随着中国汽车市场的不断扩大, 消费者购车的需求已经悄然发生变化, 车辆的舒适性、便捷性、娱乐设备配置逐渐成为选车的新标准。车载多媒体系统最初只装备在个别高端车型上, 随着汽车市场的不断发展和各品牌车型的更新换代, 这套系统已经逐步成为一般车型的常用装备。多媒体系统为车主提供了诸多方便, 使驾车出行变得轻松。车主可以使用广泛的信息和娱乐系统, 例如收音机、CD 播放器、TV、导航系统和车载电话等。消费者对车载多媒体系统的声音质量要求越来越高, 高水平的音效成为车载多媒体电子产品的重要卖点。设计师们通过专业的数字信号处理器来实现精准的音效处理,提升系统的音质。
1 系统结构
本文设计的是一个高品质车载影音多媒体系统。该方案采用了全数字16:9 液晶显示屏,分辨率高达800×480。
系统以双核SoC 为主处理器,处理器内置图形加速部件具备独立显存,令影像播放效果更加流畅。系统可接入四路视频信号,分别为DVD、倒车后视摄像头、IPOD 的视频和外接备用视频, 通过AD 转换器转换为ITU656 标准视频信号, 输入主处理器。
在音频方面, 不同于市面上其他产品, 本系统的CD碟机与SD 卡媒体播放音频采用全数字I2S 格式输出, 音源全数字域切换, 并直接进入专业的数字音频信号处理器(DSP) 中, 进行全数字音频均衡、高低音调节, 并可以实现3D 声场效果。该功能完全不同于普通车载音响采用的模拟滤波器音频均衡方式, 令音质更加完美。音频数模转换部分采用业内公认的高品质24 bit DAC 转换器,DAC 内置过采样高阶数字低通滤波器。DAC 输出后的模拟有源滤波器采用4 阶巴特沃斯型。有源滤波采用发烧级运放NE5532 , 模拟音频部分采用LDO 单独供电,使得音质更完美。具体结构如图1 所示。

2 数字音效软件设计
多媒体系统采用均衡器EQ(Equalizer)调节音效。均衡器可以分别调节各种频率成分电信号放大量,从而补偿扬声器和声场的缺陷,具有补偿、修饰各种声源及其他一些特殊作用,即音效。一般的多媒体系统都支持几种预置的音效,如正常、摇滚、爵士、民歌、布鲁斯、古典、重金属等,也可以由用户自己调节几个主要频段的增益。
2.1 算法简介
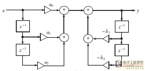
调节声音效果的重要工具均衡器把若干滤波器组合在一起, 各自带有中心频率、Q、提升或衰减量的控制,如图2 所示。

图2 均衡器
双线性传递函数定义如下:

以上传递函数定义了6 个参数, 也可以消去公倍数, 将参数转换为5 个,即:

或者:

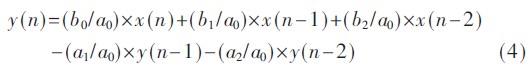
由传递函数式(2) 可得:

定义如下均衡器参数:Fs为采样频率、f0为中心频率、dBgain 为增益, 以分贝为单位、Q 为品质因数( 中心频率f0和带宽B 之比,Q 值越大, 表明滤波器频率分辨力越高)。
然后计算一些中间变量:

最后推出参数:

2.2 DSP 简介
TAS3103 支持3D 和环绕立体声的算法, 可实现软件音量控制, 低音和重音控制功能, 以及每一信道多达12波段的独立的信道均衡。3 个通道中各有12 个双线性滤波器, 可以实现12 个波段的增益调节。双线性滤波器的结构如图3 所示。

图3 双线性滤波器结构图
双线性滤波器传递函数为:

2.3 DSP 软件实现
本系统音效调节有两种方式:
(1) 选择预置音效模式: 包括NOMAL( 一般)、POP( 流行)、CLASSIC(经典)、JAZZ(爵士)、ROCK(摇滚)共5 种模式。
(2) 用户自定义模式: 手动设定各个频点的增益, 本DSP 可支持多至12 个频点的增益设置, 为产品升级预留空间, 本界面实现了5 个频点, 但具体实现方法和流程是完全相同的。
音效调节界面如图4 所示。

音效调节的流程如图5 所示。

图5 音效调节流程图
当用户选择预置的音效模式( 一般、流行、经典、爵士、摇滚)时, 将预置的参数设定入存储器。
在自定义模式下, 实现音效调节需要进行增益读取、系数计算、参数转换和参数设置几个步骤。
2.3.1 增益读取
增益限定为-12 dB~12 dB, 由于是图形化界面调节,为使用方便, 参数取整数。单击“+ ” , 增益值加1; 单击“- ” , 增益值减1。将增益通过驱动DeviceIoControl ( ) 函数传递给DSP TAS3103A 。
2.3.2 系数计算
系数计算要用到采样频率、中心频率、增益、品质因数几个参数。
(1) 增益: 由于用户设定的各频点增益单位是dB, 因此先要换算为倍数。
(2)采样频率: 由音源的采样频率确定, 本系统中TAS3103A 的输入端为DVD 光驱,其采样频率为44.1 kHz。
(3) 中心频率: 根据人耳的特性,5 个中心频点分别为:50 Hz、200 Hz、1 kHz、3 kHz、14 kHz。
(4)品质因数: 按照业内通行算法, 取值为1。
系数计算流程如图6 所示。

图6 系数计算流程图
2.3.3 参数转换
32 位寄存器中有效位数为28 位, 格式为5.23 形式,5 位是整数部分( 最高位为符号位),23 位是小数部分, 具体示意如图7 所示。

图7 5.23 形式示意图
将系数转换为5.23 参数的格式的具体流程如图8所示。

图8 将系数转换为5.23 格式的流程图
2.3.4 参数设置
参数设置通过I2C 总线对TAS3103A 进行读写操作来实现。
3 应用效果
选用预定模式中爵士音效, 实现从2 kHz 开始, 高音shelf 滤波, 使得JAZZ 模式乐器和声音效果更加饱满, 如图9 、图10 所示。

本文介绍了车载影音多媒体系统的总体设计, 并重点说明了多媒体系统中用均衡器来调节音效的原理、算法以及在TI 公司的音频DSP TAS3103A 上实现的方法。
目前该系统音效已成为产品的突出卖点。
