中心议题:
通常Boost功率电路的PFC有三种工作模式:连续、临界连续和断续模式。控制方式是输入电流跟踪输入电压。连续模式有峰值电流控制,平均电流控制和滞环控制等。本文介绍Boost功率电路的PFC连续工作模式的基本关系及临界连续Boost电感设计。
连续模式的基本关系
1. 确定输出电压Uo
输入电网电压一般都有一定的变化范围(Uin±Δ%),为了输入电流很好地跟踪输入电压,Boost级的输出电压应当高于输入最高电压的峰值,但因为功率耐压由输出电压决定,输出电压一般是输入最高峰值电压的1.05~1.1倍。例如,输入电压220V,50Hz交流电,变化范围是额定值的20%(Δ=20),最高峰值电压是220×1.2×1.414=373.45V。输出电压可以选择390~410V。
2. 决定最大输入电流
电感应当在最大电流时避免饱和。最大交流输入电流发生在输入电压最低,同时输出功率最大时

其中: Uimin -最低输入电压;η-Boost级效率,通常在95%以上。
3. 决定工作频率
由功率器件,效率和功率等级等因素决定。例如输出功率1.5kW,功率管为MOSFET,开关频率70~100kHz。
4. 决定最低输入电压峰值时最大占空度
因为连续模式Boost变换器输出Uo与输入Uin关系为 ,所以

从上式可见,如果Uo选取较低,在最高输入电压峰值时对应的占空度非常小,由于功率开关的开关时间限制(否则降低开关频率),可能输入电流不能跟踪输入电压,造成输入电流的THD加大。
5. 求需要的电感量
为保证电流连续,Boost电感应当大于

其中:,k=0.15~0.2。
6. 利用AP法选择磁芯尺寸
根据电磁感应定律,磁芯有效截面积

如果电感是线性的,有

因为Boost电感直流分量很大,磁芯损耗小于铜损耗,饱和磁通密度限制最大值。为保证在最大输入电流时磁芯不饱和,应当有

因此,面积乘积

其中kw=0.3~0.5窗口填充系数,也称为窗口利用系数。B《B/(1+k)。由此选择磁芯。
- 基于DDS的寄生电感测量仪设计
- LCR测量仪在阻抗测量中的应用
- 耦合电感 SEPIC 转换器的优势
- 第四讲:单段隔离型功率因数校正LED驱动器
- 浅谈电子制造过程中的静电及静电防护
- 共模电感
- 电感的特性
- 电感q值计算
- 常用电感计算公式
- pfc工作原理
输出功率在1kW以上,一般采用气隙磁芯。因环形磁粉芯价格高,且加工困难,成本高。但是气隙磁芯在气隙附近边缘磁通穿过线圈,造成附加损耗,这在工艺上应当注意的。
7. 计算匝数

临界连续Boost电感设计
1. 临界连续特征
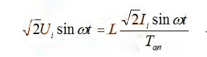
Boost功率开关零电流导通,电感电流线性上升。当峰值电流达到跟踪的参考电流(正弦波)时开关关断,电感电流线性下降。当电感电流下降到零时,开关再次导通。如果完全跟踪正弦波,根据电磁感应定律有

或
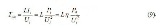
其中:Ui、Ii为输入电压和电流有效值。在一定输入电压和输入功率时,Ton是常数。当输出功率和电感一定时,导通时间Ton与输入电压Ui的平方成反比。
2. 确定输出电压
电感的导通伏秒应当等于截止时伏秒:

则

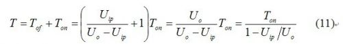
开关周期为

可见,输出电压Uo一定大于输入电压Uip,如果输出电压接近输入电压,在输入电压峰值附近截止时间远大于导通时间,开关周期很长,即频率很低。
如果首先决定最低输入电压(Uimin)对应的导通时间为TonL,最高输入电压(Uimax)的导通时间为

