1. 引言
在21世纪,移动通信技术和市场飞速发展,在新技术、市场需求的共同作用下,出现了第三代移动通信系统-3G,3G中采用码分多址(CDMA)技术来处理多径问题,以获得多径分集增益。
然而在该体制中,多径干扰和多用户干扰始终并存,在用户数较多的情况下,实现多用户检测是非常困难的。并且CDMA本身是一个自扰系统,所有的移动用户都占用相同的带宽和频率,所以在系统容量有限的情况下,用户数越多就越难达到较高的通信速率,因此3G系统所提供的2Mb/s带宽是共享式的,当多个用户同时使用时,平均每个用户可使用的带宽远低于2Mb/s,而这样的带宽并不能满足移动用户对一些多媒体业务的需求。
不同领域技术的综合与协作,伴随着全新无线宽带技术的智能化,以及定位于用户的新业务,这一切必将繁衍出新一代移动通信系统4G。相比于3G,4G可以提供高达100Mb/s的数据传输速率,支持从语音到数据的多媒体业务,并且能达到更高的频谱利用率以及更低的成本。
为了达到以上目标,4G中必须采用其他相对于3G中的CDMA这样的突破性技术,尤其是要研究在移动环境和有限频谱资源条件下,如何稳定、可靠、高效地支持高数据速率的数据传输。因此,在4G移动通信系统中采用了OFDM技术作为其核心技术,它可以在有效提高传输速率的同时,增加系统容量、避免高速引起的各种干扰,并具有良好的抗噪声性能、抗多径信道干扰和频谱利用率高等优点。
本文将对OFDM的基本原理以及其调制/解调技术的实现和循环前缀技术进行介绍,并在三个主要方面将OFDM与CDMA技术进行对比分析。
2 OFDM技术分析
2.1 OFDM基本原理
正交频分复用的基本原理可以概述如下:把一路高速的数据流通过串并变换,分配到传输速率相对较低的若干子信道中进行传输。在频域内将信道划分为若干相互正交的子信道,每个子信道均拥有自己的载波分别进行调制,信号通过各个子信道独立地进行传输。
由于多径传播效应会造成接收信号相互重叠,产生信号波形间的相互干扰,形成符号间干扰,如果每个子信道的带宽被划分的足够窄,每个子信道的频率特性就可近似看作是平坦的。如图1所示。

因此,每个子信道都可看作无符号间干扰的理想信道。这样,在接收端不需要使用复杂的信道均衡技术即可对接收信号可靠地进行解调。在OFDM系统中,通过在OFDM符号之间插入保护间隔来保证频域子信道之间的正交性,以及消除由于多径传播效应所引起的OFDM符号间的干扰。因此,OFDM特别适合于在存在多径衰落的移动无线信道中高速传输数据。OFDM的原理框图如2所示。

如图2所示,原始高速率比特流经过串/并变换后变为若干组低速率的比特流d(M),这些d(M)经过调制后变成了对应的频域信号,然后经过加循环前缀、D/A变换,通过RF发送出去;经过无线信道的传播后,在接收机以与发送机相反的顺序接收解调下来,从而得到原发送信号。
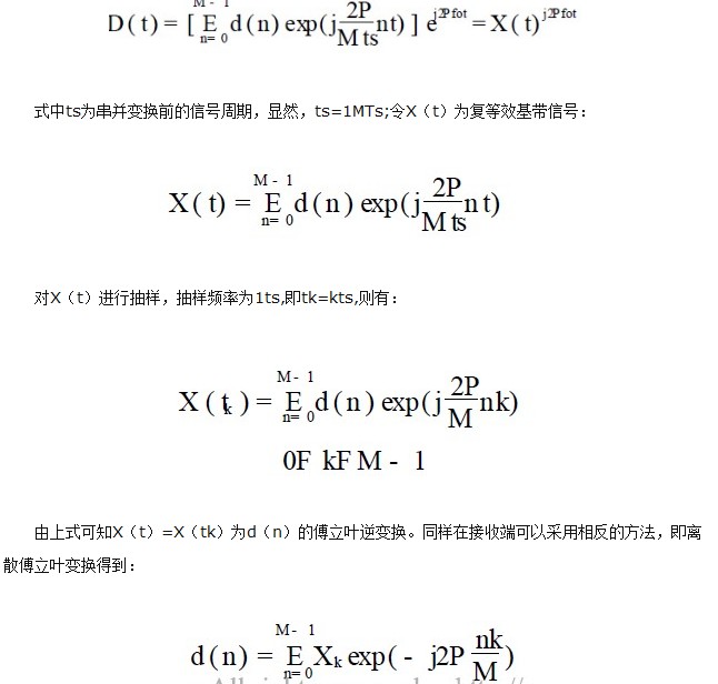
图2中d(M)为第M个调制码元;图中的OFDM已调制信号D(t)的表达式为:

