PCB布局遵循的常规方法很多,如:热点分散;将发热最大的器件布置在散热最佳位置;高热耗散器件在与基板连接时应尽能减少它们之间的热阻;PCB的每一层要大量铺铜且多打通孔等。而在进行PCB布局前,对PCB的热设计至关重要。
市场上卡类终端的功耗现状和面临的挑战
随着LTE无线网络的部署,下行的数据速率已经达到并超过了1Gbps,要处理这么高的数据速率,数据终端必需要很高的数据处理能力,同时必然带来功耗的增加。而我们正在研发的几款产品均出现了热的问题,有几款样机在大速率数据传输时甚至在几分钟内就出现系统崩溃的现象,而这些问题的根源就是发热,热设计已经成为了卡类终端的一个挑战。苹果公司iPAD产品的一个实例,大量用户反馈其产品在较高环境下出现问题,这从侧面反映了热设计对于终端产品的重要性。功耗热已经成为了工程师在产品设计的初期需要认真考虑的一个关键问题。
终端平台的热源器件主要有基带芯片、射频芯片、功放、电源管理芯片等,这些器件的功耗有的可以从厂商给的datasheet中查到,有的查不到,对于从datasheet中查不到功耗数据的热源器件,需要根据经验或同类项目的测试数据进行估算,还可以直接向平台提供商索取相关数据。表1为某项目主要热功耗器件的功耗评估结果。

从表1的数据中我们可以看到一款数据卡的功耗已经接近了4W,要想在U盘大小的结构件内耗散这么大的热量,PCB的热设计可以说已经成了产品能否可靠工作的一个至关重要的设计考量。
卡类终端产品的一种热布局算法
自然对流冷却的热流密度经验值是0.8mW/mm2,即当每平方毫米的面积上分布的功率是0.8mW时,可以产生很好的自然对流冷却效果。热源器件的热距离的计算是基于此经验值进行的。计算方法如下:
设某芯片的长是L(mm),宽是W(mm),该器件的功耗是Pd(mW)。
要达到自然对流冷却效果,该器件应占用的PCB面积是:
![]()
限定器件长边和宽边的热距离相等,均为x(mm),则把热距离考虑在内该器件占用的PCB面积是:

以上计算仅考虑了PCB单面散热,实际PCB双面都可以散热,如果热源器件背面没摆放其它器件,那么背面的铜皮也可以起到散热作用,此时的热距离将是上面计算所得数据的一半,即:
![]()
下面计算热源器件所占的PCB面积。

在PCB布局中,上面的计算数据往往是不可行的,因为PCB的面积有限,如果按上面的数据进行布局的话,PCB的面积就不够用了,所以需要对上面的数据按一定比例压缩,可以把上面的热距离除2作为压缩后的热距离,由此计算压缩热距离后热源器件所占的PCB面积如下:
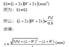
热源器件背面有器件,压缩后所占PCB面积:S1=
![]()
热源器件背面无器件,压缩后所占PCB面积:S2=
。表2计算了本项目热源器件的布局热距离及布局面积。

器件的热工作可靠性分析
任何一个热源器件能承受的最高结温是有限的,这个最高结温在厂家给出的datasheet内都能查到,如果热源器件实际工作的结温高出了能承受的最高结温,那么热源器件的工作将会进入不可靠状态,对于这种情况,在PCB布局时就要考虑把这类器件远离其它发热器件,周围大面积铺铜,所在位置正下方的内层和底层也大面积铺铜,以此来解决这类器件结温过高的问题,所以计算热源器件实际工作的结温在PCB的热设计中也是非常重要的。另外还需计算热源器件相对于环境的温升,知道了热源器件相对于环境的温升,就知道了哪个热源器件温度最高,这样在热布局过程就会做到心中有数。
终端产品热设计算法和可靠性在项目中的应用

热源器件的功耗分析、热源器件的热距离布局面积计算以及热源器件的环境温度分析都完成后就可以开始PCB的布局了,PCB的布局需要遵循最基本的热设计原则,如:热点分散;将最高功耗和发热最大的器件布置在散热最佳位置;不要将发热较高的器件放置在印制板的角落和四周边缘;高热耗散器件在与基板连接时应尽能减少它们之间的热阻等,另外还要按照上面计算的压缩热间距布放热源器件,在热源器件的压缩热间距内尽量少布器件,更不能布放发热器件,热源器件的背面也要尽量少布器件,更不能布放发热器件。图1为本项目的最终PCB版图,图2为其温度测量图。由图可见,本设计方法是实用的。

