1 引言
本文介绍的全自动无骨架系列空心电磁线圈高速绕线机,可以绕制传动线圈,扬声器线圈,天线线圈以及各种无骨架通用线圈。设备具有性能可靠,高速高效率,自动化程度高,适合于线圈制造业的批量生产,如图1所示。

图1 空心电磁线圈
一般普通绕线机采用内置脉冲功能的小型PLC,通过绕线轴编码器速度输出到PLC内置高速输入点,将绕线轴与排线轴的速比进行简单速度同步,这种方法受 PLC运算影响,同步精度差,计算量大,CPU处理时间较长,因此会出现绕线不均匀,堆积,塌陷等问题,严重影响绕线成品的质量,举例来说,PLC对绕线轴编码器作高速计数,当到达计数值时利用中断方式控制排线轴电机反向绕制,但受CPU运算处理时间的影响会出现滞后产生误差,在低速的情况下尚可基本达到绕制要求,但是对于高速绕制多层线圈时就会出现线圈端面不齐整,成品品质下降。
台达DVP-20PM00D是一款专用运动控制型PLC,采用高速双CPU结构形式,利用独立CPU处理运动控制算法,可以很好地实现各种运动轨迹控制、逻辑动作控制,直线/圆弧插补控制等,在高速绕线机中利用了20PM运动控制器的电子凸轮功能很好的解决了绕线换向出现的绕制不均匀、堆积、不平整等问题,如图2所示。

图2 运动控制器DVP-20PM00D
2 高速绕线机
2.1 设备结构简介
高速绕线机共包含九部分机构,如图3所示。

图3 高速绕线机
(1)机架。机架由角钢框架及不锈钢台面组成,并设置脚轮便于移动,当设备到位后可将支脚调低作为稳定支撑。
(2)张力机构。安装于进线部分,作为绕线张力调节,保证线圈绕制时维持张力恒定,张力调节器具有调节旋钮可针对不同需求进行张力调节设定,调整完毕后,张力调节器自动控制绕线张力。
(3)绕线机构。主要由台达B系列200W伺服电机、同步齿形带、绕线飞叉组成,是电子凸轮运动中的绕制主轴,铜线经过飞叉旋转绕制于绕线模头上,是绕线机主要运动部件之一。
(4)排线机构。包括台达B系列100W伺服电机、精密直线螺杆、精密导轨、气动滑叉等,是电子凸轮运动中的排线从轴,在绕线运动中跟随绕线主轴正反向往复运动实现排线动作,是绕线机主要运动部件之一。
(5)工作转台
由分度步进电机、旋转台、线叉、绕线模头组成,该设备为多任务位绕线机,在绕线同时执行模头预热、剪线、加热、脱模等工艺动作,这需要工作转台按不同工位动作完成。
(6)剪线机构。为气动执行机构,主要是将绕制完成的线圈两端引线剪断。
(7)脱模机构。由分度步进电机、气动脱模组成,将绕制完成的成品从绕线模头取下。
(8)热风系统。设备配置两个可调温度220V热风枪,在绕线前将模头预热,绕线后对线圈进行热风处理便于脱模。
(9)电气控制。包含电气控制箱、触摸屏操作盒。采用DVP-20PM00D运动控制器作为控制核心,触摸屏作为人机交换,伺服电机作为执行机构,实现转轴与排线的精确控制,从而保证绕线的精度。电气控制系统框图如图4所示。

图4 电气控制系统框图
2.2 工艺流程
绕线头回原点→进给至起绕点→张力调节→模头预热→绕线、排线→加热→剪线→脱模→成品→退至脱模点→进给至起绕点循环生产。
2.3 电气系统配置
电气控制主要包括绕排线部分、步进分度部分、气缸动作控制部分。具体配置如表1所示。
表1 绕线机电控配置

3 台达PLC电子凸轮功能
高速绕线机的主要控制功能基于台达20PM电子凸轮的应用,使绕制产品的成品品质及效率大大提高。以下对电子凸轮功能作简单介绍:
3.1 什么是电子凸轮
参见图5,凸轮是用于实现机械三维空间联动传动关系与控制的机械结构。自动化运动控制系统用软件程序与伺服电机实现三维空间联动传动关系与控制的软件系统就是电子凸轮功能。从图5可以看到,左边是我们常见的机械式凸轮方式,而右边就是电子凸轮方式。也就是说利用程序的方式(配合伺服单元)完成机械凸轮控制所需要的轨迹,实现主轴和从轴的啮合运动。

图4 电子凸轮功能
3.2 电子凸轮的实现
(1)获取主轴位置。获取主轴位置有多种方法:一是采用虚拟轴,计算简单准确;二是从主轴编码器或伺服脉冲获取,将主轴编码器信号进行处理;三是从测量编码器获取。获得编码器信号之后,将其换算成主轴位置。
(2)实现主从轴的啮合。实际上是定义主从轴之间的关系(称之为cam table)。cam table有两种方法表述:一是采用X、Y的点对点关系;二是采用两者的函数关系。cam table的获取也有多种途径:根据实际工作中测量到的点与点之间的对应关系,根据主从轴的标准函数关系。 cam table可以定义多个cam曲线。关系确定和实现后,根据主轴的位置,就能得到从轴的位置。
3.3 台达运动控制型PLC的电子凸轮
台达20PM运动控制器除了实现直线/圆弧插补以及定位功能之外,内嵌了电子凸轮功能,使其可以应用在多种运动控制场合。20PM为2轴运动控制器,具有2路500KHz的输入与输出,在电子凸轮功能中定义X轴为从轴,Y轴为主轴,当定义好cam table后,从轴依据定义的曲线跟随主轴运动。图6是电子凸轮图形化定义软件主界面。

