经由过程LC滤波电路对芯片的供电系统进行滤波是完善同步输出开关噪声的主要手段,文章针对该课题提出了一种完善SSO的LC电源滤波电路算法与设计。首先提出了L型LC滤波电路的等效模子,介绍了其具体工作事理,并经由过程理论推导给出了内部参数的定量计较公式;然后按照L型滤波电路的缺陷,引入了π型LC滤波电路等效模子,并介绍了其工作事理和响应的参数取值;接着给出了LC滤波电路的LAYOUT设计的要求。最后是关于该设计电路的总结。
1引言
同步开关噪声(SSN)是由IO输出缓冲同时开关产生的,也被称作同步开关输出噪声(SSO)。产生SSO的一个主要原因是电源分配系统(PDS)存在阻抗。今朝常用的体例是在紧靠芯片的电源输入端加足够的退耦电容,可以起到稳压的浸染,可是因为电源平面和芯片电源平面没有有用的隔离,电源平面上存在的噪声干扰很轻易进入到芯片的供电平面上,最终传导到SSO上,使得SSO恶化。本文提出了L型和π型LC滤波电路设计方案,可以有用隔离两个平面之间的中高频噪声干扰,完善SSO问题。
2π型LC电源滤波电路
2.1π型LC电源滤波电路模型及工作原理
由于电源系统提供的前端输入电源V实际中是一个变化的值,里面有很多纹波成分,当00<ωn<2ω时,LC电路对纹波有放大作用,所以产生了L型LC滤波电路的改进型—π型LC电源滤波电路(见图一)。具体就是在电感前端增加滤波电容,形成π型。这样输入电源首先要经过一级初级滤波,然后再进入LC滤波电路,这样可以有效地完善LC滤波电路的滤波效果。

图一π型LC电源滤波电路
3.2π型LC滤波电路算法分析
C2要选择一个合适的值,选择过大会增加成本,过小会影响滤波效果,实践中取C2=C1,其构成类似于二阶巴特沃斯滤波器,巴特沃斯滤波器特点是通带内频率响应曲线最平坦,阻带内则逐渐下降为0,这样可以起到更好的滤波效果。
3L型LC电源滤波电路
3.1L型LC电源滤波电路模型及工作原理
L型LC滤波电路的等效模型见图二。整个等效模型的元件有电感L和退耦电容C1。电感L主要作用是扼制电流的跳变,起到稳流的作用。退耦电容C1的主要用于抑制由于SSO引起的电压的跳变,起到稳压的作用。SSO可以等效成一个瞬时开关的电流源,为了表征最坏的情况,即所有的IO在同一瞬间一起打开,此时的电流需求就等于芯片在该电压下的最大工作电流I。

图二L型LC电源滤波电路
该电路的工作原理就是当SSO同时开启后,产生电流I的瞬时需求,首先由C1放电维持电压缓慢变化,同时通过电感L对电容进行充电。通过这样反复的充放电过程维持芯片输入端电压在芯片正常工作电压的误差范围之内。从频谱角度看,LC构成了一个低通滤波器,有效隔离了两个平面之间的中高频噪声。
3.2L型LC电源滤波电路的算法分析
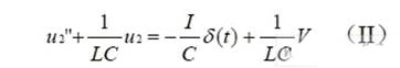
根据图一的等效模型可以得到方程组(I):

方程组(I)化简后得到二阶微分方程(II)

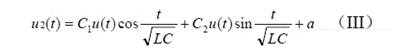
解微分方程(II)得到特解:

如果电压V为常量,将特解(III)带入二阶微分方程(II)解得:

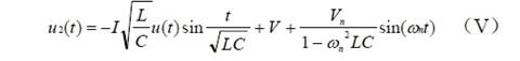
如果输入电压V含有纹波Vnsin(ωnt),则求解得:

从(V)可以看到经过LC滤波电路后,纹波被放大,放大系数为
。取
放大系数为![]()
当
时,LC电路对电源纹波有抑止作用。
当
时,LC电路对纹波有放大作用。其中当
时,LC电路对纹波有明显放大效应。
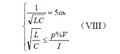
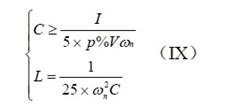
为了避免电源的纹波出现在危险区域,一般要求ω》ωn0,工程中取ω5ωn0=。此时在ωn的点,LC电路对纹波的放大倍数为25/24=1.042,放大部分不超过5%。另外根据芯片的要求,u2的压降不能大于百分比p%,得到不等式(VI):
化简得到不等式(VII)
将ω5ωn0=和不等式(VII)联列得到方程组(VIII):

求解等到不等式组(IX):

由于实际中不存在理想电容,实际电容具有不同的滤波频段,退耦电容常采用多种容值电容的组合,C1就是退耦电容值的总和。L是电感值的总和。
4LC滤波电路的LAYOUT设计
LAYOUT是LC滤波电路的重要组成部分,合理的LAYOUT可以最大限度地体现设计效果,反之则会带来额外的干扰。
4.1π型LC滤波电路LAYOUT设计

图三π型LC电源滤波电路的LAYOUT效果图
整个电路分为三个网络平面:电源、芯片电源和地平面。我们为了保证电源连通能有明显的效果,同时还要避免在连通的网络上引起额外的压降,所有网络使用敷铜相连接。以π型LC滤波电路为例,整个电路LAYOUT的效果见图三。我们首先通过过孔从电源平面上引入供电电流,然而供电电流经过前级滤波电容滤波后进入电感,经过电感来扼流后输出电流,输出电流经过后级退耦电容滤波后通过过孔输送到芯片电源平面。在电源平面换层的时候需要多加过孔,减小由于过孔所引起的感抗。另外获取在电源的区域和获取地的区域相邻,从而来增加电平的精确性。
4.2L型LC滤波电路LAYOUT设计
L型LC滤波电路LAYOUT设计和π型类似,只是少了前级的滤波电容,电源是通过过孔直接进入电感进行扼流。
结语
文章中利用LC滤波电路来完善SSO的算法与设计中,经实人们的具体践发现LC滤波器对于中高频干扰有着明显的抑制作用,这样可以有效的完善SSO问题。但是其缺点在于增加了器件,带来成本。还有一点就是对于电流I特别大的电路不适用,原因是相对应的电感值很小,生产上难实现。
