超声流量计对流场状况非常敏感,但是目前的研究重点主要集中于二次仪表,即如何利用现代检测技术通过信号处理的方法来提高仪表性能。如果要进一步提高超声流量计的测量精度,必须对流场的流动特性进行深入细致的研究,这样才能从根本上解决问题,并充分发挥一次仪表对性能改善的潜力。本文将针对超声流量计可能遇到的理想与典型非理想流场流速情况进行研究,分析流场特性,从理论上为降低超声流量计的计量误差提供详细的流场信息。
1 层流与湍流流场的流速分布研究
1.1 层流流场的流速分布研究
当管道中的雷诺数小于3 500时,认为其中的流动属于层流状态。在管道内取出半径为r,长度为l,与管道轴线重合的小段圆柱,作用在圆柱两端面的压力分别为P1和P2,作用在圆柱侧面的内摩擦力为Fi。由受力平衡的准则,可以建立方程:
![]()
由于相邻层面上流动的内摩擦力与层面的接触面积2πrl、层面间的速度梯度du/dr以及流体的粘度η成正比,因此其中的内摩擦力可以表示为:

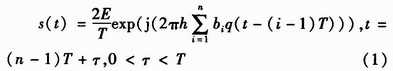
由式(3)可知,管道内的层流流动为抛物线分布,最大流速发生在轴线上,其数值为Umax=△PR2/(4ηl)。为使流速的表达具有普遍性,将流速用最大流速表示为:
![]()
由式(4)可以获得层流状态下的速度分布曲线,如图1所示,其分布形式为抛物线状。

在管道截面上对流速积分并平均,获得理想层流流动的面平均流速为:

1.2 湍流流场的流速分布研究
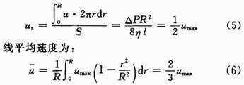
当管道中的雷诺数达到4 000以上时,可以认为已经进入湍流状态。对于充分发展的湍流流动速度分布通常采用半经验的幂函数:

式中:n可以用普朗特方程:
表示。当n变大时(相当于雷诺数变大),管道内的速度分布趋于平坦,其分布形式如图2所示。图中曲线从下至上分别为n等于6,7,8,9时的速度分布。

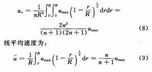
通过在截面上对分布式积分,可以获得管道内的面平均流速为:

2 单弯管流场的流速分布研究
单弯管的几何结构如图3所示。其中,截面A为被观察截面,距离出口为1R。

对于离散后的流体力学方程组进行数值计算时,首先需要给定解条件,主要是初始条件和边界条件:入口边界设定为速度入口,给定流体平均流速,对应雷诺数为1×104;出口条件设定为压力出口,数值为一个大气压,即表压为零。在给定的初始条件与边界条件下获得的流动截面二次流流函数的等值线如图4所示。
如图4可知,对于单弯管流场,它的流速分布具备一定的规律,其速度等值线沿着管道轴心的水平截面呈基本对称状态。
由于弯管的影响,单弯管流场和充分发展的管道流场的速度分布将有所不同,其在不同剖面上的速度分布也不一样。其横向截面与纵向截面分布的剖面图如图5所示,根据式(8),式(9)可知,在某一截面及单一路径上,面平均速度及线平均速度分别为:

式中:r0∈[0,R]。由此可得单弯管横向截面及纵向截面的线平均速度分布分别如图6,图7所示。


通过对单弯管流动状态下的速度分布进行模拟可以看出,单弯管中的二次流是两个以管道轴心水平截面对称的涡,所以流速分布具备一定的规律。而纵截面的流速分布是对称的,比横截面的规律性强,所以在实际应用安装超声流量计时,可以利用数据偏差的相互补偿来提高精度,这和单弯管流场的纵截面流速分布的特殊性有关。
3 双弯管流场的流速分布研究
双弯管流动也是工业现场比较典型的一种流动方式,双弯管会引起涡流和回流,会对超声波流量计的计量精度造成非常不利的影响。
双弯管的几何结构如图8所示。其中,截面A为被观察截面,距离出口为1R。

同理,在给定的初始条件与边界条件下,获得的流动截面二次流流函数的等值线如图9所示。
在双弯管流场中,根据式(10),式(11)可得其截面速度分布如图10所示。

通过对双弯管流动状态下的速度分布进行模拟可以看出,在双弯管流动的后侧二次流形成涡,并且在局部出现回流,所以没有固定的规律可寻。对于这种流动情况,当声道布置的声线方向与二次流速度矢量平行时,将导致严重的测量误差。
4 结语
从层流和湍流两种流动状态的速度分布进行模拟,指出充分发展的层流流场的速度分布比较规则,而湍流流场的速度分布则主要取决于流场的雷诺系数。进而计算了单、双弯管在特定雷诺数下的流动情况,从单、双弯管流场的速度等值线和截面速度分布可以看出:对于单弯管流场,其二次流分量基本上是两个对称的涡,其速度等值线沿着管道轴心的水平截面呈对称状态,所以其纵向截面线平均速度分布也是对称的;而双弯管流场的流动相对单弯管流场更复杂,速度等值线及其截面速度分布也更不规律。双弯管的二次流表现为单一的涡,在截面的特定位置会出现缓慢的回流现象。所以对于这种流动情况,当声道布置的声线方向与二次流速度矢量平行时,将导致严重的测量误差。
