复介电常数是表征介质材料电磁特性最重要的参量之一,为使其付诸使用,必须准确地知道介质材料的复介电常数。本文介绍一套介质复介电常数测量系统软件,它主要依据矩形腔微扰法对介质介电常数进行测量。该方法是测量复介电常数的一种常用方法,其具有计算简便,所需样品少,精度高等优点。该测试系统采用基于GPIB总线的虚拟仪器系统结构作为硬件平台,其特点是系统中集成了带有GPIB接口的实际测量仪器,能够保证系统具有很高的测量精度。软件开发平台则采用图形化软件LabWindows/CVI,其优点是集图形化编程和文本语言编程于一体,其界面友好,操作简便,可大大缩短系统的开发周期。
1 系统软件结构
该测试系统采用LabWindows/CVI开发环境,为使自动测试软件具有良好的仪器扩展性,便于升级,采用模块化编程风格,使功能程序与驱动程序相对独立。功能程序是一个包括多个子程序模块的可执行文件,它通过调用仪器驱动程序完成对仪器的控制,并协调仪器间的工作,以完成满足标准要求的测试任务,同时提供与用户交互的友好界面,完成数据处理。根据以上思路可得流程图,如图1所示。

首先,对测试系统进行参数设置,主要包括测量频段的选定、测量点数的设定、通道的选择等。然后,通过GPIB-USB卡控制矢网测出空腔状态下的谐振频率f0和品质因素Q0,再加入样品,测试负载时的谐振频率fd和Qd,再利用这两组数据,根据计算公式和样品尺寸及腔体尺寸计算出相对介电常数和损耗正切角。
1.1 校准模块
该校准模块分为标准校准和非标准校准两个部分。标准校准采用SLOT法,即短路器、开路器、匹配负载及直通法。用户只要根据软件的提示在矢网的两端口依次接人开路器、短路器、匹配负载,最后直通,即可完成标准校准。非标准校准采用的是STL法,即短路板、精密波导、直通法。非标准校准后,可以保存校准文件,下次测量的时候,可以直接导人校准文件而不需要再进行手动校准。经验证,该校准基本可以达到要求。
1.2 矢网控制模块
计算机与矢网分析仪连接主要有串口、并口、GPIB等方式。该软件采用GPIB连接计算机和矢量网络分析仪,其优点在于:结构、命令简单,有专为仪器控制设计的接口信号和牢固的接插件,其数据传输速率为1.5 Mb/s,完全可以满足用户的要求。使用时只需要安装包含VISA库函数的驱动软件即可以直接调用使用相对简单的VISA标准函数,再配合相应的指令即可控制仪器。目前,通过对HP8753ES网络分析仪的控制,软件运行良好,如图2所示。

1.3 计算模块
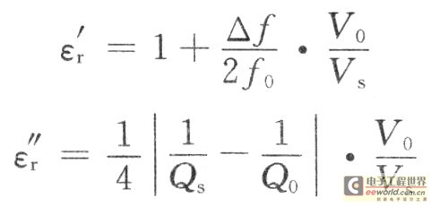
该测试系统采用的是利用微扰法对介质介电常数进行测量,该方法具有测量简便,所需样品少,精度高等优点。根据微扰理论,有:

式中:εr'和εr"分别为介电常数ε的实部和虚部;f0为谐振腔谐振频率;△f为微扰后的频偏;Q0和Qs分别为微扰前后的品质因数;σ为电导率;介质杆的体积Vs远远小于腔体的体积V0。
根据以上理论,该测量系统的计算过程分为Q值计算、相对介电常数计算、损耗角正切计算三部分。对于给定的测量系统,计算精度主要取决于测量腔体的尺寸误差。由于加工精度的限制,实际加工的腔体与设计的腔体在尺寸上存在差别。在软件上,由于腔体Q值及其读数分辨率的影响,使f0和微扰后频率fs的测量出现误差,也即给△f带来了误差。
2 测量结果
在常温条件下,对实验室的一些样品测量结果如表1所示(参考值指文献[10]中的值)。

从表中可以看出,测出的结果基本与标称值吻合。
3 误差分析
该测量系统的误差主要分为两部分:校准系统的误差和测试系统的误差。
校准系统的误差主要来自于以下几个方面:校准波导的反射没有被考虑;虽然校准波导的反射很小,但是反射的部分会在校准过程中加入到附加网络中去,而这部分误差在测量反射参数时会产生影响,尤其当被测件的反射比较小时;波导校准和测量过程中,为了操作方便,同时也为了保护仪器,在每次连接波导时,总是将同轴波导转换从同轴电缆上取下,这就会造成每次重新连接时,存在一定的复位误差。
测试系统的误差主要体现在测量腔体的尺寸误差和读数分辨率的影响。另外,不能完全满足微扰条件而带来的非线性问题也是误差的一个主要来源。
4 结语
该测试系统完成了利用微扰法对介质介电常数的自动测试,校准测试速度快,具有可扩展性,二次开发性强。同时,该自动测试的设计原理及技术能方便地运用于其他测试项目,解决手动测试中存在的问题,极大地提高了测试的质量和效率。
