引言
在国家和社会,近年来的工作重心之一,便是节能减排了。如何合理利用资源、有效保护资源,是每一个人义不容辞的社会责任。而当前节能减排的重点在于实现技术节能,由于压电材料具有优良的特性,国内外对压电材料的研究较多。因对压电发电技术的研究较少,故压电发电技术必将成为未来的发展趋势,然而压电材料具有产生电量少,且不连续等难题,本研究为解决此难题,把压电材料发电技术与无线传感器结合,监测压电材料振动以使其振动能量的储存达到最大化,实现发电,为节能减排作出重大的贡献。
1 整体方案设计
1.1 系统整体结构框图设计
首先设计系统的整体工作流程图,以便为设计思路提供理论上的依据,以保障系统高效、有序地实施。系统的整体结构框图如图1所示。

图1 系统整体结构框图
1.2 系统发电的工作原理
充分利用日常生活中普遍存在的运动压力和空气压力双作用于压电材料PVDF,由其压电效应便可快捷地产生电荷。一方面通过运动压力挤压压电材料PVDF,进行一次发电;另一方面利用活塞连杆装置压缩空气,作用于PVDF,产生的压力进行二次发电,大大地提高压电材料的发电效率。然后通过超低输入升压电路,可对外输出较高电压,再通过储能电路,形成稳定的电压对可充电电池充电,最后由密排电池组集中对外供电。
1.3 系统主体结构设计
在公路路面下铺设一段压电材料聚偏氟乙烯(PVDF)或是直接的压电材料路面,压电材料通过防压弹簧进行复位与保护。由于压电材料具有很好的绝缘性,故在其表面镀一层金属层,然后接引线,便于将系统产生的电荷导出。此外,相邻的四块压电应变片通过无线传感器,进行高效、迅速的实时监测,便于电能的实时收集。压电材料膜片下接活塞压缩缸,即为空气压缩系统部分;压缩缸下面安装有薄膜气缸,压缩空气进入薄膜气缸作用于压电材料,此为二次发电部分。系统主体部分的结构图如图2所示。

图2 系统主体部分结构图
1.4 压电材料产能机理
压电效应分为正压电效应和逆压电效应。所谓正压电效应,是指某些物质沿一个方向受到外力作用时,在其表面上便产生电荷,当外力去掉后,表面的电荷随之消失。反之,如果将这种物质置于电场中,在电场作用下产生机械变形,当外电场去掉后,变形也随之消失,这种现象称之为逆压电效应。准确地说,压电发电技术是利用压电材料的正压电效应,将机械振动能量转变为电能,实现发电的目的。
实际应用时为了增大输出值,压电材料往往需要用两个或两个以上串联或并联使用。并联时,输出电荷量大、电容大、时间常数大,适宜缓变信号作用和以电荷输出的场合;串联时,输出电压大、电容小、时间常数小,适宜高频信号作用和以电压输出的场合。
1.5 高效压电材料PVDF结构及其电性能
PVDF是目前压电性能最优的压电材料之一,作为一种新型薄膜状换能材料具有质地轻软、可绕性好、压电特性好等特点。与目前常用的无机物压电材料(如石英、压电陶瓷类)相比,它还具有声阻抗小、频率响应宽、介电常数小、耐冲击性强,便于加工成任意形状等优点。
本设计利用PVDF的可延展性和压电特性,建立压电发电公路。
2 系统发电量分析
2.1 压电材料产生电能的等效模型
为了详细地了解压电材料产生电荷的机理,本设计采用了有限元分析法,截取了一小块压电材料的一个截面进行受力及电荷产生的分析。图3为一块压电材料的一个截面图。

压电元件在压力作用下,会产生形变。由于压电效应,压电材料上下表面产生电荷,此时,压电元件相当于一个电容,电容在两极产生电荷后就储存能量。
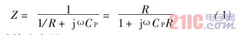
从电学角度来看,压电元件可以简化为一个正弦电流源iP(t),与内在的电极电容CP并联。假设电流源与电极电容恒定,负载可调,由戴维南等效定理可得该电路的阻抗为:

可求出电路输出电压:

输出功率:

当R=1/(CP)时,即外接负载电阻和压电元件等效阻抗相匹配,负载吸收的能量最大。
2.2 压电材料施力模式及电能计算
在实际使用压电材料时,通常采用如下两种施加力的方式:31模式和33模式。31模式表示坐标3方向施加应用,坐标1输出能量;33模式表示坐标3施加应用,坐标3输出能量,如图4所示。由于使用模式33时可以获得更大的输出功率,因此本设计采用33模式进行设计计算。

在外界压力作用下的压电材料产生的电荷和电压为:

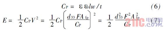
将压电材料等效为一个电容,其储能公式是:

式中:d33为压电材料的压电常数;F为作用在压电材料表面的应力;Afp是作用力施加的区域;l,w和t分别是压电材料的长、宽和厚度;r为压电材料的相对介电常数;0为真空介电常数。
3 系统电路的设计
3.1 无线传感控制系统的设计
系统采用的方案是,将相邻的四片压电材料通过一个无线传感器进行实时监测,实现高效、迅速、灵敏且最大限度地收集压电材料所产生的电能。系统无线传感控制系统与电网监测系统的设计原理图如图5所示。

