传统的开关电源就像是交流电网上的非线性负载,电源的输入端均使用桥式整流器和紧接大容量滤波电容器,它的峰值充电效应产生的高次谐波电流从输电线辐射出去而污染电网。功率因数校正PFC(Power Factor Correction)是十几年电源技术进步的重大领域,它的基本原理就是从电路上采取措施,使电源输入电流实现正弦波,并与输入电压保持同相位,正弦化就是要使其谐波为零,两波形同相位就实现了功率因数PF=l的目标。
本文基于功率因数校正芯片UC3854设计了一台输出电压为400V,输出功率为1000W的功率因数校正器。文中讨论了该样机的设计方法和工作原理。并就输入电流谐波失真的问题给出了分析,试验结果表明,所设计的样机运行可靠,性能基本达到设计指标。
l 工作原理
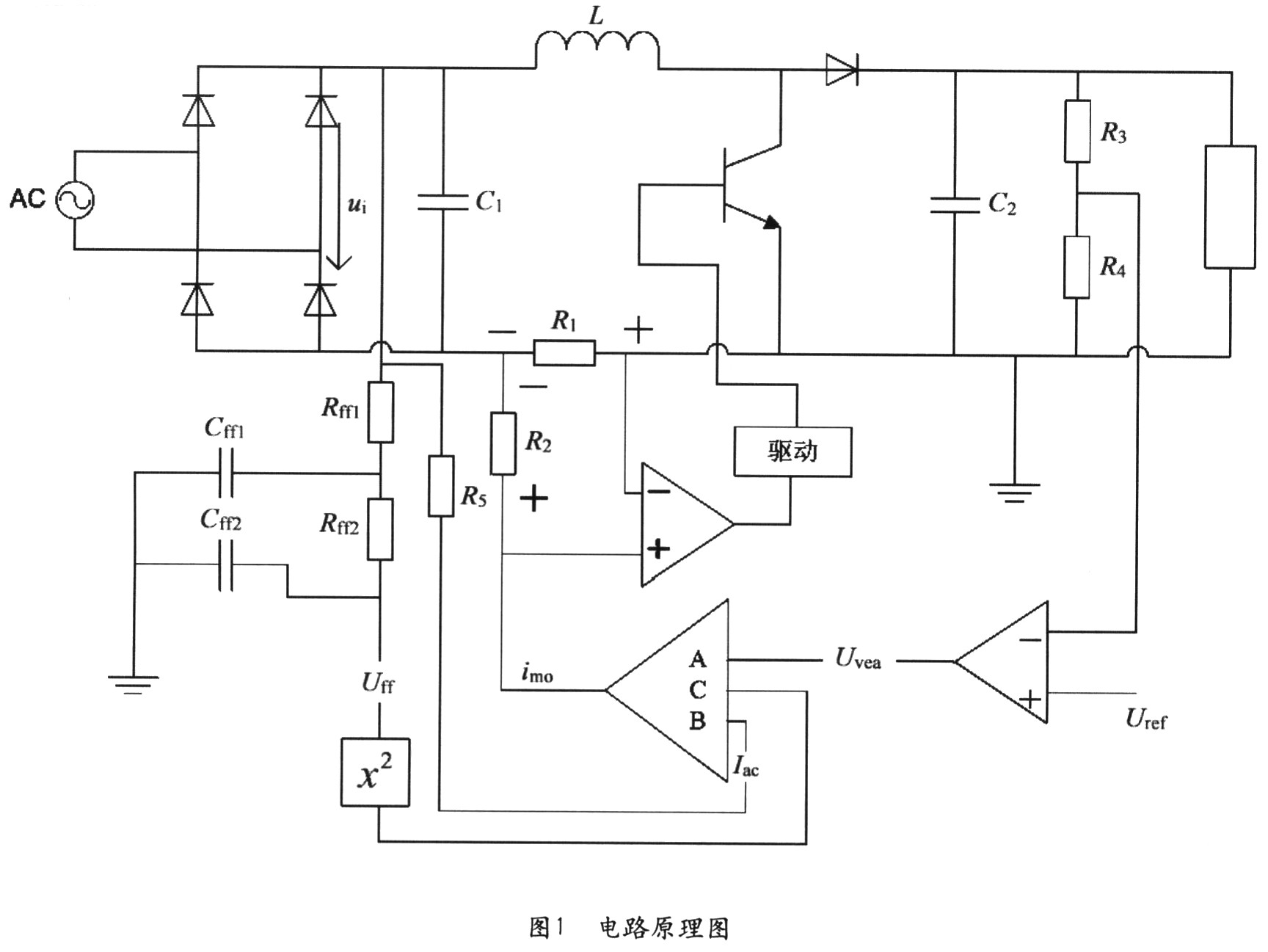
图l给出了所设计的用平均电流控制的Boost功率因数校正器电路原理图。

主电路整流桥输出电压ui为正弦波的绝对值,流经R5得相似电流波形,加到乘法器的B输入端,乘法器输出电流为

当输入电压一定时,A和C为常数,imo的波形与B相似。A和C的数值缓慢变化时,不影响imo的波形,imo在R2上的电压降UR2=imoR2=Upref。Upref既是波形控制环路的基准电压,其波形也是正弦波的绝对值。输入电流i的取样电路是一个小电阻R1,取样电压为Uis=iR1。取样电压与基准电压比较得到的误差电压
当波形误差放大器和主电路两者的电压总增益足够大时,误差电压△UE极小,可以忽略,故有
可见输入电流i的波形和乘法器输出电流imo的波形相似。当PWM信号波为高电平时,开关管导通,输入电感电流增大到大于
时,PWM信号波变为低电平,开关管截止,这样占空比得到控制从而调节输入电流使之跟随输入电压波形。
为更好地改善输出稳压性能和动态相应速度,还加设了电压前馈乘方功能,由图可知,乘法器C端的值正比于U2,即C∝U2,而B正比于U,即B∝U,所以
的值随输入电压的减小而增大,故输入功率
常数。即输入功率可以保持恒定。
2 分析设计
2.1 电感器的选择
对于平均电流型控制的UC3854,允许升压级在连续或断续工作模式之间移动,而其性能不变。电感值根据低输入电压时半个正弦波顶部的峰点电流来选择,或根据此处输入电压和开关频率的占空因数选择。关系式如下:
本试验中L=0.45mH。由于铁粉芯材料具有磁导率小、线性度高、饱和磁密大、工作频率范围宽的特点。所以广泛应用于功率因数校正电感的设计。在本设计中电感的选用性价比较高的铁粉芯材料,原边16匝,副边4匝。
2.2 输入电流谐波失真的分析
下面对输入电流的畸变原因做出相应的理论分析:
电流基准信号imo为
