气体流量计是较为常用的仪表设备。钟罩式气体流量标准装置是以空气作为介质,对气体流量计进行检定、校准和检测的计量标准装置。主要适用于速度式、容积式和差压式等气体流量计的检定、校准和型式评价工作,也可用于气体流量测量的研究工作。本文基于C8051F350单片机,改造现有的钟罩装置,设计一种气体流量计检测仪。
气体流量计检定技术概述
目前,气体流量计的检定方法广义上可分为直接测量和间接测量两种。
直接测量法的是用实际流体进行计量检定,其具体定义为用标准装置(标准流量计或计量器具)与被测流量计串联,通过比较两者测得流体的累积流量值,得出被测流量计测量误差的方法。实流检测法具有检定环境与工况环境一致、流量值准确可靠和真实反映被测流量计计量特性的特点。实流检测法又可分为离线实流检测和在线实流检测。离线实流检测主要在实验室进行,就是将被检流量计与实验室的流量标准装置相串联,在实验室参比条件下测得流量计计量误差,此方法可保证在实验室条件下的计量准确,但忽视了其在工况条件下的计量特性。在线实流检测则是将标准流量计安装在被测流量计后方的预留检定管路上,利用实际流体进行计量,现场在线检测获得实际工况误差。
间接测量法是通过测量与流量值的相关的几个物理量,通过对几个相关物理量误差的运算,间接地获得被测流量计示值误差的一种方法。
气体流量计检测仪原理
钟罩装置的工作原理
钟罩式气体流量标准装置是气体流量标准装置主要形式之一。在压力不高(一般小于10kPa)、流量不大的情况下,用它检定流量计是比较简便的。该装置按气流方向可分为排气式和进气式。其特点是:①它适合检定压力不高、流量不大的气体流量计;②排气式装置中,流经被检流量计的气体压力很低,接近于大气压,而且气体湿度很高,对检定的结果造成影响,因此必须有湿度修正;③进气式装置需要一个干燥和稳定的气源,保证检定用气体的干度符合规定要求,并保证试验管段的气流压力、温度和流量恒定,这就使建立进气式装置比建立排气式装置困难;④由于钟罩的内压只决定于本身的重力、配重物的重力、液体浮力和补偿机构的拉力,所以不管是排气式还是进气式,内压是不变的。
钟罩的标准体积是通过测量钟罩的位移得到的,钟罩位移的自动测量是该检测仪(钟罩装置)的重要部分。光栅尺是高精度的位移测量元件,在精密仪器、高精度精密加工等领域得到了广泛的应用,将光栅尺用于检测仪,作为钟罩量筒的位移传感元件,能精确对应钟罩的体积量。检测仪的原理是当钟罩下降时,钟罩内气体通过连接管路流经被检流量计,在钟罩下降同时通过光栅尺将钟罩下降的高度转变为脉冲信号,经硬件接口电路调理后传送给计算机,计算机经过补偿修正等运算处理,将其转换成气体标准体积或者体积流量。另外,标定后的检测仪设有挡板和光电传感器,钟罩两挡板之间的容积是固定的,挡板先后通过光电传感器所经历的时间可测得,也可得到排出气体的标准体积或体积流量。将所测值与被检流量计指示的体积或流量的比较,就可得到被检流量计的基本误差。
流量计算公式
在测量时间t内钟罩排出的气体体积为VS,则经过被校流量计的体积流量
![]()
式(1)中,PS、TS 、 ZS分别为钟罩内的绝对压力(Pa)、热力学温度(K)和气体压缩系数; Pm、Tm、 Zm分别为流量计前的绝对压力(Pa)、热力学温度(K)和气体压缩系数; Vs为钟罩排出的在PS、 TS 状态下的气体容积(m3); Vm为钟罩排出的在Pm、 Tm状态下的气体容积(m3); t为测量时间(s)。
将 (qv)s与被校流量计的显示值(qv)m比较,可计算出被校流量计示值相对误差为:
![]()
对于速度式流量计,是通过钟罩装置排出的标准体积及被校流量计输出的脉冲数来标定流量计的仪表系数。