图6 台达电子凸轮软件图形化定义主界面
在软件中我们可以清楚地利用图形方式设定、修改电子凸轮曲线。当我们点击进入资料表单设定按钮时会弹出下面的区段设置表。使用者需先设定 Start Ang, End Ang, Stroke以及透过下拉式选单选取CAM curve(具有连续、正弦、匀加速等6种曲线,并可加入其它标准曲线和自定义曲线),在设定完成后按下Setting completed按钮, 即可在主画面绘制位移, 速度, 加速度坐标图7所示。

图7台达电子凸轮软件图形化定义分界面
图8是以高速绕线机为例的电子凸轮曲线图,采用CYCLIC模式排线从轴根据绕线主轴连续正反排线。以下是计算主从轴关系算式:
主轴转一圈所出线的距离(圆周长)=π*D (mm) Or 绕线模具一圈的出线的距离(圆周长)=π*D (mm);
排线从轴转一圈所需脉波数=10000P/R=>相对应转一圈滚珠螺杆移动之距离=10mm;
主轴旋转一圈所需脉波=3600P/R =>从轴相对应主轴旋转一圈所转动的圈数所需脉波= 100P/R =>相对应滚珠螺杆移动之距离=0.1mm
Master/Slave关系式=(主轴旋转一圈所需脉波*凸轮一周期的匝数)/(从轴相对应主轴旋转一圈所转动的圈数所需脉波*线径*排线宽度的匝数)

图8 高速绕线机电子凸轮曲线图
4 绕线控制电子凸轮设计
4.1 程序设计
程序设计的关键在于高速绕线机的控制难点分析及解决方案。
(1)系统难点。绕线机在换向处出现绕线不均匀、堆积;绕线机换向处出现螺旋纹、不平整;无法进行斜排绕线,奇偶数绕线。
(2)难点分析。换向处绕线不均匀、堆积情况出现主要是由于普通PLC的速度指令处理时间长,换向受程序扫描周期影响,没有同步指令且无法实时刷新,同时伺服刚性参数,动态响应速度也是原因之一。
换向处出现螺纹主要是因为螺旋绕线方式造成,可采用最后半圈定位绕线解决。
斜排绕线在爬坡时每圈需要增加一个线宽和线厚,奇偶数绕线是在每绕一层变换绕线匝数奇偶性,两种绕线方式都需要每次绕线后进行计算,由于普通小型PLC运算时间长,导致无法进行高速斜排和奇偶数绕线。
4.2 台达解决方案
由以上分析可以看出,高速绕线机的瓶颈在于高速运算及响应,而台达20PM运动控制器除逻辑控制CPU外具有独立的高速运算CPU,由硬件直接完成高速运算响应,2轴同步控制时间小于0.5ms,达到高速绕线需求。关于台达20PM运动控制器电子凸轮功能及应用在上面章节已有描述。
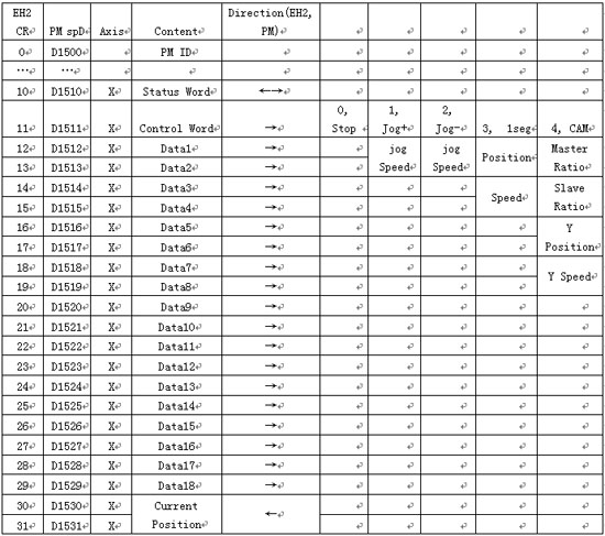
此外,对于程序编写也十分简单方便,利用PMSoft编程软件设置好cam table后,直接控制对应的内部寄存器即可完成电子凸轮运行。表2 为X轴排线轴内部寄存器表,例如在对应的D1511中传送不同数值即可实现0(停止)、1(正向点动)、2(反向点动)、3(单段速运动)、4(电子凸轮运动),其它寄存器同样有各自功能。
表2 X轴排线轴内部寄存器表

X轴排线轴梯形图如下:

5 结束语
基于台达20PM电子凸轮功能的绕线机控制系统系统已经投产使用,绕线速度最高可达2500r/min,绕制产品品质达到用户需求,台达20PM电子凸轮功能成功应用于高速绕线机中。
电子凸轮功能不仅仅可以应用在绕线机控制中,通过变换不同的控制曲线,该功能广泛应用于各种较高要求的运动控制中,例如:包装机行业中的飞剪,机床行业中的飞锯,印刷机行业中的电子轴裁切及套印,纺机行业中的精密络筒绕线等等。
