关键字:GPS模块 ARM-Linux平台 数据传送
本文主要研究GPS模块与ARM-Linux平台之间采用异步串行传送方式进行数据传送的问题,利用多线程编程技术实现GPS信号采集与处理,并介绍了一种WGS坐标向地方坐标的转换方法。与GPS通信可选的协议有很多种,目前普遍采用的是NMEA-0183通信协议。
1 NMEA-0183通信协议
NMEA-0183协议[1]是为了在不同的GPS导航设备中建立统一的海事无线电技术委员会(BTCM)标准,由美国国家海洋电子协会NMEA(National Marine Electronics Association)制定的通信协议,其中规定了海用和陆用GPS接收设备输出的定位位置数据、时间、卫星状态、接收机状态等信息。除NMEA-0183协议之外,还有差分用的RTCMSC-104格式,各个厂商互不兼容的二进制格式等,但以NMEA-0183使用最广泛。为实现ARM-LINUX平台与GPS之间的通信,应清楚协议规定的GPS输出的数据格式和报文。NMEA-0183规定的格式如下:
波特率:4 800 b/s
数据位:8 bit
奇偶校验:无
开始位:1 bit
停止位:1 bit
报文格式:报文的语句串(十进制ASCII码)格式全部信息如图1。

图1中具体内容:$为串头,表示串开始;GP为交谈识别符。XXX为语句名,NMEA规定的常用语句有以下6种:GGA,卫星定位信息;GLL,地理位置-经度和纬度;GSA,GNSS DOP偏差信息,说明卫星定位的信号的优劣情况;GSV,GNSS天空范围内的卫星;RMC,最基本的GNSS信息,指能够达到定位目的的基本信息等语句。ddd为数据字段,字母或数字,“,”为域分隔符;*表示串尾;hh表示$与*之间所有字符代码的校验和;为回车控制符;为换行控制符。
在实际的GPS应用中,并不会用到NMEA的全部信息,而是根据具体的需要,从中选取有用的信息,忽略其余的信息内容。下面以GPRMC语句为例来介绍。该语句包含时间、日期、方位、速度和磁偏角等信息,基本上可以满足一般的导航需求。GPRMC语句的结构为:$GPRMC,<1>,<2>,<3>,<4>,<5>,<6>,<7>,<8>,<9>,<10>,<11>,*hh。
数据区说明如下:
(1)UTC时间,hhmmss.sss(时分秒.毫秒)格式;
(2)定位状态,A=有效定位,V=无效定位;
(3)纬度ddmm.mmmm (度分)格式(前面的0也将被传输);
(4)纬度半球N(北半球)或S(南半球);
(5)经度dddmm.mmmm(度分)格式(前面的0也将被传输);
(6)经度半球E(东经)或W(西经);
(7)地面速率(000.0~999.9节,前面的0也将被传输);
(8)地面航向(000.0~359.9度,以真北为参考基准,前面的0也将被传输);
(9)UTC日期,ddmmyy(日月年)格式;
(10)磁偏角(000.0~180.0度,前面的0也将被传输);
(11)磁偏角方向,E(东)或W(西)。
2 目标平台
本文中使用的是以SAMSUNG公司的ARM9系列中的16/32位RISC处理器S3C2410A芯片为核心的目标平台。S3C2410A包含一个16/32位的RISC(ARM920T)CPU内核、独立的16 KB的指令和16 KB数据缓存(cache)、用于虚拟内存管理的MMU单元、LCD控制器(STN&TFT)、非线性(NAND)Flash、系统管理器(包括片选逻辑控制和SDRAM控制器)及3个通道的异步串口(UART)。目标板资源包括S3C2410的微处理器,主频200 MHz;16 MB的Flash;64 MB的SDRAM;RS-232C UART接口;LCD液晶显示屏。
在目标板上选配的GPS模块是HIMARK公司的GPS模块,此模块是符合民用标准的GPS接收器,信号接收性能好,功耗较小,整体工作比较稳定。整体硬件设计框图如图2所示。

