监视或者辅助装置、机器和设备运行装置;是软件和硬件的综合体,可涵盖机械等附属装置;有着友好的人机界面,支持LCD及GPS模块;主要完成提取GPS定位信号的数据、坐标转换、电子地图的显示等功能。软件设计流程如图1所示。

2 嵌入式系统软件设计
2.1 GPS模块输出的信息的提取
GPS模块通电后,会自动搜索卫星信号,并把计算数据从串口输出。所有GPS接收机以通用的NMEA格式输出数据。NMEA-0183协议定义的语句较多,但常用且兼容性较广的语句只有:$GPGGA、$GPGSA、$GPGSV、$GPRMC、$GPVTG、$GPGLL等。如图2所示。

用串口连接宿主机与开发板的串口0。宿主机进入Linux,打开Minicom终端。设置波特率115 200,8位数据,1位停止,无校验,无流控。串口的设备文件为/dev/ttyS*,其中,ttyS0为串口1,ttyS1为串口2,以此类推。在对串口通信之前,首先要对串口参数进行初始化、设置它的属性以保证通信双方的通信参数保持一致。初始化完串口,就可以进行读取操作了。由于GPS发送的数据类型都是以&GPGGA符
号开头,所以检测&GPGGA符号,进而进行下一步的处理。关键代码如下:

2.2 坐标转换
GPS模块输出的地理坐标是WGS-84坐标系。而国内地图一般是以54北京坐标系作高斯-克吕格平面投影。所以必须作一个坐标转换,即将GPS坐标(WGS-84坐标系)转换到电子地图坐标(54北京坐标系)。坐标转换的具体步骤如下:
(1)空间直角坐标转换成国家大地坐标,国家大地坐标转换成地图平面坐标。

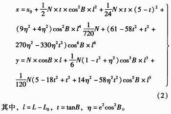
(2)由于x,y的具体推算过程复杂,这里就不全部列举,其结果如下

(3)地图平面坐标转换成屏幕坐标。例地图比例尺为1:k,窗口要显示的区域长、宽各为M和N,窗口像素点位A×B点,则定位数据xs,ys在窗口上坐标分别为

2.3 电子地图重构
一般来说,电子地图包含的数据格式都不能直接用在嵌入式平台,所以需要对电子地图的数据进行提取、存储、重构。目前主要使用的是桌面电子地图系统MapInfo,它是美国MapInfo公司的桌面地理信息系统软件,具有数据可视化、信息地图化的桌面解决方案。MapInfo数据格式主要分为tab和mif两种格式。MIF格式是MapInfo公司提供的一种与外界交换数据的机制。它主要用于保存空间对象的几何数据。将电子地图的数据读出后,再在嵌入式平台下,用绘图工具重新组成电子地图即可。部分实现代码如下


3 仿真测试
点测试、线测试、面测试如图3所示。

4 结束语
整个测距定位系统在PXA270嵌入式开发系统下完成,工程系统庞大,整个系统基本功能已实现。由于本系统软硬件平台有较强的升级能力,许多指标与功能可以进一步完善与提高。从GPS定位数据到电子地图数据的转换,需要一系列复杂的算法,这些算法有待进一步改进和简化,以提高系统运行效率和数据准确性。