气体流量计检测仪基本结构
气体流量计检测仪以C8051F350单片机为核心,监控所有被测量,其基本结构如图1所示。

图1 气体流量计检测仪结构图
为了保证钟罩内的气温和液槽内的液体温度之差符合规定要求,应严格控制检测仪的温度,故设置了五个采温点,另增加温度湿度传感器,监视现场检定环境。检测仪监测的所有信号如下:①钟罩,五路温度包括罩顶温度、罩内上、中、下温度、液温;②被检流量计,流量计检定前温度、压力、差压、模拟流量计信号;③环境,室温、湿度;④脉冲信号,钟罩光栅尺、挡板、限位、脉冲式流量计信号。
气体流量计检测仪硬件设计
气体流量计检测仪硬件部分由单片机、通讯、阀门控制和电压转换等电路构成,受计算机控制,完成各项检定指令,并实现实时数据采集和高精度计时等功能。
C8051F350单片机简介
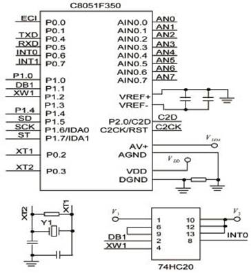
检测仪选用C8051F350单片机为控制核心,它是一款高集成度的混合信号片上系统型单片机,集成了PGA、ADC、DAC等丰富的片上资源,而且具有低功耗、高分辨率、小封装、高性价比等优点,是高精准度测量应用的理想选择。单片机信号的输入与输出如图2所示。
C8051F350单片机的功能特性:①70%的指令的执行时间为1或2个系统时钟周期,这样在保证系统速度要求时,可以降低系统时钟频率,从而降低系统功耗;②PGA可以放大1~128倍,适用于小信号直接测量;③8通道24位ADC,其非线性可达0.0015%,保证系统的高精度;④8kB片内FLASH存储器,保证足够的代码空间,可用于传感器的线性矫正程序,而且可以将其中一个扇区(512字节)作为非易失型存储器使用,存放系统标定参数;⑤高精度可编程的24.5MHz内部振荡器,±2%的精度,可支持无晶体UART操作;⑥768字节内部RAM,可用于存放线性化运算时需要的大量数据;⑦可编程计数器/定时器阵列,可实现16位PWM,配合简单外围电路可实现D/A转换;⑧32脚LQFP封装,节省PCB面积,可用于小型化产品;⑨片内调试电路提供全速、非侵入式的在系统调试,保证开发简便。
C8051F350芯片可外接的振荡电路有四种,设计中选择晶体作为外部振荡源,为了便于波特率的设置,图2中所示Y1取22.1184MHz。C8051F350芯片共有17个数字I/O端口,其中P2.0/C2D用作JTAG调试,余下16个端口在硬件连接和交叉开关配置后,引脚功能如下:P0.0光栅尺输入脉冲计数;P0.2、P0.3连接外部晶振;P0.4、P0.5串口通讯;P0.6钟罩挡板、限位信号(INT0中断);P0.7流量计脉冲信号(INT1中断);P1.0按键(上电复位);P1.1、P1.2单片机读挡板和限位信号;P1.4控制CD4053;P1.5~P1.7控制74HC595,P0.1、P1.3空余。

图2 C8051F350单片机接口图
检测仪信号采集
压力、温度传感器和一些气体流量计输出的流量信号是电流信号(4mA~20mA)。考虑到ADC输入范围,可选用100Ω的精密电阻将电流信号转换为对应的0.4V~2V的电压信号。
C8051F350单片机有8通道24位可编程AD转换器,而检测仪中待转换的模拟量有16路,为了解决通道不足的问题,可使用双向模拟开关CD4053。
设置ADC使用内部参考电压,经过零点校准和斜率校准,使ADC在输入4mA时输出为初始值,输入20mA时为满量程值。读取AD转换结果的高16位送给计算机,计算机再根据每个变送器提供的线形内插表算出对应的数值。
气体流量计信号调整电路