其中,iac为乘法器输入电流,Kd为除法器比例系数,Uvea为电压误差放大器输出电压,Kg为平方器比例系数,Uff为前馈电压。
通过分析Boost功率因数校正器控制原理可知,输入电流的波形主要取决于电流基准信号的波形(基波),因此,分析输入电流的谐波失真可转化为分析imo的谐波,实际上,由于Uin是个含有二次谐波(占基波66%)的“馒头”波电压,故Uff和Uvea中的电压纹波(低频)均是两倍电网频率的二次谐波。
如果假设Uvea和Uff中的二次谐波含量幅值均为平均的1%,即Uvea和Uff表示为
上式说明:输出电压误差放大器输出中如含有1%的二次谐波,则在电流基准信号中产生0.5%的三次谐波电流,前馈电压中如含有1%的二次谐波电压,则在电流基准信号中产生1%的三次谐波电流分量。
2.3 电压控制环
电压控制环由电压误差放大器和升压级组成,其作用是保证输出电压稳定,其结构如图2所示。
2.4 电流控制环
电流控制环由电流误差放大器、PWM比较器和功率级组成,它通过开关管的占空比迫使输入电流跟踪输入电压,其控制系统结构如图4所示:
电流控制环的传递函数为:
其中功率级传递函数为:
电流误差放大器的结构图如图5所示:
其传递函数为:
2.5 轻载时输出电压飘升问题的解决
在本试验过程中发生了这种现象:轻载或者空载时,变换器的输出电压缓慢飘升,发生这种现象的基本原因在于电流运放的输入电压失调上,最简单的解决办法是在电流放大器的3脚、4脚间并联一个大电阻,即加上一点直流反馈,将输出的正电平送一点到反相输入端以补偿失调。
但是,这种简单方法也有缺点:本来电流运放在轻载时需要正电平补偿,重载时不需要补偿,可是直流反馈偏置的结果却是负载越重,电流运放输出越高,因而补偿更重。当反馈过大时,将限制电流运放的输出高电平幅度,从而限制了PWM调制器的最大输出脉宽,这样将影响整个PFC电路的输入电压调节能力,即当输入交流较低、同时负载也较重时,输出电压可能达不到额定值。较好的解决办法为增加电流运放的附加偏置,如图6所示,图中R1为兆欧级数值的电阻,R2可根据情况适当加以调整,通过分压电路给反相端4脚加一个固定的偏置,这样就解决了上述反馈偏置的缺点。
3 试验结果
设计了一台试验样机,输入电压为80V到270V,输出电压为400V,最大输出功率1000W,主电路升压电感0.45mH。检流电阻为0.05Ω,输出电容为470μF。图7给出了输入端电压和电流的波形。图8给出了电感侧电压波形。图9给出了输出电压波形。图10给出了开关管驱动信号波形。
4 结论
实验结果表明,本文所设计的基于UC3854的功率因数校正器,其性能指标达到设计要求,控制电路设计明显简化。基于该芯片的卓越控制能力和极低的价位,为提高中小功率的开关电源的功率因数和抑制谐波污染提供了一条可行的技术途径。
