摘 要: 为提高目标识别的准确性和快速性,提出了基于全局和局部特征对目标识别的方法。基于颜色直方图提取全局颜色特征,利用多尺度空间来表达目标的局部特征,最后将全局和局部特征进行数据融合得到图像的识别结果。实验结果表明,该方法很好地结合了目标的整体和局部信息,能有效地识别目标,且识别效果优于单一的全局特征和局部特征的识别效果。
关键词: 目标识别;全局特征; 局部特征; 数据融合
实际意义的目标大都处在复杂背景之中,目标检测很困难。成像条件变化使目标的图像发生变化,背景的空间时间变化使目标相对于背景的可观察性发生变化,这些因素将影响现有常规目标提取算法和系统的可靠性和稳定性。近年来,目标识别成为研究的热点,林玉池[1]等提出基于形态学多结构原边缘提取算子,很好地提取了复杂背景下的目标边缘,较好地解决了复杂背景下的目标识别的难题。张铁柱[2]等提出了利用车载雷达和红外成像传感器数据融合的智能目标识别算法,融合效果优于单个效果的识别。陈芳涵[3]等采用小波多尺度积德方法提取目标图像的边缘,解决了复杂背景下目标图像的识别问题。这些大多是单一特征的识别,本文提出了一种新的全局和局部特征信息融合的算法,充分利用了全局和局部信息的互补关系,在目标识别上取得了良好的识别效果。
1 全局颜色特征
颜色特征是一种全局特征[4],描述了图像或图像区域所对应的景物的表面性质。一般颜色特征是基于像素点的特征,所有属于图像或图像区域的像素都有各自的贡献。
1.1 HSV空间模型及其量化
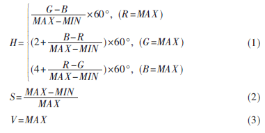
HSV模型[5]是人们用来从调色板或颜色轮中挑选颜色的彩色系统之一。HSV表示色调、饱和度和数值。假设所有的颜色都已经归一化到[0,1]范围。在RGB 3个分量中,设定最大的为MAX,最小的为MIN,则RGB到HSV的转换公式为:

图像转换后的效果图如图1所示。


生成SFIT特征向量之后,采用关键点特征向量的欧氏距离来作为图像中关键点的相似性判定度量。在实际计算时,一般计算欧氏距离的最近值与次最近值的比值,若比值小于某个阈值,则认为是匹配对。阈值取得越小,匹配结果的稳定性越高,最后得到的匹配对数量就会越小。
3 目标识别
目标识别是计算机视觉和图像处理中的一个重要课题,是指在图像中寻找指定的物体。本文基于全局和局部特征的目标识别流程,分为以下几步:
(1)基于全局颜色特征,确定识别目标的大体区域;
(2)对复杂目标进行角点检测;
(3)对得到的特征点进行描述;
(4)将得到的特征在复杂目标中进行匹配;
(5)输出识别结果。
4 实验结果
4.1 全局特征识别
通过感兴趣目标的颜色直方图,可以对其在复杂场景中进行颜色分割,从而缩小了复杂场景的范围,减少了搜索时间,提高了效率。识别结果如图5所示。

4.2 局部特征识别
基于前面所述的局部特征匹配的步骤提取出特征点并进行SFIT特征匹配,在复杂场景中很快搜寻到与感兴趣目标相匹配的目标。实验结果如图6所示。

本文基于全局和局部特征对复杂目标进行识别,通过实验证明,本文的方法有效地结合了全局颜色特征和局部尺度不变特征,能够快速、准确地对复杂场景中的目标进行识别。
参考文献
[1] 林玉池,崔彦平,黄银国.复杂背景下边缘提取与目标识别方法研究[J].光学精密工程,2006,14(3):509-514.
[2] 张铁柱,蒋宏.机载雷达和红外数据融合的智能目标识别[J]. 红外与激光工程,2010,39(4):756-760.
[3] 陈芳涵,苗华,陈宇,等.基于小波多尺度积的目标识别[J].光学学报,2009,29(5):1223-1226.
[4] 沈保国,陈数人,尹建军,等.基于颜色特征的棉田绿色杂草图像识别方法[J].农业工程学报,2009,25(6):163-167.
[5] 王夏黎,周明全,耿国华.一种基于HSV颜色空间的车辆牌照提取方法[J].计算机工程,2004,30(17):133-135.
[6] 高升.基于颜色特征的图像检索方法及系统实现[D].北京:北京邮电大学,2006.
[7] 杨艳伟.基于SIFT特征点的图像拼接技术研究[D].西安:西安电子科技大学,2009.
[8] LINDEBERG T. Scale-space theory: a basic tool for analysing structures at different scales[J]. Journal Applied Statisitics, 1994,21(2):232-261.