3 交叉编译环境的建立
基于嵌入式Linux操作系统的应用开发模式通常都是宿主机+目标机[2]。目标机用于运行操作系统和系统应用软件,而目标板所用到的操作系统的内核编译、应用程序的开发和调试则需要通过宿主机(资源丰富处理能力强的PC)来完成,称之为交叉编译。双方之间一般通过串口、并口或以太网接口建立连接关系。
(1)配置minicom:在宿主机Redhat Linux 9.0的X windows界面下新建终端,在终端命令提示符后输入minicom-s,回车,然后按照提示设置波特率115200,8位数据,1位停止位,无流控,保存退出。
(2)TFTP服务的配置:在终端中运行setup->system service->tftp增加TFTP服务,并去掉ipchains和iptables 两项,然后在Firewall configuration,选中no firewall,保存退出,执行service xinetd restart启动TFTP服务。
(3)NFS服务器的配置:在终端中运行setup->system service->NFS,增加NFS服务,然后编辑文件exports,添加与目标机共享的目录,并设置目标机对目录的访问权限,重新启动NFS服务。
(4)Linux内核移植:通过并口,宿主机向目标开发板的Flash烧写引导程序ppcboot,烧写完毕后通过TFTP服务把经过裁剪的Linux内核镜像文件以及根文件系统下载到目标板的RAM中,然后由ppcboot完成内核及根文件系统从内存到Flash的烧写。最后需要在宿主机安装主编译器Arm-linux-gcc,用来交叉编译应用程序。
4 GPS信号的采集和处理
为实现ARM-Linux平台下GPS信号的采集与处理,涉及到Linux下串口编程技术,首先给出Linux串口通信的原理,然后利用多线程编程技术来完成GPS数据采集与NMEA数据格式的解析,因解析后得到的GPS定位坐标属于WGS84坐标,需转换到相应的54、80坐标或地方坐标供用户标图定位所用,因此介绍了一种坐标转换方法。
4.1 GPS数据采集与处理
大多数GPS接收机与各种处理器平台进行数据交换时,都采用异步串行传送方式,提供一个符合RS-232C电气标准的数据接口。
在Linux操作系统中,所有设备以设备文件的形式存储在目录/dev/下,串口设备文件为/dev/ttyS*,在Linux中,若要设置串口的参数,如改变串口的波特率、字符大小等,可通过POSIX标准终端接口[3],该接口被称为termios,在系统头文件中定义。它包括一个数据结构和一系列操纵这些数据结构的函数组成。有关串口的所有参数配置都保存在接口termios的结构struct termios中,该结构定义如下:
struct termios
{
tcflag_t c_iflag; /*输人模式标志*/
tcflag_t c_oflag; /*输出模式标志*/
tcflag_t c_cflag; /*控制模式标志*/
tcflag_t c_lflag; /*本地模式标志*/
cc_t c_cc[NCCS];/*特殊控制字符*/
}
其中的c_iflag成员是用来控制输入处理选项的,它影响到终端驱动程序将输入发送给程序前是否对其进行处理,及怎样对其进行处理。c_oflag成员是用来控制输出数据的处理,并决定在发送输出数据到显示屏和其他输出设备之前,终端驱动程序是否以及如何来处理它们。c_cflag用于存放各种决定终端设备硬件特性的控制标志,如串口的波特率、奇偶校验、停止位、数据位等。存放在c_lflag 中的本地模式标志用来操纵串口如何处理输入字符,比如是否将输入字符显示到显示屏上,一般可通过此成员来设置串口为正规模式或是非正规模式。c_cc数组成员用来定义支持的特殊控制字符以及一些timeout参数。
除了上面的这个包含串口参数配置的数据结构之外,termios中还包含许多控制串口特性的函数。其中重要的几个函数如:tegetattr( )、tesetattr( )、cfsetispeed( )、cfsetospeed( )、tcflush( )。tegetattr( )用来初始化一个termios数据结构,之后可使用其他的函数来操纵由tegetattr( )返回的数据结构。完成这些操作后,使用tesetattr( )来更新串口的设置。cfsetispeed( )用来设置串口的输入速度。cfsetospeed( )用来设置串口的输出速度。tcflush( )用来清除所有队列在串口的输入与输出。
在Linux下采用多线程编程技术可大大节省系统的开销,方便各线程之间通信,提高应用程序的响应,改善程序结构,从而可以提高嵌入式系统的性能。本文就是利用Linux下多线程编程来实现GPS数据的采集和处理,在GPS模块的初始化GPS_Initial函数中创建接收线程GPS_Thread_Port_Svc,在接收线程中调用GPS信息语句的解析函数GPS_Parse_Data(buf_GPS,&gps_data),进一步调用语句字符串解析函数
GPS_Parse_Data_Line(char*str_gprs_data_line,GPS_DATA_TYPE*GPS_DATA)。在GPS语句的处理过程中,需对所读取的语句进行鉴别区分,只选取其中要用的信息进行处理而忽略其余的信息,这就要根据NMEA-0183协议中规定的语句格式来进行解析。图3给出了GPS数据处理流程。