式(1)中:T为码元周期加保护时间;fn为各子载波的频率,可表示为:

式(2)中:f0为最低子载波频率;Ts为码元周期。
在发射端,发射数据经过常规QAM调制形成基带信号。然后经过串并变换成M个子信号,这些子信号再调制相互正交的M个子载波,其中/正交0表示的是载波频率间精确的数学关系,其数学表示为QT0fx(t)fy(t)dt=0,最后相加成OFDM发射信号。实际的输出信号可表示为:

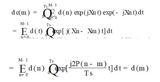
在接收端,输入信号分成M个支路,分别用M个子载波混频和积分,恢复出子信号,再经过并串变换和常规QAM解调就可以恢复出数据。由于子载波的正交性,混频和积分电路可以有效地分离各子载波信道,如下式所示:

式中dc(m)为接收端第m支路子信号。在整个OFDM的工作流程中OFDM与其他技术的主要区别在于其采用的调制/解调技术以及循环前缀的加入这两个环节,下面将对其进行较为详细的分析。
2.2 OFDM调制/解调技术的实现
OFDM系统的调制和解调可以采用离散逆傅立叶变换(IDFT)以及离散傅立叶变换(DFT)来实现,在实际应用中,可以采用更加方便快捷的逆快速傅立叶变换(IFFT)和快速傅立叶变换(FFT)技术来实现调制和解调,这是OFDM的技术优势之一。
首先不考虑保护时间,将式(2)代入式(1)可得到如下等式:

由上面的分析可以看出OFDM的调制可以由IDFT实现,而解调可由DFT实现。当系统中的子载波数很大时,可以采用快速傅立叶变换(FFT/IF2FT)来实现调制和解调,以显着地降低运算复杂度,从而在数字信号处理器DSP上比较容易实现,因此能够达到简化4G通信系统中硬件实现的复杂度并减少设备成本的效果,现存的还有诸如矢量变换方式、基于小波变换的离散小波多音频调制方式等,但这些方式与OFDM相比,实现复杂度相对较高,因而一般不会用于4G通信系统。
2.3 循环前缀基本原理
在OFDM系统中,为了最大限度地消除符号间干扰,在每个OFDM符号之间要插入保护间隔,该保护间隔长度Tg一般要大于无线信道的最大时延扩展,这样一个符号的多径分量就不会对下一个符号造成干扰。
在这段保护间隔内,可以不插入任何信号,即保护间隔是一段空闲的传输时段。然而在这种情况中,由于多径传播的影响,会产生信道间干扰,即子载波之间的正交性遭到破坏,使不同的子载波之间产生干扰。为了消除由于多径传播造成的信道间干扰,将原来宽度为T的OFDM符号进行周期扩展,用扩展信号来填充保护间隔,如下图3所示:
将保护间隔内的信号称为循环前缀(Cyclicprefix)。由图3可以看出,循环前缀中的信号与OFDM符号尾部宽度为Tg的部分相同。在实际系统中,OFDM符号在送入信道之前,首先要加入循环前缀,然后送入信道进行传送。接收端首先将接收符号开始的宽度为Tg的部分丢弃,将剩余的宽度为T的部分进行傅立叶变换,然后进行解调。

