1、前言
随着微电子技术的飞速发展,一种基于工业自动化控制要求而设计的控制设备——可编程序控制器(Programmable Controller),目前己在工业自动化控制领域中得到广泛应用。由于这种控制器集成化程度高,兼备了计算机的功能特点,其结构简单紧凑,控制指令丰富,抗干扰能力强,使用操作灵活方便,对使用环境无过高要求,而且实现了复杂逻辑控制电路的智能化和软件化,控制电路及控制程序修改十分方便。再加上程序语言采用工程技术人员所熟悉的梯形图(近似于继电器逻辑电路)进行编制,易于实现各种复杂的控制,而且硬件控制线路十分简单,学习和掌握也十分容易,因而可编程序控制器在工业自动化控制领域具有广阔的应用前景。
目前,饲料厂配料工序多采用微机控制系统(国内生产的控制机组大多采用微机和STD总线工控机,进口控制机组以可编程序控制器为主)进行控制,而原粮粉碎工段设备控制仍以手动操作为主,少数用继电器盘实现顺序控制。采用继电器盘进行顺序和时间控制,硬件线路复杂,可靠性不高,柜内占用空间大,不便于线路修改及维护。而采用手动控制极易产生误操作,控制准确性差,人为因素影响大,易增加不必要的设备启、停次数,增加设备空载运行时间,严重时甚至损坏设备,因而很难保证产品质量和产品一致性,也增加了设备能耗、运行噪音和产品成本。针对这一情况,我们开发了可编程序控制器应用于原粮粉碎工段自动控制系统,实现了原粮粉碎工段控制的电气自动化。
2、粉碎工段工艺介绍
2.1 系统结构工艺流程
系统结构主要由物料提升机、水平输送机、除尘器、粉碎机、物料分配器及粉料成品仓等构成。图1表示出整个原粮粉碎工段的工艺结构流程图。整套系统运行特点为连续工作制,要具有良好的设备保护能力。一旦出现设备故障而未及时得到保护,就不但可能使设备毁坏,而且使各种物料在输送管路及加工设备中产生堵塞,给生产带来不必要的工作量及麻烦。另外,粉碎机为大功率设备,一般功率为75KW以上,它的合理控制与保护,对系统降低耗能总量及设备运行噪音起到关键的作用。
图1 粉碎工段工艺结构图
2.2 系统设备控制工艺
下面介绍原粮粉碎工段控制系统的主要控制工艺流程特点:
其控制工艺对除尘器、提升机、输送机、粉碎机及料斗电插门的启、停顺序和启、停延迟时间都有较严格的控制要求。在原粮粉碎工段运行过程中,设备启动顺序为:除尘器→提升机→输送机→粉碎机→开电插门;停止顺序为:关电插门→粉碎机→输送机→提升机→除尘器。而各设备间延时启停时间的设定,要根据设备及物料的不同,经过现场多次反复测试及调整,才能得到理想的数值。在运行过程中某设备有过载现象时,要求能及时停止过载设备,然后按停止顺序停相关工段的其他设备。此外,上述设备在手动操作时,通常需联锁启停,以避免物料堆积。
粉碎机的控制要求启动时采用合理的启动方式,以保护电机及工厂供电电网的安全。我们利用了可编程序控制器丰富的内部定时器资源及其极高的定时精度的特点,对粉碎机的启动控制采用了星-三角降压启动的控制方法。实践的结果证明该控制方法不仅安全可靠、调整方便、降低了启动能耗和噪音,而且也减少了电机启动器的投资,为饲料厂带来巨大的经济效益。
3、可编程序控制器的选择
输出点数的确定:根据原粮粉碎工段系统的控制设备台数及控制要求为粉碎机的正向及反向启停、除尘器的启停、提升机(两个)的启停、输送机(两个)的启停、电插门的开关、物料分配器电磁阀(左分及右分)、设备故障保护及各设备的运行状态指示及报警,总共输出控制点为23个。
输入点数的确定:输入信号有程序启动与停止、自动/手动选择、设备联锁、设备的启停信号、设备运行状态检测信号及设备过载检测信号等,总共38个控制信号。
日立E系列提供一种40点输入及24点输出的可编程序控制器,型号为E-64HR,其结构为单机式结构,控制指令丰富、简单易懂,十分符合本系统的控制要求。其次,日立E系列极高的可靠性能也是我们选择它的一个重要原因。