下面是程序实现的关键函数部分代码。
/*包含必要的头文件*/
#include
#include
#include
#include
#include
#include
#include
int GPS_Initial(int n_tty_no)
{
int ret_tty=-1;
int ret_thread=-1;
ret_tty=OpenComPort(n_tty_no,9600,8,“1”,‘N’);/*打开串口,并设置通信属性,如波特率,数据位,有无奇偶校验,停止位等*/
ret_thread=pthread_create(&pthr_id,NULL,GPS_
Thread_Port_Svc,NULL);/*创建接收线程*/
…
}
void*GPS_Thread_Port_Svc(void*pData)
{/*接收线程函数*/
unsigned char buf_GPS[256];
int ret_rd_com;
while(1) {
bzero(buf_GPS,sizeof(buf_GPS));
ret_rd_com=ReadComPort((void*)buf_GPS,
sizeof(buf_GPS));/*读串口,接收数据*/
GPS_Parse_Data(buf_GPS,&gps_data);
/*调用解析语句函数,*/
…}
在GPS_Parse_Data(buf_GPS,&gps_data)函数中每接收一个GPS语句,调用一次字符串解析函数。
GPS_Parse_Data_Line(char*str_gprs_data_line,GPS_DATA_TYPE*GPS_DATA){
char*temptr;
temptr=str_gprs_data_line;
/*字符串赋给临时指针,然后对其解析*/
if(strncmp(temptr,RMC_DATA_L,strlen(RMC_DATA_L))==0) {/*解析RMC语句串*/
startchar(temptr,',');
temptr=temptr+strlen(temptr)+12;
/*$GPRMC,HHMMSS.SSS*/
GPS_DATA->Time.Flag=temptr[0];
temptr=temptr+27;
/*A,DDMM.MMMM,N,DDDMM.MMMM,E*/
…}
以上只是GPS信息处理的部分代码。经过交叉编译调试下载至目标平台上,运行后可得到本地地理位置信息。实验所得数据为:时间10:28:35;纬度:北纬30°46’;经度:东经103°57’。用户也可以根据需要选择提取GPS的其他语句,只需编写解析相应语句字符串的代码即可。
4.2 GPS坐标的转换
上述所得的结果属于WGS84坐标,而在工程上实用的大多是国家坐标系,因此GPS数据采集结果的使用就存在与国家坐标系间的坐标转换问题。一般要通过两步转换:首先将上述实测经纬度坐标即WGS84大地坐标(L,B)转换为对应于WGS84椭球的高斯平面坐标(X84,Y84),然后再经过平面坐标转换,将高斯平面坐标(X84,Y84)强制附合到本地高斯平面坐标系统[4]。
(1)高斯投影换算
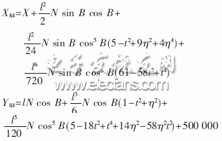
将GPS采集所得出的大地坐标(L,B)转换为高斯平面坐标(X84,Y84)。有关的推导过程较复杂,本文只给出结果:


由上述原理利用EXCEL就可以算出对应的高斯平面坐标。
(2)平面坐标转换
平面坐标转换的目的就是将高斯投影换算得出平面坐标(X84,Y84)转换为当地国家坐标系的平面坐标。下面介绍一种平均转轴相似转换法,以转换为北京54坐标系下的平面坐标(X54,Y54)为例,说明该方法实现过程。
首先,根据公共点分别在WGS84和北京54系中的高斯平面坐标,求出该点在两个坐标系中同一边的方位角之差?驻?琢和长度比例系数?资,然后按下式计算任一点在北京54系中的平面坐标。

将得到的X54,Y54坐标可应用于GIS系统标图,实现导航定位。
基于NMEA-0183通信协议,在Linux下通过多线程编程实现了GPS基本定位信息的采集与处理,所得数据满足精度要求,为导航定位系统或GIS系统提供了数据基础。