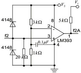
气体流量计信号以脉冲方式输出,输出的一部分是标准脉冲信号(TTL电平),还有一部分是在3V~30V之间的高电平信号。因此,利用比较器设计一个输入脉冲调整电路来简化电路,调整电路可识别这两部分脉冲信号,并将高电平的信号转化为TTL电平。流量计信号调整电路如图3,f2为流量脉冲的输入。设置参考电压V2,当输入低于参考电压时,输出GND=0V;当输入电压高于参考电压时,比较器输出电压Vcc=5V。比较器输出的信号,经过光电隔离和功率放大,输入到单片机P0.7引脚。

图3 流量计信号调整电路图
多路电磁阀控制电路
依据检定规程和流量计量程,检定时需设定多个检定流量点。在0.5m3/h~128m3/h之间取10个流量检定点,对应10只电磁阀来控制流量,定标时手动输入所需流量值,计算机根据电磁阀对应的流量值,自动打开相应电磁阀或电磁阀组合。
检测仪通过C8051F350单片机执行电磁阀的开闭动作、控制鼓风机,为了尽量少占用单片机的I/O口,引入74HC595芯片,如图4所示,设计串行口多路气阀控制电路。74HC595内含8位串入、串/并出移位寄存器和8位三态输出锁存器。将第一个74HC595的Q7与第二个的SER相接,单片机只需控制第一个74HC595的SER、 SRCLK和RCLK三个引脚,就可使多路气阀和风机等的开闭得到控制。

图4 多路气阀控制电路图
气体流量计检测仪软件设计
气体流量计检测仪软件设计采用Delphi编程技术,处理下位机发送来的数据,得出检定结果,并将检定数据保存在SQL SERVER数据库系统中。检测仪系统的控制器部分负责采集数据和执行指令,而在计算机上完成检定界面的设计、数据库的设计和数据的处理。
控制器部分软件设计
如图5所示,控制器部分软件设计包括A/D采样模块、通讯模块、定时模块和计数模块设计。

图5 控制器程序流程图
(1)计数与计时
气体流量计检测仪采用中断方式对钟罩挡板脉冲、流量计输出脉冲和光栅尺脉冲进行计数。同时,检测仪要对标准时间计时,并且要产生1s中断,以及在通讯时产生波特率。C8051F350单片机可满足计数与计时要求,它拥有一个可编程计数器阵列(PCA),将PCA设置为对输入脉冲计数,大部分情况下只需控制其启动和停止,然后读出计数值。T0用于被检流量计脉冲信号计数;T1为串口通讯波特率发生器;T2用于标准时间计时和1s定时。
(2)通讯
C8051F350单片机与计算机通讯采用RS-232C串口,设定波特率115200bps。实际通讯时,计算机发出的有效指令编为一组代码,单片机在执行命令后,返回的数据中包含与此次操作对应的另一组代码。这样,上位机与单片机程序可同时编写,写好后可以像拼图一样组合使用;而且数据格式被约定了,在上位机修改数据格式的代码就可改变命令。
(3)检定方式
由检定人员将相关检定参数设定在计算机上,通过串口发送给单片机,检定流程如图6所示。首先将钟罩提升至指定位置,在设定检定方式和参数后开始检定。已实现的检定方式有:①钟罩定容方式:主要检定脉冲量输出流量计,标定流量计仪表系数;②流量计定容方式:主要检定标准流量脉冲信号输出流量计,采用流量比对方式,标定流量计相对误差;③模拟量检定方式:类似于方式①,采用挡板定容,由起始和终止挡板数控制流量计模拟量的采集并进行A/D转换,1s采样1次;④手动方式:类似于方式②,主要检定人工读数的流量计,由检定人员控制计时和光栅尺脉冲计数的起始与结束。
在检定各种流量计的过程中,单片机每隔1s采集压力、温度等传感器数据,同时读取钟罩位移对应的光栅尺脉冲数和钟罩经过的档板个数,流量计输出脉冲数等数据,发送至计算机进行显示和流量值补偿计算。当钟罩降至底部时,停滞3s,再由计算机发送升钟罩指令,提升钟罩以便进行下一次检定。
