电路功能与优势
测量源电流或吸电流是医疗、工业、通信和其它类型设备中广泛使用的关键电路,用于激励传感器。驱动脉搏血氧仪传感器中内部IR(红外)和R(红色)LED所需的源(吸)电流就是一个很好的例子。
脉搏血氧仪是一种无创医疗设备,用于连续测量氧饱和血红蛋白(Hb)的百分比和病人的脉搏数。携氧血红蛋白(氧合血红蛋白)吸收红外(IR)光谱区中的光,未携氧的血红蛋白(脱氧血红蛋白)则吸收可见红(R)光。使用脉搏血氧仪进行测量时,一般是将包含两个LED(有时更多,取决于测量算法的复杂度)和一个光传感器(光电二极管)的一个夹子夹在病人的手指或耳垂上。一个LED发射红光(600 nm至700 nm波长),另一个LED则发射近红外光(800 nm至900 nm波长)。夹子通过电缆与处理器单元相连。根据制造商的要求,两个源电流分别快速并有顺序地激励相应的LED,源电流的直流电平取决于所驱动的LED。当光线透过组织时,检测器同步捕捉来自各LED的光线。
脉搏血氧仪设计所用的低功耗、精密源电流(电流流入负载)或吸电流(电流流出负载)需要提供数十毫安的电流(老产品为数百毫安)。这些电路中的有源元件包括低功耗精密运算放大器、精密并联基准电压源以及MOSFET或双极性晶体管。为了省电,可以增加一个模拟开关,以便在待机模式下关断源电流或吸电流。如果要求超精密设计,则可以用超精密串联基准电压源代替并联基准电压源。
本医疗应用采用低功耗、低成本、精密放大器ADA4505-2,它是一款出色的双通道、10 μA、轨到轨、零交越失真器件。配合该放大器使用的精密并联基准电压源是超低功耗、低成本、1.25 VADR1581 (A 级)。模拟开关的绝佳选择是1 Ω导通电阻、双通道单刀双掷开关 ADG1636 。
当这些器件采用5 V电源并在–40°C至+85°C工业温度范围工作时,其最大静态电流如下:ADA4505-2其中的一路为15 μA;ADR1581为70 μA;ADG1636为1 μA。将这些数值相加,可知每个电路的总功耗为86 μA,符合便携式电池供电仪器的要求。
利用低功耗、低成本放大器ADA4505-2,微功耗、低成本并联基准电压源ADR1581,以及超低功耗单刀双掷模拟开关ADG1636所实现的源(吸)电流测量,具有精密、低功耗、高性价比、灵活和PCB尺寸小等特点。

图1. 利用ADA4505-2、基准电压源ADR1581和开关ADG1636实现脉搏血氧仪红光与红外源电流测量(原理示意图:未显示去耦和所有连接)
电路描述
图1所示为设计示例,其中一个直流吸电流驱动脉搏血氧仪红光和红外LED。这些直流吸电流分别允许10.3 mA和15.2 mA的电流流过红光和红外LED。
为尽可能延长电池使用时间,吸电流仅在需要时才开启。ADG1636单刀双掷模拟开关的一半用来将1.25 V基准电压源与各电流电路相连或断开。
当吸电流驱动各自的LED时,1.25 V基准电压源ADR1581(A级)由ADA4505-2的一半缓冲。N沟道MOSFET IRLMS2002连接为源跟随器,并且位于运算放大器反馈环路内。这将强迫电流设置电阻(121 Ω或82.5 Ω)上的电压刚好为1.25 V,进而将源电流中的电流设置为10.3 mA或15.2 mA。ADA4505-2实质上起到基准电压源缓冲与电流开关控制的双重作用。
设置各吸电流值的公式为:

其中VREF为1.25 V基准电压,RS为121 Ω或82.5 Ω吸电流电阻,VOS 和 IB 分别为ADA4505-2的失调电压和偏置电流。
如果我们忽略放大器的VOS和IB,以便简化电路分析,则流过红光或红外LED的电流ISINK 为10.3 mA 或15.2 mA 。
将基准电压源与吸电流电阻断开,并将此电阻接地,便可关闭吸电流。
当吸电流开启时,各吸电流仅开启一定的时间,而且不会同时开启。该时间由驱动相应吸电流波形的占空比设置(开关ADG1636的IN1和IN2引脚)。这些波形为脉搏波形,占空比约为25%,典型周期为1 ms (1 kHz)。这意味着,各吸电流在1 ms周期中的250 μs期间内开启。这些红光和红外吸电流的典型时序如图2所示。