根据式(11)和(12)可以得到开关周期(频率)与不同电压比的关系。
例如,假定导通时间为10μs,1.414Uimin/ Uo=0.65,如果输入电压在±20%范围变化,最低输入电压为220×0.8,输出电压为Uo =1.414×220×0.8/0.65=383V。周期为10/0.35=28.57μs,频率为35kHz。在15°时,周期为12μs,相当于开关频率为83kHz。在最高输入电压时,由式(12)得到最高电压导通时间Tonh=(0.8/1.2)2×TonL=4.444μs,在峰值时的开关周期为T=Tonh/(1-1.414×1.2×220/383)=176μs,相当于开关频率为5.66kHz。
如果我们。输出电压提高到410V,最低输入电压时开关周期为25.45μs,开关频率为39.3kHz。15°时为11.864μs,开关周期为84.5kHz。输入最高电压峰值时,周期为49.2μs,开关频率为20.3kHz。频率变化范围大为减少。即使在输入电压过零处,截止时间趋近零,开关频率约为100kHz。最高频率约为最低频率只有5倍。而在383V输出电压时,却为18倍。
通过以上计算可以看到,提高输出电压,开关频率变化范围小,有利于输出滤波。但是功率管和整流二极管要更高的电压定额,导通损耗和开关损耗增加。因此,220V±20%交流输入,一般选择输出电压为410V左右。110V±20%交流输入,输出电压选择210V。
3. 最大峰值电流
电感中最大峰值电流是峰值电流的1倍

4. 决定电感量
为避免音频噪声,在输入电压范围内,开关频率应在20kHz以上。从以上分析可知,在最高输入电压峰值时,开关频率最低。故假定在最高输入电压峰值的开关周期为50μs.由式(11)求得
![]()
由式(12)得到最低输入电压导通时间
![]()
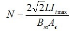
根据式(8)得到

5. 选择磁芯
因为导通时间随输入电压平方成反比,因此应当在最低电压下选择磁芯尺寸,只要在最低输入电压峰值时避免饱和。

其中:N-电感线圈匝数;Ae-磁芯有效截面积;Bm《Bs(100)-最大磁通密度,为减少损耗,选择饱和磁感应的70%。
整个窗口铜的截面积

将式(17)代入(16),整理得到

用AP法选择磁芯尺寸。
6. 计算线圈匝数

7. 线圈导线截面积
例:输入220V±20%,输出功率200W,采用临界连续。假定效率为0.95.
解:输入最大电流为
![]()
峰值电流为

设输出电压为410V,最高输入电压时最低频率为20kHz。即周期为50μs,因此,导通时间为

如果采用磁粉芯,选用铁硅铝磁芯。LI2=1.48×3.382×10-3=16.9mJ,选择77439。有效磁导率为60,其电感系数AL=135nH,电感1.48mH需要的匝数为匝 取N=105匝
77439的平均磁路长度l=10.74cm,磁场强度(Oe)为

由图得到磁导率为60,H=21Oe,磁导率下降到90%,为了在给定峰值电流时保持给定电感量,需增加匝数为N匝,选取111匝。
此时磁场强度H=111×21/105=22.2Oe,μ下降到0.88,此时电感量

满足设计要求。最高电压时开关频率提高大约1%。应当注意到这里使用的是平均电流,实际峰值电流大一倍,最大磁场强度大一倍,从图上得到磁导率下降到80%,磁场强度从零到最大,平均磁导率为(0.8+1)/2=0.9,接近0.88。
选取电流密度j=5A/mm2,导线尺寸为

选择d=0.63mm,d’=0.70mm,截面积Acu=0.312mm2。
核算窗口利用系数。Aw=4.27cm2,则

77439铁硅铝粉芯外径OD=47.6mm,内径ID=23.3mm。考虑第一层
Nm1=(π(ID-0.5d’-0.05)/1.05d’)-1=96.9 实际96匝。
第二层只要15匝。
