摘要:介绍了一种有效抑制纹波的实现方法。并用实验结果表明,采用文中的方案可对DC/DC电源的输出纹波进行有效的抑制,可以改善供电设备的稳定性。
0 引言
开关电源以其体积小、效率高等优点在通信设备中得到了广泛应用。但对于输出电压纹波要求较小的场合,传统开关电源设计的输出电压纹波较大,已不能达到设计要求。而通过采用本文的有源滤波器及其前端加入LC低通滤波器网络的方法,则能够对纹波进行有效抑制,从而达到设计所需要的指标。实验结果表明,该方法具有一定的理论与实际意义。
1 有源滤波器原理
有源滤波器的设计原理图如图1所示,图中采用了一个运算放大器、四个电阻和两个电容来构成有适当阻尼的二阶有源低通滤波器。

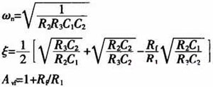
利用理想运放的分析方法,求得该电路的频率特性函数为:

一般情况下,根据二阶低通滤波器的频率特性函数为:
![]()
通过上式可以求出该有源滤波器的一些参数,如自然角频率ωn阻尼系数ξ和闭环增益Avf等:

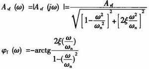
由上面的公式可以推得二阶低通滤波器的幅频特性Avf(ω)和相频特性φf(ω)为:

图2所示是其幅频特性与相频特性图。

2 LC低通滤波器
在实际应用中,有源低通滤波器由于受到运算放大器的增益和带宽限制,其工作在高频段的波形效果不太理想,而在有源低通滤波器的前端加入截止频率较高的LC低通滤波器,则可以达到比较理想的纹波抑制效果。其前端加入LC的滤波器原理图如图3所示。
3 实验结果及其波形
在有输出纹波的波形中,图4给出了未使用有源滤波网络的输出电压纹波图,而图5所示则是使用有源滤波网络后的输出电压纹波图。

4 结束语
通过对比可以看出,采用本文的有源滤波网络及在其前端加入LC低通滤波电路,可以有效的滤除电压纹波,达到方案中所要求的技术指标,同时,供电设备的工作稳定性也可得到可靠保证。