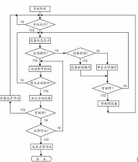
4、控制流程图及控制程序编制
要想完整准确地编制控制程序,首先要根据控制工艺流程绘制出控制流程图。图2为该系统的控制流程图。可编程序控制器提供的移位寄存器功能指令,可以十分方便地实现设备的顺序启停。根据控制流程,我们可以将控制程序分为:程序指针控制程序、手动操作控制程序、自动操作控制程序和设备状态检测、显示及故障报警程序。系统控制程序略。

图2 程序控制流程图
5、控制系统的主要功能
下面介绍该控制系统的主要功能:
多种控制功能可选 系统控制程序设有手动和自动运行模式。手动控制时,又可选择联锁或解锁功能,选择时通过选择开关,选择十分方便,不需在控制线路中加过多的转换开关。
2.自动启、停过程的锁定功能 当启动自动控制程序时,原粮粉碎工段相关设备按工艺要求依次延时启动。在设备尚未全部启动完毕前按下停止钮,停止操作不起作用。系统处于启动锁定状态,直至设备全部启动。反之,停止时停止操作状态也被锁定。
3.手动、自动操作锁定功能 手动或自动操作功能在启动前已被选定。一旦启动控制程序,当前的操作状态即被锁定而无法更改,只有按下停止操作钮,待全部设备停止后,所更改的操作状态才有效。
4.完善的自动控制功能 在粉碎工段的自动启、停过程中,设有自动开电插门5秒(未全部打开)和自动关电插门10秒(保证电插门关死)的控制程序。当启动自动程序后,设备依次自动启动,并最后完全打开电插门;停止时,设备反序自动停止后,再关电插门。在运行过程中,可手动启、停粉碎机,并开、关相应电插门,当粉碎机被停止后,按自动停止顺序停止粉碎工段相关的其他设备。在控制柜给电后,可由一对启、停钮控制辅料工序设备按工艺要求自动依次延时启、停,以适应上料随机性和继续工作的要求。
5.设备过载自动保护功能 当有设备过载尚未恢复,则不能执行自动程序。在设备自动启动过程中和启动完成后有过载,先停过载设备,再关电插门,然后按反序依次停其他设备;手动操作时,单台设备过载,单台停。
6.故障报警及故障查询功能 当设备出现过载现象时,控制屏上有一红灯闪烁报警,并伴有蜂鸣声,故障消除后,操作功能恢复,红灯停止闪烁,故障设备也可以直观地从可编程序控制器的输入显示窗中查到。
7.控制参数可随意调整 时间控制参数可根据设备具体功率和物料的容重进行调整,调整十分方便,时间精度达1/100秒。
6、结束语
饲料厂原粮粉碎工段采用可编程序控制器进行控制,从设备投资来看,如有两套粉碎机的系统中,可编程序控制器只需增加投资约4000元,1套粉碎机的系统约增加3500元。但由于可编程序控制器集控制、电源板、定时器、输入/输出单元(输出选继电器输出单元)于一体,采用整体设计,可靠性极高,抗干扰能力极强,而且可省掉几十个中间继电器和十几个时间继电器,硬件上的自锁和互锁控制可由软件实现,从而使控制线路大大简化,整个控制系统可靠性大大地得到了提高,实际净增加投资很少,这是采用继电器盘,甚至单板机控制无法与之相比的。从实际使用效果来看,不仅简化了操作过程,提高了控制可靠性和准确性,而且降低了维修维护工作量,提高了产品质量。由于设备启、停采用了精确的自动控制,从而减少了设备空载时间和启、停的次数,提高了生产效率,降低了电力损耗,减少了设备损坏。改善了生产环境,增加了社会效益和经济效益。
可编程序控制器不仅可以实现各种开关量控制、配上A/D及D/A模拟量模块,还可以实现各种定量控制。如粉碎机控制系统加入电流检测闭环控制,可实现粉碎系统自动调节喂料量的更加完善的控制系统。总而言之,在饲料工业实现部分和全厂自动化控制以及生产管理现代化的过程中,可编程序控制器将会以其优越的功能,发挥越来越重要的作用。