无线传感控制系统的工作原理:预先设定无线传感器的额定工作频率及转换的额定工作电压,只有相邻的压电应变片达到预设的工作频率,其应变才能被无线传感器检测到,其产生的电能才可以被无线RF传输电路传递给电网集成电路集中收集。
3.2 RF远程传输电路的设计
系统主要应用于公路发电系统,也有可能安装在环境较为恶劣的地区,故采用了传输效率高、传输响应频率严格的RF远程传输电路来提高系统能量的收集效率。
RF发射电路由发射头电路和微处理器两部分组成,其工作原理是当微处理器和发射头电路同时上电后,微处理器串行输出口TXD发送一组数据,通过发射头电路以电磁波形式发送到空中。数据发送时间要小于10ms,因为压电发电装置所提供的电压在控制电路的调解下每次只能持续1s,故所设计的发射电路要适应压电发电装置这个特性。
在系统中,利用RF发射电路将系统电网收集的电能集中传输给升压及储能电路,实现了远程传输和远程控制。在一些特定的区域应用时可以大大减少安装、运输及管理成本等。
3.3 升压电路的设计
一般的升压电路,当电源电压低于DC/DC驱动电压,DC/DC根本无法启动及进行任何升压动作。因此首先要解决的就是升压电路的启动问题。但是系统增加启动电路必然使整个电路复杂化,且电路的稳定性降低。本设计需要的是一种不加启动电路的升压电路。
采用S882Z系列充电泵就能使上述问题迎刃而解。S882Z系列按放电开始电压大小有4个品种:分别为1.8V,2.0V,2.2V及2.4V,在型号后缀中用18,20,22及24来区分。例如,S882Z20是放电开始电压为2.0V的充电泵。
该系列的主要特点如下:输入电压VIN范围在Ta=-30~+60!时为0.3~3.0V;Ta=-40~+85!时为0.35~3.0V;工作时的消耗电流在VIN=0.3V时为0.5mA(最大值);有关闭控制,在关闭状态或称休眠状态时耗电小于0.6A(VIN=0.3V);关闭控制电压为放电开始电压降0.1V(小于等于3.0V);内部振荡器频率为350kHz;外部仅接一个启动电容(CCPOUT);小尺寸SOT235封装。
3.4 储能电路设计
压电元件产生的电荷是瞬间和交替的,是以不规则的随机突发形式提供能量,而且在电能提取过程中具有阻尼效应。当振动能传递到压电材料时,由于压电材料内部电阻太大(相当于断路)或电阻太小(相当于短路)时,产生的电能未消失,会再次转化为振动能;重复这种过程,振动衰减会持续一段时间。所积聚起来的电荷阻碍电荷的进一步生成,因此必须先在一个超级电容器中积累足够的能量,然后通过转换电路将能量储存于电池中。
本系统采用MAX1811作为主控芯片设计电路对可充电电池进行电能收集。MAX1811体积小,尺寸为5.00mm?6.20mm?1.35mm,它是一种高集成度电池充电器,所需外围元件很少,易于控制电路体积,而且,它可以用于锂电池充电。
MAX1811有两个设置端,其中SELV设置为高时,对电池的最终充电电压为4.2V;设置为低时,最终充电电压为4.1V,可适应不同最终充电电压的锂电池,MAX1811最终充电电压的精度可达到0.5%,能安全地对电池进行充电。另一个设置端是SELI,开关K闭合设置成高时,充电电流为500mA,适用于高功率的端口(4.75~5.25V,500mA);开关断开为低电平时,充电电流为100mA,适用于低功率端口(4.40~5.25V,100mA),CHG一端在充电期间为低电平,可连接一只发光二极管作充电指示。
压电材料振动得到的交流电电压大约为1V,通过升压电路后电容电压达到MAX1811充电控制端输入电压要求,电路开始工作。MAX1811的各项参数满足设计要求。
4 发电系统测试流程设计
压电发电装置及试验系统从主体结构设计、电路设计到软件编程组建了一套完整的压电材料发电能力的试验测试系统,这为接下来要进行的对压电材料发电性能参数的测定提供了平台,并且为研究外界激励的频率、振幅对压电材料发电产生电压、电荷量大小的影响提供了分析测试基础。
测试系统的工作原理为:由功率放大器和高能激振器组成的信号发生器输出一个频率及振幅可调的正弦激励,为以压电材料为主体的结构提供激励源。经霍尔位移传感器和电荷放大器分别检测压电材料变形量和压电材料变形所产生的电荷量,并用图6测试系统工作框图电阻分压的方法把压电材料产生的输出电压调整到采集卡允许的输入电压范围。然后使用数据采集卡对三路信号进行采集,最后利用采集软件进行数据的采集、存储、处理等。

5 结语
设计制作了简易的压电发电装置样机,对影响压电振子发电能力的因素进行了试验分析,同时测试了压电发电装置的发电性能和能量转换系统的驱动能力。
由于压电发电具有节能、环保等优点,因此在压电发电领域具有良好的应用前景。
从压电能量在点火装置、传感器和光电测试仪等设备中的应用,到压电能量的大量捕获、存储,甚至利用压电技术发电,这是压电能源发展的必然趋势。根据实际振动环境和条件,选择更优化的结构配置、压电振子材料和几何参数,以及高效的能量转换存储电路是提高振动能量捕获量和捕获效率的必要途径,也是压电发电技术要发展成熟必须要解决的难题。
