IGBT技术不能落后于应用要求。因此,英飞凌推出了最新一代的IGBT芯片以满足具体应用的需求。与目前逆变器设计应用功率或各自额定电流水平相关的开关速度和软度要求是推动这些不同型号器件优化的主要动力。这些型号包括具备快速开关特性的T4芯片、具备软开关特性的P4芯片和开关速度介于T4和P4之间的E4芯片。
表1简单介绍了IGBT的3个折衷点,并对相应的电流范围给出了建议。
表1:英飞凌1200V IGBT简介。
IGBT和二极管的动态损耗
为研究和比较这三款不同芯片在杂散电感从23nH到100nH时的开关损耗和软度,我们选用了一种接近最优化使用T4芯片的合理限值的模块。因此,选择一个采用常见的62mm封装300A半桥配置作为平台,而模块则分别搭载了这三款IGBT芯片。
这三个模块都采用了相同的高效发射极控制二极管和栅极驱动设置。图1为实验设置。

图1:测试设置:为测试续流二极管的反向恢复特性,驱动高压侧IGBT,并将负载电感改为与低压侧二极管并联。
图2显示了两个不同杂散电感对配备IGBT-T4的300A半桥的开通波形的影响。

图2:T4的开通特性:上图显示的是针对两个电感(Ls=23nH和Ls=100nH)的损耗/时间曲线;下图显示的是电压和电流曲线。
当电流升高后,更高的杂散电感Ls不仅可以增大器件端子的电感压降(Δu=-L*di/dt),而且还能影响电流上升速度di/dt本身。尽管寄生电感使导通速度减缓,但导通损耗却大幅降低。
在该示例中,初始开关阶段的损耗(见图2中的时间戳a)随着杂散电感的增大由30.4mW降至12mW。
开关事件第二阶段的特点是二极管出现反向恢复电流峰值以及IGBT电压进一步下降。寄生电感的增大会导致反向恢复电流峰值的延迟,以及第二阶段开关损耗的提高。
因此,就整个开关事件而言,寄生电感的增大可大幅降低开通损耗。在本例中,损耗由40mW降低至23.2mW。
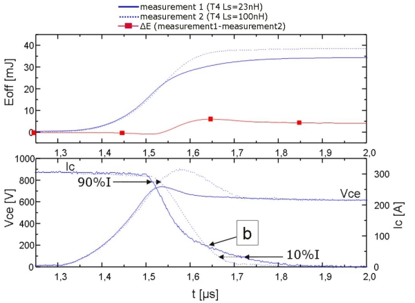
众所周知,虽然在开通过程中di/dt可降低IGBT的电压,但在关断过程中它也会增大IGBT的电压过冲。因此,直流母线电感的增加会增大关断损耗。如图3所示,关断的开关事件可分为两个阶段。

图3:小功率IGBT的关断特性:上图显示的是损耗/时间的曲线(实线:L=23nH、虚线:L=100nH);下图显示的是电压和电流曲线。
小电感和大电感设置的电流波形在时间戳b的位置交叉。在第一开关阶段直到交叉点b,采用大电感设置升高的过压会使损耗增至36.3mJ,而小电感设置的损耗为30.8mJ。不过,在b点之后,大电感设置会产生较短的电流拖尾,这样该阶段的损耗会比小电感设置的损耗低1.8mJ。这一结果主要受电流拖尾降低的影响,即更快速地达到10%的值。
随着杂散电感的增大,IGBT的开通损耗会降低,二极管损耗则会增大(如图4所示)。图4显示了在小电感和大电感条件下二极管恢复特性的对比。

图4:二极管恢复特性:上图显示的是针对两个电感的损耗/时间曲线(实线:L=23nH、虚线:L=100nH),下图显示的是电压和电流曲线。
显而易见,IGBT降低的di/dt几乎对二极管换流开始阶段的损耗没有任何影响,因为二极管电压依然维持在零左右。在反向恢复峰值电流之后,更大杂散电感引起的二极管电压升高决定并导致了额外的损耗。小电感和大电感设置的二极管拖尾电流中可再次看到交叉点c。更高的过压使得c点之前的损耗从10.1mJ增至19.6mJ。与IGBT的情况一样,增加的动态过压会导致c点之后的拖尾电流降低,大电感设置的损耗平衡将优化4.4mJ。总之,第一开关阶段起主导作用,二极管损耗随着电感的增加从24.6mJ提高至29.7mJ,增幅为20%。

