摘要:针对工作于临界导电模式" title="导电模式">导电模式下(CRM)的功率因数校正器(PFC" title="PFC">PFC)的输出储能电容" title="储能电容">储能电容有效值(RMS)电流及其电压纹波,进行了详细的数学推导。对功率因数校正(PFC)和临界导电模式(CRM)进行了简要的介绍,给出了临界导电模式下(CRM)输出储能电容(Bulk Capacitor)的有效值(RMS)电流及其输出电压纹波(Ripple)的计算公式,从而达到了确定电容值的目的,这对于电容的选取尤为重要。
关键词:临界工作模式;功率因数校正;储能电容;有效值;纹波
对于谐波电流的危害,早在20世纪80年代初国际电工委员会(IEC)就引起了重视。限制离线系统的输入电流谐波、提高线路功率因数的技术措施,被称作功率因数校正(PFC),也被称作谐波滤波。其目的在于减小电流的总谐波失真(THD)。在工作中,各种法规要求电流接近正弦波,并与交流线路电压同相,呈现纯阻性。众所周知,功率因数定义为有功功率与视在功率之比。PFC分无源和有源两种类型,即被动PFC和主动PFC。被动PFC又分为静音式和非静音式,但效果远不如主动PFC。
功率因数校正电路按导电模式可分为连续导电模式(CCM)和临界导电模式(CRM)。一般认为低于100 W的功率等级,CRM方法更合适,而高于200 W的功率等级,CCM方法更加可行。但通常将临界导电模式用于小于300 W的功率因数控制电路。
1 输出电容均方根电流
临界导电模式工作是针对低功率应用的最常用的方案。可变频控制方案是其一大特色,在这种方案中电感电流斜升到所需平均值的两倍,再斜降到零,随即再次上升,见图1。

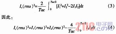
如图2所示,电容电流是二极管电流I1和负载所吸收的电流I2之差:
![]()
因此,整流交流线路周期中的电容均方根电流是这个周期中I1和I2差的均方根值。所以:

第一项(I1(rms)2),这是在前一部分中计算得出的二极管均方根电流。第二和第三项与负载有关。在不知道负载特性的情况下无法计算它们的值。
无论如何,只要知道了负载,便通常容易计算出第二项(I2(rms)2)。一般,这是下游转换器吸收的均方根电流。与此相反,第三项较难确定,因为它取决于I1和I2电流的关联状况。因为PFC段和负载(一般是一个开关电源)不同步,所以这一项甚至看上去不可能进行估计。只要注意到这一项会减小电容均方根电流,那么相应的就可以导出:

其中I2是负载电流。这是一个近似公式,没有考虑二极管电流的开关频率纹波。只考虑了产生储能电容低频纹波的低频电流,而式子考虑了高频和低频纹波。
2 输出电压纹波
输出电压(或储能电容电压)存在两种纹波。第一种对于开关电源而言较为典型。此纹波源于电流脉冲以开关频率对输出进行馈电的方式。因为储能电容具有寄生串联电阻(ESR),因此不能完全滤除这个脉冲能源。输出电容的ESR如图3所示。

更确切地说,在导通时间中,PFC MOSFET导电且不向输出提供能量。储能电容对负载馈送它所需要的电流。电流和储能电容的ESR电阻形成一个负电压-(ESR·I2),其中I2是瞬时负载电流,在关断时间中,二极管将线圈电流送至输出端,流过ESR上的电流形成ESR·(Id-I2),其中Id是二极管瞬时电流。
这个说明假设PFC段所馈送的能量与负载在每个开关周期内吸收的能量完全匹配,因此可以认为储能电容的电容部分上的电压恒定,只有ESR产生了一些纹波。实际上,功率因数校正会附加一个固有的低频纹波。输入电流和电压均为正弦,PFC段馈送的功率具有正弦平方的形状。然而,负载一般吸收一个恒定的功率。因此,PFC预转换器传送的功率仅与负载需求的平均功率匹配。输出电容通过提供(存储)瞬时匹配所需的部分能量来补偿输入功率的不足(过大)。下图说明了这种行为。

粗虚线代表负载吸收的功率。PFC段提供具有正弦平方的功率。只要这个功率小于负载要求,储能电容便通过提供它所储存的部分能量来补偿。因此输出电压减小。当PFC预转换器馈送的功率超过负载功率消耗量,储能电容将重新充电。PFC功率的峰值是负载需要的两倍。
当输入电压最小和最大时,输出电压等于它的平均值。在输入电压的上升阶段,输出电压低于其平均值,在输入电压减小过程中,输出电压高于平均值。输入功率和输出电压相似,电容电流的频率(在电阻性负载的情况下)是交流线路电压频率的两倍。

在计算中,不需考虑开关纹波,因为它和低频纹波相比通常很小。另外,开关纹波取决于负载电流波形,这不能用通常的方法来估计。
在临界导电模式下,一个开关中的平均线圈电流为:


3 结论
与传统的开关模式电源相比,在估计PFC段中的电流和电压时,将面临另一大困难:正弦波调制。在不能忽略开关纹波的临界导电模式中,这个困难尤为突出。如本文所提到的,可以用以下方法来克服这个困难:首先计算它们在一个开关周期中的值;然后,因为开关周期与交流线路周期相比非常小,所以可以在正弦周期中对结果进行积分。
提出的理论分析有助于估计PFC段储能电容受到的应力,从而可以优化选取PFC电路的储能电容,但同时试验和可靠性测试必不可少。
