管道运输以其特有的经济、便携、安全等优点而被广泛应用于石油、天然气等液体、气体、浆液的运输中,并且已成为与铁路、公路、航空、水运并驾齐驱的五大运输行业之一。但是,随着管线的增长,以及不可避免的腐蚀、磨损等自然或人为原因,管道事故频频发生。管道的泄漏不仅影响正常的生产,造成能源浪费和经济损失,而且由于所输介质的危险性和污染性,一旦发生事故还会造成对环境的污染和巨大的生命财产损失,因此泄漏的监测是一项重要的管道故障监测技术。为了减少损失,需要在有泄漏时立即监测出来,并且能够指明泄漏发生的位置。
现有的一些管道泄漏监测方法或仪器设备还不能满足对输油管道进行准确监测的要求,因此,本文结合我国管道输送的实际情况,针对原油管道泄漏监测技术及其运行监测系统进行了研究,并提出了一种超声波流量计输油管道泄漏监测方法,提高了定位精度,降低监测费用。
本系统采用前后端机结构的主从式设计,具有高速数据采集、数据通讯、数据库存档与分析等功能。测量过程由计算机自动控制,测量结果打印并带有标准通信接口,可与上级控制系统直接连接,便于信息处理。并将混沌理论应用于信息处理中,充分发挥计算机网络的优势,建立管道泄漏监测系统,以达到及时发现泄漏,并准确定位的目的。
2 对管道泄漏监测系统的要求
泄漏监测的目的是减少泄漏物质损失及尽量杜绝泄漏物对人们生命财产和环境造成进一步危害,为此,理想的监测系统应该满足以下各方面的要求。
准确性 泄漏发生后,能够准确地测报出泄漏,不致因为操作失误和设备故障等因素发出误报警。
灵敏性 理想的检漏系统应该能监测出从渗漏到管道断裂的全部范围内的泄漏情况,发出正确的报警提示。
实时性 理想的检漏系统能够在泄漏发生后,实时地监测出泄漏的发生。以便操作人员即刻采取行动,减少损失。
定位精度高 长输管道穿越距离长,检漏系统需能够提供给操作人员准确的泄漏点位置,以使维修人员尽快到达漏油点,进行补封作业。
易维护性 检漏系统装置维修调整容易。
3 管道泄漏监测仪系统整机电路框图
管道运行状态监测仪以数字处理芯片作为CPU,包括信号转换电路、A/D采集电路、数据显示电路、实时时钟电路、远程通讯电路、与主计算机通讯的接口电路、声光报警电路以及电源电路等。图1是监测仪整机电路框图。为消除传感器输出的信号经长距离传输引入的干扰,信号转换电路首先对信号进行滤波和放大。为消除系统共地给系统运行带来的不稳定因素,系统中采用高性能的隔离放大器AD202将被测信号与监测仪进行隔离。AD202采用信号耦合变压器使放大器输入端与输出端没有电路联系,并能完成放大功能。AD202功耗小、精度高(最大非线性度±0.025%)。
![]() |
信号采集器组采集超声波流量计的信号,经信号传输电缆传送至管道状态监测仪。
管道状态监测仪以PC机为核心,实时监控管道运行状况,运用流量时差法对管道泄漏进行预报警,控制远程数据通讯链路取得管道另一端监测仪的数据,送入系统计算机总站。远程数据通讯链路通过通讯网线进行数据的传送。
总站定时询问所有分站,从每一个分站收集各种和声速有关的状态参数,收集到所有分站数据后,总站咨询它内部的用于描述管道组态的拓扑程序,然后计算出最后一分钟流入和流出测量管段的标准体积,如不平衡超过预设的报警设置值,将发出泄漏报警。
4 超声波流量计管道运行监测系统的软件设计
整个系统软件以Windows 2000作为平台,结合Matlab工具、高速数据采集卡动态链接库的优点,由软件开发工具Microsoft.net完成各个功能模块的调配控制和实现。系统软件的模块化设计如图2所示。
![]() |
任务调度与管理程序是系统的核心管理模块,主要利用操作系统的多任务性,实现程序对整个系统任务进行调度。
数据采集模块主要利用高速数据采集卡对外部传输来的信号进行准确快速地采集,保证后续数据处理的实时性和准确性。
数据传输模块利用VXD技术编程实现采集卡的虚拟仪器驱动程序,提供了对DMA中断和部分I/O的操作,主要完成将采集卡采集的数据转换成可方便处理的二进制代码文件和数据库源文件。
混沌算法处理模块是整个系统的核心模块,利用理论研究中的混沌处理算法对信号进行分析处理,提取管道泄漏特征信息,提高判断的灵敏度和可靠性,从而解决信号的处理与识别工作。
显示打印模块利用Matlab强大的图形显示功能实时给出混沌振子的间歇混沌图像和信号处理结果,并可完成实时输出。
日志数据库模块完成数据的动态更新和复杂的查询任务,本系统使用的是微软公司的数据库管理系统MS SQL Sever 2000,用ADO进行配置数据库、设置数据源,实现本系统的对数据库访问的实时高效的功能。另外,为了保证数据传输准确快速地进行,数据通讯软件的设计具有多级的数据纠错和数据压缩功能。
5 混沌算法处理模块
混沌算法处理模块是整个系统软件的重要部分。它主要包括两个部分的内容:信号预制的实现和混沌振子的实现。
信号预制的过程是指在信号进入混沌振子阵列前将其频率压缩至1~10范围之内的过程。鉴于本课题将首先应用于微弱超声信号的测量,而由于不同的实验可能采用的超声发射频率不同,所以定义表征超声发射信号频率的全局可变参量float Pre_Proc。又因为发射信号频率的已知性,故而很容易经过判断后将频率进行压缩。混沌振子的实现包括单个振子的实现和时间尺度变换算法的实现。
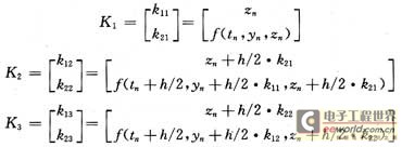
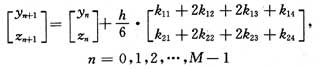
用四阶龙格一库塔法求解,计算公式为(h为算法步长):
![]() |
![]() |
时间尺度变换的方法很简单,就是将龙格库塔法中的积分步长取为初始值的1/ω即可。软件中我们定义RungKutta(float Pace,float w)函数来完成步长为Pace、参考频率为w的Duffing方程的数值积分。
在信号频率确定后,信号的相位值可由锁相方法确定,而幅值则可根据混沌周期段最大幅值对应的矢量合成峰值减去该混沌振子的参考信号幅值来确定。
运用混沌算法准确地提取了压力信号中所包含的负压波信息,定位精度在1%以内,满足工程应用要求。
6 结语
结合管道输送的实际情况,针对原油管道泄漏监测技术及其运行监测系统进行了深入的研究,利用超声波流量计,依据流体的流量与超声波流量计传播速度之间的关系,对管道流量进行实时连续监测。充分发挥计算机网络的优势,建立管道泄漏监测系统,以达到及时发现泄漏,并准确地确定其位置的目的。