表2:对英飞凌IGBT的折衷:在相同杂散电感和软度条件下的关断损耗。
实验结果的总动态损耗
尽管在开通过程中,di/dt与寄生电感的结合可降低IGBT的电压,但在关断过程中,它将增大IGBT的电压过冲。将开通与关断过程进行左右对比,不难看出,在较大寄生电感时开通损耗的降度远高于关断损耗的增幅。
如果考虑到最新沟槽栅场截止IGBT的关断di/dt本质上受器件动态性能的制约,约为导通di/dt的一半,就可轻松理解这一趋势。
在图5中,对IGBT开通损耗、关断损耗以及二极管换流损耗与三款IGBT的寄生直流母线杂散电感进行了对比。

图5:开关损耗作为杂散电感Ls的函数,电感的增大将降低IGBT的开通损耗(左图);IGBT的关断损耗(右图)和续流二极管关断损耗会随着电感的增大而升高。
IGBT和二极管的软度和电流突变特性
前文已经表明寄生电感可能对总体损耗平衡有益。但是杂散电感还可能导致振荡,比如由电流突变引起的振荡,这可能导致由于EMI或过压限制而引起的器件使用受限。迄今为止所介绍的所有测量都是在对损耗至关重要的Tvj=150℃结温条件下进行的。电流突变在低温条件下更加关键,因为器件的载流子注入随着温度的降低而减少,并大幅降低用于平滑拖尾电流的电荷。因此,图6在25℃和600V直流母线电压的条件下,对三款芯片在额定电流下的IGBT关断情况进行了比较。直流母线电感被作为一个参数使用。

图6:开关曲线作为三款IGBT杂散电感LSd的函数:T4(左)、E4(中)、P4(右);上图为栅极电压;下图为电流和电压曲线。
在给定的例子中,当杂散电感约为55nH时,T4会变硬,振荡开始发生。在相同条件下,直到直流母线电感达到约80nH,E4还依然保持了软度。对于针对大功率而优化的P4芯片而言,它在观察到的电感范围内(20nH…100nH)都保持软度。这种观察结果并不出人意外,因为该IGBT是被设计用于高达3600A额定电流的大功率模块。
尽管IGBT的电流突变趋势通常在低温和大电流下最为明显,但续流二极管软度通常在低温和小电流下最为关键。这取决于几个因素:因为二极管是一个载流子生命周期优化器件,等离子体密度在小电流下最低,因此拖尾电荷随着电流水平的降低而减弱。此外,迫使二极管换向的开关IGBT通常在低电流水平下开关速度更快。最后,二极管过压与开关电流没有关系,而是由二极管的反向恢复电流峰值的负斜率导致的,该斜率在小电流和低温下同样最陡。
由于快速开关瞬变(du/dt和反向恢复di/dt)的影响,直流母线振荡可以很容易地在低电流水平下触发,甚至是在没有二极管电流突变的情况下。图7介绍了续流二极管在不同杂散电感条件下的反向恢复特性。

图7:二极管在室温和1/10In条件下的恢复性能(针对不同LS的曲线)。
此时,低杂散电感可产品较高的谐振频率,并且有助于抑制这种振荡。当然,如果大杂散电感使得二极管真的出现电流突变,情况会更糟。出于EMI的考虑,这将限制较高杂散电感的使用。
本文小结
当工作在相同条件下,IGBT针对提高软度需求的设计优化将会付出开关损耗提高的代价。
除开关损耗外,开通和关断速度、电流突变和振荡(EMI)的发生也越来越受到重视。寄生杂散电感对直流母线谐振频率和二极管电流突变起到了重要作用。至少从EMI角度考虑,二极管电流突变将会对通过增加杂散电感或提高IGBT开通速度来降低开通损耗有所限制。
因此,未来有望推出IGBT的不同型号优化产品。另一方面,考虑到直流母线电感是逆变器设计中的一个自由参数,这将有助于进一步优化损耗。
重要的是,为确保采用快速开关器件(如T4芯片),必须对直流母线设计进一步优化。在高能效设计中,对于电感而言,越低越好是一个简单的原则。
