移动通信分为地面移动通信和卫星移动通信,卫星移动通信又可分为星座移动通信和静止轨道卫星移动通信。人们对地面移动通信系统用户越区切换时信道分配策略的研究已经比较成熟,而卫星移动通信系统信道分配策略的研究相对较少。GEO系统星地位置相对静止,因而成为区域性通信的首选。针对GEO 系统终端运行速度快、波束覆盖面积大等特点,将移动通信的几种信道分配技术应用于该系统,通过仿真来分析系统的性能。
1 系统模型
GEO 系统同其他移动通信系统一样存在2 种类型的呼叫,即初始呼叫和切换呼叫。初始呼叫是终端需要通话时发起的呼叫; 切换呼叫是当终端在通话过程中从一个区域移动到另一个区域时,为了不使通话中断,需要向新的服务区发起呼叫。切换呼叫的优先级高于初始呼叫,所以移动通信系统在分配信道时要保证切换呼叫呼损率低于初始呼叫呼损率。
GEO 系统一个显着的特点就是存在高速运行的终端,终端高速运行时不轻易改变方向,所以在模型中,终端只有4 个固定的运动方向,确定了运动方向后,在通话结束前不再改变。通话起始位置是随机的,如图1 所示。

图1 终端在波束覆盖区内运动示意图
为了分析系统的性能,所以首先确定与系统性能密切相关的各个参数。
驻留时间是描述一个移动终端在一个波束内时间量的随机变量。驻留时间分为初始呼叫驻留时间Tns和切换呼叫驻留时间Ths。Tns是一个终端呼叫从发起到离开波束的时间长度,T hs表示一个从相邻波束切换过来的终端在该波束的驻留时间。假设终端在每个波束的平均驻留时间为Ts,Ts 服从负指数分布,均值为1/ us,us= 0. 7182 × v / R,v 代表速度,R 代表波束半径。
呼叫持续时间T c 是指一次呼叫完成所占有的时间。假设其服从均值为uc 的负指数分布,即:

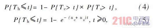
信道保持时间Th 是指在一个波束内终端呼叫占用的时间,信道保持时间通常等于或小于呼叫持续时间,如式3 所示。
![]()
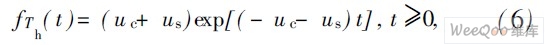
有了信道保持时间后,就可以求出系统的平均呼叫离去率。由:

其概率密度函数为:

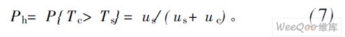
均值为E [ Th] = 1/ uh= 1/ ( uc+ us) 。无论是切换呼叫还是初始呼叫,当其在波束中的通话持续时间大于在该波束内的驻留时间时,就会发生切换,定义终端发生切换的概率为Ph:

2 技术方案
目前移动通信系统的信道分配方案主要有非优先切换方案、预留信道方案和排队方案。非优先方案是最基本的信道分配方案,系统对初始呼叫和切换呼叫一视同仁。当没有信道可用时,便形成呼损;预留信道方案将信道分为正常信道和预留信道,正常信道为初始呼叫和切换呼叫所竞争,而预留信道只服务于切换呼叫; 排队方案不对信道进行分类,当系统没有可用信道时,新到达的切换呼叫可以排队等待系统分配信道,在排队过程中,切换呼叫无法立即接通,且排队队列越长,切换呼叫接通的等待时间就越长。
在上述几种信道分配方案中,预留信道方案通过预留信道降低切换呼损率,但却导致初始呼损率上升; 排队方案通过排队机制降低切换呼损率,却使切换呼叫产生一定的延迟。如果将预留信道方案与排队方案相结合,即预留少量的信道同时又引入排队机制,这样就不会导致初始呼叫呼损率过大,并可以通过排队进一步降低切换呼损率。
3 仿真分析
根据上述各种参数的推导,结合以下参数设置,通过仿真来分析系统的性能。
波束覆盖半径R : 500 km; 每个波束的信道数M: 30 条; MES 在切换区驻留时间1/ uq 为信道保持时间1/ uh 的1/ 4; MES 移动速度v: 1 000 m/ s; MES每次通话时长20 min。预留信道方案预留2 条信道,排队混合方案预留2 条信道并且排队队列为10。
如图2 所示,非优先方案的初始呼损率最低,切换呼损率最高; 预留信道方案的切换呼损率较低,但初始呼损率却较高,因为信道的利用率降低了; 排队混合方案的初始呼损率和预留信道方案是相同的,它的切换呼损率是最低的,因为在排队混合方案中,切换呼叫除了可以参加排队之外,还可以使用预留的信道。

图2 3 种方案初始呼损率和切换呼损率比较
预留不同的信道数对系统性能有很大影响,如图3( a) 所示,预留信道越多,系统性能越差,因为预留信道不能被初始呼叫所使用,降低了信道的利用率,进而降低了系统容量。由图3( b) 可见,对于不同的队列长度,初始呼叫的阻塞率几乎没有改变。
因为初始呼叫不参与排队,队列的大小和初始呼叫没有任何关系,排队只是针对切换呼叫。对于切换呼叫,当呼叫强度较低,每小时少于20 次时,队列大小对系统性能影响不明显,因为排队混合方案为切换呼叫预留了信道; 当呼叫强度增大,预留信道被全部占用,切换呼叫开始参加排队。但并不是队列值越大,系统可容纳的呼叫强度就越大,当呼叫强度达到55 次/ h 以上时,队列大小对系统性能的影响同样不明显。当呼叫强度为30 次/ h,预留2 条信道,队列大小为10 的排队混合方案的切换呼损率和初始呼叫呼损率分别约为0. 001 和0. 02,而预留信道方案在保证切换呼损率为0. 001 时,至少要预留5条信道,而预留5 条信道时的初始呼损率高达0. 1,显然排队混合方案比预留信道方案有更好的性能。

图3 预留信道数和排队值大小对系统性能的影响
由图4 可以看出终端的平均通话时长越长,其阻塞概率就越大; 平均通话时长越短,系统可容纳的呼叫强度就越大。因为通话时长越长,占用信道的时间就越长,单位时间内被释放出来的空闲信道就越少,降低了系统的容量。终端的平均移动速度与系统的性能也有密切的关系,当终端平均运动速度大时,发生切换的概率就越大。信道数目有限,终端发生切换的概率变大,单位时间内占用本波束信道的终端移出本波束的概率就会增大,被释放出来的信道就会增加,所以系统单位时间内可容纳的呼叫强度就会增加。

图4 终端通话时长和移动速度对系统性能的影响
4 结束语
通过仿真分析了GEO 卫星移动通信系统的非优先方案、预留信道方案和排队混合方案3 种信道分配方案下系统的性能,并研究了终端通话时长和移动速度对系统性能的影响。从仿真结果可以看出,单纯采用预留信道方案虽然降低了系统的切换呼损率,但却提高了初始呼叫呼损率; 排队混合方案在取得与预留信道方案同样的切换呼损率时,可以获得更低的初始呼叫呼损率,排队混合方案优于预留信道方案。