计算机部分软件设计
计算机主要用于设置流量计检定参数及分析计算检定误差和管理数据。
(1)计算机功能模块
检测仪采用Delphi程序设计开发用户界面,采用SQL Server数据库管理检定数据,计算机各功能模块包括系统参数设置、数据采集及处理、数据查询、数据修改、检定报表打印和检定人员管理模块。
(2)计算机数据处理
数据处理方式因检定方式的不同而异,以检定方式①为例,按以下公式计算流量计仪表系数和误差,首先确定每个流量检定点的仪表系数ki。
![]()
式中ki为第i流量检定点的仪表系数,m-3; Nij为第i流量检定点第j次检定被检流量计的累计脉冲数; Vij为第i流量检定点第j次检定钟罩的体积量,即不同检定点钟罩的定容体积量,在检定前输入,m3; PS和Tm为检定时间内钟罩处和流量计的平均绝对压力,Pa;TS和Tm为钟罩处和流量计的平均温度值,℃。可计算流量计的仪表系数k为:
![]()
流量计的线性度为
(5)
进而可以得出流量计的基本误差为:
![]()
式中
为钟罩装置的系统误差,经计量部门检定合格后确定。
软件的设置
(1)设置权限
登录软件的人员分不同权限,最高权限为具有所有权限的系统管理员,可以通过管理员生成不同权限的操作员和调试员或其他自定义人员。操作员权限为检测仪表、调用检测记录等,其权限由系统管理员指定;调试员权限为修改软件内部设置、设置系统数据等。
(2)设置系统参数
完成组建系统后,必须设置一些相应系统参数以保证检测仪正常工作和仪器较高的检测精度,包括:
①钟罩仪表系数:表示旋转编码器所发出的脉冲中每单个脉冲代表钟罩排出气体的体积。它是钟罩固定参数,每年需校准一次。在检测软件中必须设置该系数,否则无法检测被测流量计。
②流量计仪表系数:表示流量计所发出脉冲中每单个脉冲代表流过流量计气体的体积,单位为升每个脉冲(L/N)。它在检测之前输入,也必须设置,可设置为流量计固定参数或可变参数。
③标况方的条件:它是气体的标准状态条件,即大气压力为101.325kPa、温度为293.15K(20℃)。
④钟罩提升到指定高度后的稳定时间:钟罩提升后,在短时间内经历上升、停止过程会产生颤动,通过设置稳定时间使钟罩稳定下来,以减小系统误差。该参数设置越大,钟罩颤动越小,检测效果越好,但也会降低检测效率。
⑤钟罩检测下降开始阶段稳定脉冲数:钟罩下降阶段经历静止、下降过程,在下降开始阶段会产生颤动,通过设置钟罩下降开始阶段脉冲不计量,使钟罩在这段不计量的过程中减小颤动,减小系统误差。该参数设置越大,钟罩颤动越小,检测效果越好,但也会降低检测效率。
⑥检测完毕后下降脉冲个数:钟罩在当次检测完毕后,不能马上停止钟罩下降,必须先停止脉冲计数,再停止钟罩。设置此参数,是为了满足先停止脉冲计数,再停止钟罩。该参数设置不应太大,保证检测停止与钟罩止降时间错开即可。
3)设置检定证书格式
包括设置纸张大小、字体大小、正文位置等。
结束语
气体流量计在生产和生活中经常被用到,其准确性与整个生产和生活安全密切相关。面对日益增长的流量计检定测试需求,提高检测仪器的工作效率和准确度等级显得十分重要。本文采用C8051F350单片机为控制核心,改进钟罩装置,加装精密光栅尺作为钟罩位移传感元件,并增设多路传感器,设计出气体流量计检测仪。该检测仪通过单片机数据采集实现控制,提高了采集数据的可靠性和准确性;检测仪组成简单,维护方便;在检定过程中,完全由检测仪控制检测过程和计算检定结果,提高了检测精度,具有普遍适用性。
