1 引言
随着无线通信技术的迅速发展,微波通信技术通信的应用的范围非常广泛。微波天线" title="微波天线">微波天线是微波通信系统中最重要的部分,凡是能利用电磁波来传递的信息几乎都依靠微波天线传递与互换,同时微波天线也可辐射电磁波等能量。微波天线是微波通信系统收发设备的“出入口”,天线性能直接影响整个系统的运行。目前关于微波天线优化的研究成果虽然很多,但多数均是从单一因素进行考虑,优化效果并不是非常理想,本文通过综合考虑多种因素并优化微波天线选择参数来寻找更合理的选择方法。
2 微波天线选择时应考虑的因素研究
图1为微波传播示意图,微波信号在传输过程中,会受到大气、海面、地面、高大建筑物、山峰的折射和绕射等影响,导致信号衰落和失真,甚至中断。因此对微波传输天线进行优化,必须根据微波通信的基本特点,研究微波在传输过程中受到的影响因素,进而进行优化以减少信号衰落和失真。

2.1 地面地形因素
在微波通信系统中,信号传输主要利用微波的视距传播。微波通信的频率大部分在2~20 GHz范围内,不同的地形条件,其反射系数及电平损耗不同。无线电波在自由空间传输时,其单位面积内的能量会因自由扩散而减少,所减小的能量称为自由空间传输损耗,用Ls表示,单位为分贝(dB),其计算公式为:

式中,f为发射频率,GHz;d为站距,km。
由式(1)可见,微波传播过程中树林、建筑、山头或地面障碍物等会阻挡一部分电磁波,增加损耗。而平滑地面或水面可将一部分信号反射到接收天线,反射波和直射波矢量相加可能相互抵消而产生附加损耗。地面反射对视距传播有重要影响,它是产生电平衰落的主要原因之一。但当微波传输路径上有刀刃形障碍物(或山峰)阻挡时,如果障碍物的尖峰恰好落在两个相邻微波站的收信天线和发信天线的连线上,微波传输会增加6 dB电平衰耗;当障碍物的尖峰超出连线时,电平衰耗将增加更快,实际应用中应避免出现这种情况,可通过改动微波传输线路或增高天线来改动传输特性。为更好的分析微波的传播特性,应用菲涅尔区的概念进行分析,则从波源到观察点的电波可认为是通过许多菲涅尔区传播的,且在观察点的合成场强E≈E1/2(E1为第一菲涅尔区的场强),即只要保证第一菲涅尔区的一半不被地形地物遮挡.就可近似得到自由空间传播时的场强。若要知道阻挡物多高才能满足传播条件,必须计算第一菲涅尔区的半径F1单位为m,计算方法为:

式中,d指收发间距离,km;λ是波长,m。
由式(2)可知,为避免附加损耗,必须使所有障碍物都处于第一菲涅尔区以外。在地面障碍物高度一定的情况下,波长越长,电波传播主要通道的横截面积越大,相对遮挡面积就越小,接收点场强就越大,因此,频率越低,绕射能力越强。
2.2 地面反射因素
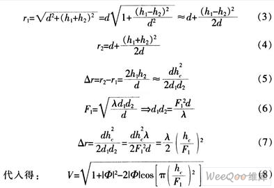
在微波的传播过程中,在接收点除收到直射波外,还会收到经地面反射的反射波。反射点到直射波的垂直距离称余隙hc,接收点的合成场强与自由空间场强之比称为地面反射引起的衰落因子,用V表示,单位为dB,hc/F1称相对余隙。借助余隙hc计算V,其计算过程如下:

式中,r1为直射路径,m;r2为反射路径,m;△r为行程差,m;hc为余隙,m;F1为第一菲涅耳区半径,m;φ为反射系数。
从以上计算过程可知,衰落因子V与相对余隙HC/F1有关。如图2所示,当hc/F1=0.577时,V=1,VdB=0 dB,收信场强E=E0,此时余隙具有特殊意义,记为h0=0.577F1称为自由空间余隙。当hc/F1<0.577时,发生绕射衰落较大;随着余隙增大,反射点处于第一菲涅尔区,反射信号与直射信号同相相加,使衰落因子出现正值;当余隙增大到一定程度时,反射点进入第二菲涅尔区内,反射信号与直射信号反相,衰落因子急剧下降,甚至会造成信号中断。

2.3 大气的影响
大气中带电粒子都有其固定的电磁谐振频率,当接近谐振频率时就会产生共振吸收,使微波产生衰减,但其相对于自由空间产生的衰减是微不足道的;另外雨雾中的小水滴也会使电磁波产生散射衰落,一般在10 GHz以下,衰耗并不严重。因此,这里主要研究大气折射的影响。
大气的不均匀使大气的成分、压强、温度和湿度都随高度变化,引起大气折射率也随高度发生变化,这将导致电波传播方向发生变化,并同地面反射和直射造成微波的多径衰落。电波在自由空间的传播速度c与在大气中的传播速度v的比值,即n=c/v。当无折射时,地球半径为R0,余隙为hc,地球突起高度为h,d1、d2分别为反射点到收、发两端的水平距离,则任一点的地球凸起高度为:

