随着现代科技的不断进步,各个领域对测速系统的应用越来越多,同时也对测速精度的要求日益苛刻。文中提出一种基于红外线光电开关的测速系统,采用NI6251高速数据采集卡以及LabVIEW软件设计代替了传统的基于单片机或FPGA等自行设计的硬件电路所组成的数据采集分析系统,提高了测速系统的可靠性和测量精度。文中介绍了整个测速系统的工作原理、结构设计和软件设计,并进行了系统的误差分析。现场试验结果证明,该方法能够将高速直线运动物体的测试误差保证在0.0015%以内。
1 测速系统工作原理
红外光电开关测速是通过2 个光电开关之间的距离s 以及测量运动物体通过2 个光电开关的时间间隔t 然后做除法而得到其平均速度的测速方法。
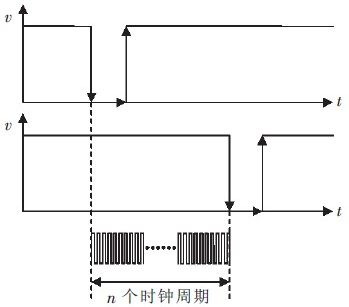
当无运动物体遮挡光电开关时,光电开关的接收端输出高电平信号,当有物体经过遮挡时,光电开关的接收端输出低电平信号。即当高速物体经过一对光电开关时会先后形成2 个高电平到低电平的脉冲信号。通过计时周期的方式测出这2 个下降沿之间的计数周期个数n,计时原理如图1 所示。

图1 计时原理图
根据计时原理可得到计时时间t:
![]()
运动物体在s 上的平均速度:
![]()
通过对测速原理的分析可知,s 可以由刻度尺直接测量得出,因此测速系统主要由计时电路和软件除法运算单元构成。计数器在第1 个脉冲信号的下降沿开始计时,在第2 个脉冲信号的下降沿停止计时,而后将得到的计时时间传送给上位机软件进行处理得到测量值。
2.1 计时电路设计
计时电路是基于NI6251 内部时钟计数器来设计的, 相比较一般51 单片机12MHz 的晶振和FPGA的50MHz 的晶振,NI6251 所提的80MHz 晶振计数精度更高,测速时2 个光电开关所产生的脉冲信号时间间隔会被更准确地记录。计时电路设计如图2 所示。

图2 计时电路设计图
2.2 软件设计
LabView 是一种用图标代替文本行创建应用程序的图形化编程语言,由NI 公司研制开发。现被广泛应用于虚拟仪器设计相关的科研领域。根据测速系统原理和人机交互优化原则设计软件流程如图3所示。

图3 软件设计流程图
根据软件设计流程图编写上位机软件如图4、图5 所示。

图4 虚拟仪器界面设计图

图5 虚拟仪器底程序设计图
3 误差分析
随着科学技术的日益发展和人们认识水平的不断提高,虽然可以将误差控制的越来越小,但终究不能完全消除它。误差的分析与评定在测试领域中尤为关键,是检验测试系统性能的重要指标。
3.1 误差来源
本系统的误差来源主要是在测量传感器之间距离s 时来自量具的仪器误差Δs 和来自于计数器计时的误差。计数误差表现为当时间计数器清零并开始计数时, 由于计数器由时标脉冲下降沿触发,所以可能出现计数器刚开始计数时时标脉冲就出现一个下降沿,而停止计数正好在一个下降沿结束后,这样所计数的时间比实际时间多一个脉冲;同样,如果开始计数是在下降沿刚出现后,而结束计数是在下降沿出现前, 会导致计数时间比实际时间少一个脉冲,造成计数误差。计数误差范围为(-1/f,1/f),在此区间上平均分布。
此外, 环境因素所带来的影响是多方面的,由于温度、气压和水汽的影响,空气折射率分布不均匀,折射率的梯度造成的光线发生弯曲;由于高速运动还会带来空气的气流变化和气体震动而引起对光路的干扰。加之一些不确定因素,主要反映在电信号上,环境影响带入了电平的抖动以及一些高频和低频的干扰。但这些干扰一般在电路中可以去掉或忽略。
3.2 误差综合评定
根据以上误差的来源分析和误差理论, 对式(2)求导得到误差:

将式(3)转换成最大误差:

计时电路计时最大误差

为依据国标QBT2443-1999 的规定计算。规定一级钢卷尺自零点端起到任意线纹的示值误差限为:Δ=(0.1+0.1L)mm,L 单位为m。若测试距离取0.3m,Δs 取0.03mm,待测运动物体速度为300m/s,那么将数据代入式(4)得到系统测速的最大相对误差为:

4 实验数据及结构分析
本测速系统已成功应用在双级空气炮弹射物体测速实验中,实验数据如表1 所示。

表1 测速数据表
5 结语
建立了基于红外光电开关的测速系统,分析了测试系统的误差,现场试验结果证明该方法能够将高速直线运动物体的测试误差保证在0.0015%以内。本系统仅用一套对射型光电发射/接收装置,预想进一步提高整个测速系统的测速精度,可采取在测速轨道上多安置几组光电开关来一同测速,最后将各组测试数值取均值得出最终数据。
