引言
双管正激变换器开关管的电压应力等于输入电压,关断时也不会出现漏感尖峰,加上结构简单、可靠性高,在高输入电压的中、大功率场合得到广泛的应用。
在开关电源的设计过程中,控制环路设计的优劣关系到系统的稳定与否。对于PWM变换器的控制环路,传统的方法使用状态空间平均法,求出小信号模型,来设计控制环路。此方法计算量大,效率低,不利于工程应用。
SABER与其他仿真软件相比,具有更丰富的元件库和更精确的仿真描述能力,真实性更好。特别是在电源领域的先天优势,借助其强大的仿真功能缩短电源产品的上市时间。目前,用SABER软件设计控制环路尚不多见,基于此,提出用SABER仿真设计双管正激参数及控制环路。
1 电路结构
双管正激拓扑结构如图1所示,工作原理为:VT1、VT2同时导通,同时关断;VT1与VT2导通时,电源经高频变压器T,快恢复二极管VD3向负载输出能量,经L给C充电;VT1与VT2关断时,输出电流由快恢复二极管VD4续流,同时变压器原边绕组的励磁电流经VD1-UiN-VD2向电源反馈能量。由于VD1与VD2的箝位,VT1与VT2的开关应力等于电源电压。与单管正激电路相比,多用一个开关管,电压应力为单管的一半,不存在漏感尖峰,变压器无需磁通复位绕组,适用于较高输入电压的中、大功率等级场合。

2 控制环路的设计方法
系统稳定的条件:系统回路开环BODE图,在剪切频率处幅值斜率为-20dB/dec,且至少有45°的相位裕度。
控制环路的设计步骤:
(1)根据应用要求设计主电路。
(2)由SABER仿真器得出主电路的BODE图。
(3)根据实际要求和限制条件确定剪切频率ωc,对电源产品,剪切频率通常为开关频率的1/4或者1/5。
(4)根据系统稳态精度的要求及剪切频率决定补偿放大器的类型和各频率点。使低频段增益高,一般电源产品的低频段设计成I型系统,以保证稳态精度;中频段带宽处的斜率为-20dB/dec,且有足够的相位裕度(即y>45°);高频段增益衰减快,减少高频干扰;用SABER得出补偿后环路的开环频响曲线,验证系统的稳定性。
3 主电路参数设置
由于主电路输出滤波器参数关系到控制环路的设置,补偿器应根据输出滤波参数进行调整。本文以一台250W电源实例说明控制环路的设计。
1)主要技术要求
输入:AC220V(DC=265V(220~310V))
输出:48V 0.5~5A;
波纹电压:0.1V; 波纹电流:1A;
效率:≥0.85;开关频率:100kHz;
变压器原副边比n=2;Uout=48.85V(二极管); 占空比:
2)输出滤波参数
输出滤波器按照要求的纹波电流与纹波电压值来设计,纹波电流决定电感值,纹波电流与纹波电压共同决定电容值。
(1)滤波电感
流经滤波电感电流波形如图2所示,纹波电流峰峰值取决于允许的最小电流值,当负载电流小于0.5A时,进入电流断续模式。
为防止变换器进入断续模式,在Toff期间,流经L的电流不能降到零。

(2)滤波电容
滤波电容的容量分以下两种情况讨论:
①采用普通的铝电解电容,根据文献[3],此类电容在开关频率低于500kHz,且RoCo大于开关管的关断和导通时间的一半时,输出纹波仅由ESR(Ro)决定。
![]()
此方法随技术的进步变得不合实际,最好从厂家或测试得到电容的ESR值。
②滤波电容采用零ESR或低ESR电容,自身阻容形成的零点(1/2πRest×C)较高,但对环路设计的影响不大;若低ESR值的电容采用大容量,其自身阻容形成的零点使得在带宽附近的高频衰减不够,可能引起振荡,增加补偿器的设计难度。如图3、图4所示。

考虑电容的发热影响寿命,取22μF。
电容的ESR值的最大值为
ESR(max)=△U/△I=0.1/l=0.1 Ω
ESR超过0.1Ω,纹波电压会增加。

4 使用SABER对开环仿真
在SABER中建立平均模式双管正激的模型,如图5所示。
下表为图5模型使用的主要模块及参数:

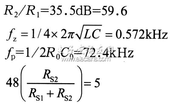
开环BODE图如图6所示,其剪切频率处的相角为-160°,相位裕度为20°,又剪切频率处的幅值斜率为-40dB/dec,因此需要补偿。另外25kHz(1/4开关频率)处的幅值为-35.5dB。

5 根据开环BODE图设计补偿器
双管正激补偿器采用2型误差放大器电路。如图7所示。
其传递函数为:


一个零点fz=1/2πR2C1,一个极点fp=1/2πR2C2;设计时,将剪切频率设为1/4开关频率;零点频率设为1/4滤波器谐振频率,增加中频段相位裕度;极点频率设为滤波电容自身容阻频率,增加高频段的衰减。R2/R1设为1/4开关频率处的负增益;RS1,RS2按照采样网络设计,因此:

计算结果,选用国标系列值:

使用SABER得出补偿后的开环BODE图如图8所示,注意在SABER进行小信号分析前,需微调占空比参考电压,使比较器反相输入端静态工作点在5V,否则可能饱和。
可见,系统已校正为I型,剪切频率为25kHz,幅值斜率为-20dB/dec,相位裕度远远大于45°。
用SABER进行时域分析,观察输入电压与负载扰动时的系统性能,见图9和图10。

6 结束语
通过SABER软件的辅助设计,缩短了电源产品的上市时间,提高了产品的控制性能的快速性,稳定性和稳态精度。