通过在OFDM符号内加入循环前缀可以保证在FFT周期内,OFDM符号的延时副本内所包含的波形的周期个数是整数。这样,时延小于保护间隔Tg的时延信号就不会在解调的过程中产生信道间干扰。
通过对上述两个技术环节的分析可以看出,OFDM的调制解调技术可以降低硬件实现的复杂度;循环前缀技术可以有效消除由于多径传播造成的信道间干扰影响。这些对于4G通信系统降低设备成本以及提高信号质量都是至关重要的。
3 OFDM与CDMA技术的比较分析
作为4G中的核心技术,4G通信系统在频谱利用率、高速率多媒体服务的支持、调制方式的灵活性及抗多径信道干扰等方面优于3G通信系统。
这主要缘于4G采用的OFDM技术与3G中采用的CDMA技术在其技术特点上存在着差异。下面就从抗多径干扰、调制技术以及峰均功率比这三个方面对OFDM与CDMA的技术特点进行对比分析。
3.1 抗多径干扰
无线信道中,由于信道传输特性不理想容易产生多径传播效应,多径传播效应会造成接收信号相互重叠,产生信号波形间的相互干扰,使接收端判断错误,从而严重地影响信号传输的质量,易造成符号间干扰。
CDMA系统中,为了减小多径干扰,CDMA接收机采用了分离多径(RAKE)分集接收技术来区分和绑定多路信号能量。为了减少干扰源,RAKE接收机提供一些分集增益。然而由于多路信号能量不相等,试验证明,如果路径数超过7或8条,这种信号能量的分散将使得信道估计精确度降低,RAKE的接收性能下降就会很快。
OFDM将高速率的信号转换成低速率的信号,从而扩展了信号的周期,减弱了多径传播的影响,同时通过加循环前缀的方式,使各子载波之间相互正交,减少了ISI和各信道间的干扰,在4G的多媒体通信中能够提高通信质量。
3.2 调制技术
CDMA系统中,下行链路采用了多载波调制技术,但每条链路上的调制方式相同,上行链路不支持多载波调制,这使得CDMA系统丧失了一定的灵活性;同时,由于此链路的非正交性,使得不同调制方式的用户会产生很大的噪声干扰。
OFDM的上、下行链路都采用多载波调制技术,并且每条链路中的调制方式也可以根据实际信道的状况/自适应调制0,从而更加灵活。在信噪比(SNR)满足一定要求的前提下,对质量好的信道可以采用高阶调制技术(16QAM等);在信道质量差的情况下,可以采用低阶调制技术(QPSK等),从而使系统可以在频谱利用率和误码率之间得到最佳配置。
3.3 峰均功率比
峰均功率比就是峰值与均值的功率比,定义为信号的最大峰值功率和同一信号平均功率之比,简称峰均比。
在实际应用中这是一个不容忽视的重要因素。因为较高的PAPR将导致发送端对功率放大器的线性要求也较高,这意味着要设备的功耗将增大,因此就要提供额外功率、电池备份和扩大设备的尺寸,从而导致设备成本的提高。
CDMA系统的PAPR一般在5-11dB,并会随着数据速率和使用码数的增加而增加。OFDM信号是由多个独立的经过调制的正交子载波信号叠加而成,这种合成信号有可能产生比较大的峰值功率,从而带来较大的PAPR。目前,用来控制OFDM的PAPR的技术主要有以下两种:
(1)信号失真技术
采用修剪技术、峰值窗口去除技术或峰值删除技术使峰值振幅值简单地线性去除。
(2)扰码技术
采用扰码技术,使生成的OFDM的互相关性尽量为0,从而使OFDM的PAPR减少。具体的实现技术包括:编码、局部扰码、部分发送序列。
综上所述,在抗多径干扰、调制技术方面,OFDM的性能优于CDMA技术,并且可以通过其他技术来降低其峰均功率比。与第三代移动通信系统相比,OFDM以其更加灵活的调制方式、更强的抗多径干扰的能力以及更高的频谱利用率,全面提高了4G通信系统的性能,改善了4G移动业务的服务质量,并且大幅度降低了4G通信系统的成本,因而成为4G中不可或缺的核心技术。
4 结语
OFDM通过频域划分互相正交的子信道使其频谱效率与传统的频分复用技术相比有显着提高,同时由于子信道可以划分得很窄因而每一个子信道都很平坦,避免了使用复杂的均衡器。通过使用循环前缀,一方面消除了OFDM符号间干扰,另一方面保证了子载波之间的正交性,这对于频率选择性衰落信道克服多径干扰尤其有效。但是,OFDM还不是尽善尽美并存在许多问题需要解决。日后在4G的深入研究中应考虑将OFDM与其他技术进行结合(OFDM-CDMA等),从而达到更好的通信质量。