图2. 脉搏血氧仪红光和红外吸电流的典型时序
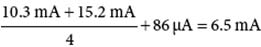
利用此时序,可以通过下式计算两个吸电流的总功耗:

由此可知,以获得脉搏血氧仪读数所需的5 V电源供电时,总功耗小于6.5 mA。值得指出的是,上面计算的ADA4505-2、ADR1581和ADG1636组合的功耗为86 μA,这只占所需总功耗6.5 mA的1.3%。因此,这三个有源元件所增加的负载对于电池是微不足道的。
公式中的VOS误差项不仅应包括放大器的失调电压,而且应包括运算放大器非理想行为所引起的所有误差。每项这种误差均应算作折合到运算放大器输入端的附加VOS。通过ADA4505-2等精密放大器,所有这些误差的总和与运算放大器本身的失调电压相比可以忽略不计。
ADA4505-2的最大 VOS为3 mV,这代表0.24%的吸电流误差。同样的道理,与红光和红外吸电流所需的10.3 mA和15.2 mA相比,ADA4505-2最大2 pA的IB所引起的误差也可以视为零。
如果我们将此0.24%的VOS 误差与ADR1581的最大初始精度0.8%和吸电流电阻容差0.1%(本设计的选择)相加,则最差情况总误差为1.14%,不确定性分析误差为0.83%。现在,如果我们将各相关元件(基准电压源、吸电流电阻和运算放大器)误差的高斯分布曲线引入此不确定性分析中,则保守预期误差为0.28%(请参考Holman, J. P所著的《Experimental Methods for Engineers》第四版,McGraw-Hill,1984)。
吸电流容许的误差取决于脉搏血氧仪读数的精度要求。对于红光和红外LED,驱动电流的精度与其辐射通量(辐射输出功率)的精度成正比。辐射通量是对发射光所含功率的量度。因此,高LED电流精度意味着LED辐射通量的预测精度也较高。图3显示Hamamatsu L5276、L5586、L6286红外LED的典型辐射通量与正向电流的关系曲线。

图3. Hamamatsu超小型红外LED L5276、L5586、L6286的辐射通量与正向电流的关系
设计中还使用了其它元件,22 pF电容用来改善放大器ADA4505-2的稳定性(环内补偿)。(请参考ADI公司《模拟对话》杂志:“应用工程师问答—25”。)1 kΩ反馈电阻用来限制流入放大器反相引脚的电流。与ADA4505-2输出端串联的22 Ω电阻有两个作用:一是防止驱动N-MOSFET输入电容(Ciss)时发生振荡,二是抑制N-MOSFET开关时的一些瞬态响应。在具体应用中,这些电阻和电容可能需要进一步优化。
表1显示环境温度时图1所示设计的红光和红外吸电流的计算(理想)值与测量值。
|
吸电流 |
理想值(mA) |
测量值(mA) |
误差 |
|
红光 |
10.331 |
10.325 |
–0.06 |
|
红外 |
15.152 |
15.168 |
+0.11 |
为了使本文所讨论的电路达到理想的性能,必须采用出色的布局、接地和去耦技术(请参考教程MT-031 和 教程MT-101)。
常见变化
本电路的一个常见变化是用DAC代替基准电压源。根据红光与红外LED所需的光照度,DAC提供不同的输出电压。ADA4505-2的一大优势就是作为一款零交越失真运算放大器,其VOS在整个输入电压范围内保持恒定。这样,每次DAC改变输出以产生不同的吸电流电平时,不必执行系统校准。因此,当ADA4505-2与DAC配合使用时,只需校准一次。此外,因为DAC可以输出0 V信号,在不需要时禁用吸电流,所以还可以去掉开关ADG1636。
N沟道MOSFET IRLMS202使本设计能够用于高达数百毫安的电流(切勿超出安全工作区,这一点必须特别注意)。当电流水平在数十毫安时,则可以使用可靠且具成本效益的N沟道MOSFET BSS138。
如果整体设计的精度和温度漂移要求严苛,请使用更精确、温度系数漂移更低的基准电压源,例如:高精度串联基准电压源ADR127 ,或者ADR1581的更高精度B级产品ADR1581 (B 级);对于吸电流电阻应选择容差更小的低温度漂移产品;并且应选择VOS极低的精密放大器,例如自稳零(零漂移)AD8629 (2.7 V至5 V)或OP07D (8 V至36 V)。
如果吸电流精度要求不高,根据整体设计容差要求,可以使用通用型高性价比运算放大器。AD8515(1.8 V至5 V)、AD8542(2.7 V至5.5 V)、AD8529(2.7 V至12 V)、AD8566(4.5 V至16 V)和OP275(9 V至44 V)均是很好的例子。