由式(13)可知:当K>1,正折射时,等效余隙hce增大;K<1,负折射时,等效余隙hce减少。在实际选用天线时要综合考虑各种因素,应重点考虑地形、地面反射和大气折射的影响。
3 微波天线优化方法的研究
为保证微波天线的发送端可有效将信号发送至目的地或中继站,在接收端" title="接收端">接收端能够可靠接收到信号,应在充分考虑地面、大气及其他自然因素影响的基础上采取一定优化措施。
3.1 分集技术的优化
分集技术,就是在接收端将相关性较小的多路收信机输出信号进行选择或合成,从而减轻多径衰落造成的影响。分集技术是通过查找和利用自然界无线传播环境中独立的(至少是高度不相关的)多径信号来实现的,如果一条无线传播路径经历了深度衰落,而另一条相对独立的路径中可能仍包含较强的信号,因此可以在多个信号中选择2个或更多的信号进行合并,这样可同时提高接收端的瞬时信噪比和平均信噪比.一般可提高20~30 dB。具体实现方法有以下几种:
(1)空间分集又称天线分集 图3是移动通信中使用较多的分集形式,采用多副接收天线来接收信号,然后进行合并。为保证接收信号的独立性,要求天线问的距离足够大,在理想情况下,接收天线之间的距离只要大于波长λ的一半即可。从技术角度讲,分集天线数即分集重数越多,性能改善越好,但当分集重数多到一定程度数时,分集重数继续增多,性能改善量将逐步减小。因此,分集重数在2~4重较合适。

(2)极化分集在移动环境下,空中的水平路径和垂直路径是不相关的,因而信号也呈现不相关的衰落特性。在发射和接收端各装两副天线,一副水平极化天线,一副垂直极化天线,可得到2个不相关的信号。在蜂窝移动用户激增时,这一技术在改进链路的传输效率和提高容量方面效果明显。
(3)角度分集信号在传输过程中受环境影响,使得到达接收端的信号不可能是同方向的,这样在接收端安装方向性天线可合并不相关的信号。
分集改善效果指比较采用分集技术与不采用分集技术对减轻深衰落影响的效果。常用标称改善效果定量衡量分集的改善程度,即用分集增益和分集改善度2个指标来描述。分集增益是指在某一累积时间百分比内,分集接收与单一接收的收信电平差。这一电平差越大,分集增益越高,说明分集改善效果越好。分集改善度指在某一相对的收信电平时,单一接收与分集接收的衰落累积时间百分比之比,其比值越大,说明分集改善效果越好。
3.2 自适应均衡技术的优化
电波在空间辐射时,由于高山、建筑物的反射形成多条路径传输。接收端的接收信号是各路径不同时延波形的叠加。带宽限制和非线性会造成信号波形畸变,引起相邻码元之间的串扰,以上情况都将引起误码。自适应均衡就是通过接收端的均衡器产生与信道特性相反的特性以抵消信道时变多径传播引起的干扰,可消除波形叠加、码间串扰,也能减小加性噪声干扰,从而减小误码的技术。均衡分为频域均衡和时域均衡。频域均衡指总的传输函数满足无失真传输的条件。时域均衡是使总冲击响应满足*间干扰的条件。在实际电路中,往往同时采用频域和时域自适应均衡器,最大限度地提高电路的抗衰落能力。

图4为应用最广泛的横向滤波式均衡器原理框图,该均衡器的横向滤波器由2N级延迟线T和可调的加权电路组成,每级延迟1 bit。在中间(中心抽头)脉冲S0的前后各有N个脉冲,总共有2N+1个脉冲。
3.3 阻抗匹配的优化
天线的输入阻抗是天线馈电端输入电压与输入电流的比值。天线与馈线" title="馈线">馈线的连接,最佳情形是天线输入阻抗是纯电阻且等于馈线的特性阻抗,这时馈线终端无功率反射,馈线上没有驻波,天线的输入阻抗随频率的变化较平缓。天线的阻抗匹配就是消除天线输入阻抗中的电抗分量,使电阻分量尽可能地接近馈线的特性阻抗。
4 结束语
微波天线作为无线通信不可缺少的一部分,其性能直接影响通信系统的指标。描述微波天线的特性参量有方向图、方向性系数、增益、输入阻抗、辐射效率、极化和频带宽度等。探讨微波天线选择时需考虑的因素,并从分集技术、自适应均衡技术、阻抗变换等方面提出优化方案,有一定创新思想。
