本文在抽头延时神经网络(TDNN)的基础上,提出了一种可用于高功率放大器的数据捕获、分析、建模和线性化的有效数字预畸变过程。利用基带信号分析,对大功率RF放大器的记忆效应进行了识别与建模。
当前研究工作越来越多地关注大功率放大器线性化中的记忆效应,尤其是在蜂窝基站收发系统中的应用。尽管对功率放大器线性化已经进行了很多研究,具有恶化线性电路性能的长记忆强非线性系统的线性化,仍然存在许多具有挑战性的课题,这些问题是与记忆引起的复杂非线性畸变相关。
利用许多不同的函数或算法,已经开发出多种RF功率放大器性能建模方法。最近,研究人员开始应用人工神经网络进行RF大功率放大器的基带性能建模,甚至将其应用于数字预畸变技术,这是由于在快速非线性分析,高可复用性以及任意非线性系统通用性上取得的进展。由于基本的神经网络结构并不能充分反映建模中的记忆效应,因此引入了带有延迟抽头的加强型神经网络。
本文开发了一种有效的线性化过程,该过程采用TDNN来进行精确的性能建模和功率放大器的线性化过程。另外,使用相同的TDNN结构,选择间接学习过程来提取一个功率放大器逆模型。此逆TDNN模型直接用作功率放大器预畸变器。针对WCDMA下行链路信号,对带和不带延时抽头的线性化结果进行了比较分析。使用WCDMA下行链路信号对模型结构和线性电路的正确性进行了验证。
用于测试的硬件配置
功率放大器,简称“功放”。很多情况下主机的额定输出功率不能胜任带动整个音响系统的任务,这时就要在主机和播放设备之间加装功率放大器来补充所需的功率缺口,而功率放大器在整个音响系统中起到了“组织、协调”的枢纽作用,在某种程度上主宰着整个系统能否提供良好的音质输出。
利用三极管的电流控制作用或场效应管的电压控制作用将电源的功率转换为按照输入信号变化的电流。因为声音是不同振幅和不同频率的波,即交流信号电流,三极管的集电极电流永远是基极电流的β倍,β是三极管的交流放大倍数,应用这一点,若将小信号注入基极,则集电极流过的电流会等于基极电流的β倍,然后将这个信号用隔直电容隔离出来,就得到了电流(或电压)是原先的β倍的大信号,这现象成为三极管的放大作用。经过不断的电流及电压放大,就完成了功率放大。
为了获得功率放大器的动态AM-AM和AM-PM特性,图(1)所示测试配置采用Agilent Technology公司的电子信号发生器(ESG)样机E4438C ,矢量信号分析仪(VSA)软/硬件样机89641A和高级设计系统(ADS)仿真软件。在测试中用ESG 生成WCDMA 信号,并加于放大器。对从功率放大器输出的WCDMA信号进行下变频后,VSA 将基带I和Q路信号收集起来。通过将输出I/Q信号与输入信号相比较,可以确认动态基带AM-AM和AM-PM特性。ADS数字包通过GPIB和IEEE1394接口控制测试系统。ESG为VSA 提供了用于同步的外部触发和参考信号。功率放大器最末级由Freescale的 170 W-PEP LDMOSFET组成的两个推挽放大器并行连接来实现,具有340 W-PEP。 图(2)给出了放大器最末级的图片,其中包括输出端的隔离器和偏置网络。最末级由MRF9045,45W-PEP LDMOSFET驱动。整个放大器链路具有49 dB 的功率增益和54 dBm的饱和输出功率。

图(1)获取输入与输出基带I/Q信号的 测试装置

图(2)放大器的最后形态
基于TDNN的功率放大器建模
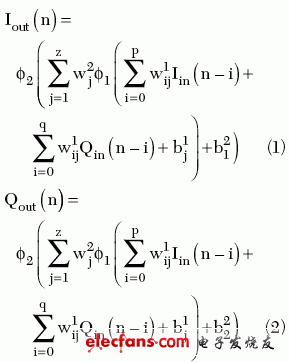
使用实值TDNN设置并对其进行优化,便可以作为一种功率放大器建模方法。部分基带I/Q信号用作TDNN的训练数据。图(3)给出了TDNN的特定结构,包括输入层,隐藏层,输出层和延迟抽头。输出I/Q信号可以用输入I/Q信号,它们之前具有不同多抽头时延的信号,以及激励函数来表示。输出I/Q信号可以用公式表示为:

其中φ1(x)和φ2(x)是激励函数,在试验中它们具有如下的函数表示形式:

功率放大器的非线性特性,即AM-AM 和 AM-PM特性,最初是由无记忆神经网络(没有抽头延时线)建模。随后,抽头延时线一条一条地加入以精确建模具有记忆效应功率放大器的非线性性能。训练过程采用着名的向后传播算法,该算法随着码片数增加最小化训练数据的均方误差。I和Q信号支路的延时抽头数随之增加,最佳抽头数定为5。当延时抽头数超过5,尽管计算量大大增加,仿真结果提高却很小。同样方式,本实验选择5条输入神经元和两条输出神经元。层的数量采用相同的方式最优化。由于多层结构并没有比简单的单层结构表现出明显更好的性能,因此选择了简单单层结构。训练使用一万个样点数据,每次训练引导1000个码片的仿真。训练过程结束后,采用另外80,000个样点测试模型检测该模型能否很好地预测放大器的非线性性能。图(4)比较了80,000个被测样点的时域信号和模型的预测样点。图(5)还给出了被测和预测样点的动态AM-AM(a) 和 AM-PM(b)特性。图示表明测试数据与预测数据几乎精确匹配。

图(3)功率放大器性能建模的TDNN结构


图(4)相对于时间的测试和预测 图(5)测试和预测样点的AM-to-AM (a)
I (a) and Q (b)信号 和 AM-to-PM (b) 特性

图(6)测试与预测的功率谱密度
逆TDNN模型的预畸变过程
在工作过程建模中,使用TDNN结构的逆训练方式来建立线性器。在提取了放大器的线性增益之后,功率放大器模型的输出I/Q信号,用于TDNN作为逆模式下的输入I/Q数据。该逆TDNN模型也被训练用于最小化功率放大器输入与输出数据均方误差。功率放大器前端使用经过良好训练的神经网络对I/Q信号进行预畸变,并最终线性化功率放大器。该过程称为间接学习。图(7)给出草图。整个建模和线性化过程在图(8)流程图中给出。使用测试基带I/Q采样的部分值,神经网络初始配置为包括一个隐藏层而没有延时抽头,然后运行后向传播算法提取模型初始参数,后向传播算法在流图中缩写为BP。初始化运行之后,加入一个延时抽头,并再次运行BP。这个过程不断重复,直到获得非常好的仿真结果,或者迭带次数超过任意常数k(在本试验中为5次)。如果重复的次数超过k次,则增加隐藏层的数量。当获得很好建模结果后,建模过程结束同时相位线性化开始;即测试数据与建模数据之间良好匹配。
在流程图的下半部分给出了一个将逆TDNN模型最优化成预畸变器的非常相似的过程。训练使用了5个延时抽头,5个输入神经元和2个输出神经元,这与功率放大器模型相同。训练过程持续1000个码片周期。为了验证训练的正确性,采用基带I/Q信号的80,000个抽样值加到训练过的神经网络。为了验证TDNN优越的性能,使用了无延时抽头的传统神经网络执行相同的间接学习过程,这种网络对于和记忆效应相关的非线性不具有补偿能力。图(9)给出并比较了带有延时抽头和不带延时抽头的神经网络预畸变器的PSD。对于WCDMA下行链路信号,可以观察到具有抽头延时的神经网络预畸变器获得高于15 dB的补偿,而没有延时抽头的神经网络预畸变仅能获得2到3dB的补偿。在5 MHz偏移处可以获得约65 dBc的ACLR。对于CDMA2000信号,在有抽头时和没有抽头时的性能提升分别为近似20 dB和小于10 dB。

图(7)使用基于间接学习过程逆TDNN建模的数字预畸变方案原理图

图(8)建模和线性化过程流程图

图(9)下行链路 WCDMA (a) and CDMA 2000 (b) 信号的PSD
结论:
使用人工抽头延时神经网络对功率放大器进行性能建模能够在强记忆效应下有效地预测功率放大器复杂的非线性特性。使用这种性能模型和建模技术,开发了一种使用间接学习过程的数字预畸变线性化电路,并对其进行了测试,以对3GPP基站功率放大器线性化。整个建模和线性化过程进行了有效的组织和描述。给出了线性化的系统流图,包括性能建模,模型验证和使用间接学习过程检验模型并构建预畸变器。与使用传统神经网络的线性化电路相比,基于TDNN的线性化电路显示出更好的仿真结果,这是由于它能够处理记忆效应。当使用TDNN预畸变器时,下行链路WCDMA信号可以获得高于15dB的补偿。然而没有抽头延时的预畸变器,仅可以获得2到3dB的性能提升,这些表明对于3GPP系统的大功率放大器TDNN预畸变器有优秀的线性化性能,而记忆效应的补偿对功率放大器的建模和线性化非常重要。
