1 传感器的结构及工作原理
压电式加速度传感器又称压电加速度计。它也属于惯性式传感器。它是利用某些物质如石英晶体的压电效应,在加速度计受振时,质量块加在压电元件上的力也随之变化。当被测振动频率远低于加速度计的固有频率时,则力的变化与被测加速度成正比。
常用的压电式加速度计的结构形式如图1。S是弹簧,M是质块,B是基座,P是压电元件,R是夹持环。图1(a)是中央安装压缩型,压电元件—质量块—弹簧系统装在圆形中心支柱上,支柱与基座连接。这种结构有高的共振频率。然而基座B与测试对象连接时,如果基座B有变形则将直接影响拾振器输出。此外,测试对象和环境温度变化将影响压电元件,并使预紧力发生变化, 易引起温度漂移。图1(b)为环形剪切型结构简单,能做成极小型、高共振频率和加速度计,环形质量块粘到装在中心支柱上的环形压电元件上。由于粘结剂会随温度增高而变软,因此最高温度受到限制。图1(c)为三角剪切形,压电元件由夹持环将其夹牢在三角形中心柱上。加速度计感受轴向振动时,压电元件承受切应力。这种结构对底座变形和温度变化有极好的隔离作用,有较高的共振频率和良好的线性。
压电传感器简介" border="0" height="243" src="//www.ninimall.com/files/images/2012/01/06/2de43552-155c-46e7-aca2-6693836a42c5.jpg" width="422" />4
图1 压电式加速度计的结构形式图
就其结构特点而言,压缩式压电传感器(加速度计)第三种结构形式与前两种相同,原理也相同,所不同的是其敏感元件的安装方向倒置了。所以,对于同一加速度输入,其响应极性正好相反,即轴向灵敏度的方向相反。前两种型式的传感器结构如图2。

图2 压缩式电传感器结构图
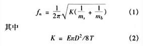
它们由预紧弹簧、惯性质量、压电晶体片、垫片、连杆、锁紧螺母、壳体和基座等组成。当固定在被测物体上的传感器随物体运动时,其惯性质量块产生惯性作用力作用在压电晶体片上,压电晶体片产生与此作用力成比例的变形,由于压电晶体片的压电效应,便产生与压电元件变形成比例的电荷,此信号由输出端引出。在此传感器中,压电晶体片既是敏感元件又是弹性元件。一般把压电晶体片看成无质量的弹簧。惯性质量块为绝对刚性。预紧弹簧与垫片的质量均忽略不计。所以该传感器可简化成单自由度系统,见图3,其固有频率为:

式中: K为圆板形压电晶体片的刚度;ms为惯性质量块的质量;E为压电晶体片的杨氏模量;D为压电晶体片的直径;t为各晶体片的厚度;mb为传感器基座和壳体的质量。

图3 压缩式电传感器原理图
m-惯性质量;s-弹簧;b-基座
所谓压电传感器的轴向灵敏度就是在一定条件下其指定的电输出量与轴向指定的机械输入量的比值,即:

检查灵敏度幅值线性度时,传感器灵敏度的方向性可根据外加轴向机械运动的方向而定;若外加运动使惯性块惯性力方向指向传感器的基座时,输出灵敏度方向为正向,若外加运动使惯性质量块的惯性力方向背向传感器基座时,输出灵敏度为负向。例如将压电传感器固定在跌落冲击台的上安装台面时,在冲击时产生的灵敏度为正向,若将压电传感器固定在其下安装台面时,冲击时产生的灵敏度为负向。而对于倒置中心安装式传感器的灵敏度刚好相反。
2 正反向灵敏度的比较
所谓幅值线性度检查是在规定的加速度范围内检查传感器的灵敏度随不同加速度的变化情况。幅值线性度可以采用谐振梁法和冲击法进行检查。冲击法比谐振梁法可达到的最大加速度值高得多,现介绍冲击法试验的情况。
把被检定的压电传感器先后固定在G-1000型冲击装置的冲锤台面上或下面,当检查正向灵敏度时,将传感器正向固定在冲锤之上;当检查负向灵敏度时,则将它反向固定在冲锤之下。压电传感器的输出信号均经同一台B8K2626型电荷放大器放大归一化,然后由同一台2606型测量放大器再放大并指出峰值,因而排除了二次测量仪表的不同而产生的影响。该冲击装置在某一高度多次跌落冲锤时产生的加速度重复性较好;由于压电式加速度计的质量差异不大,在安装一只加速度计的情况,对于同一跌落高度,不同传感器对冲锤加速度的影响可忽略不计。通过测试发现,在同一跌落高度,当改变被测传感器时,冲击加速度的增长(或持续)时间也不变。因此只采用改变冲锤跌落高度的方法控制冲击加速度幅值。
加速度幅值线性度可根据最小二乘法计算,其值为:

式中:So为截距;S为在加速度为a时的灵敏度。
对于几种加速度计的测试结果示于表1。可以发现,对不同的压缩式传感器,其灵敏度幅值线性度各不相同。当输入加速度值较小时,加速度计的幅值线性度、重复性和稳定性都较好;当输入加速度值较高时( 大于1 000 m/s2),这些性能变差。对于同一只传感器,其正向与反向灵敏度有差异,发现有两方面的问题 : (1)当输入加速度幅值不太高时,传感器的正向灵敏度可以大于也可能小于其反向灵敏度,随不同的传感器而异;(2)当输入加速度幅值较大时,传感器的正向与反向灵敏度的差值随之增加。当加速度幅值增加到某个量值时,其反向灵敏度出现“饱和现象”,即再继续增加输入加速度幅值时,传感器的灵敏度变化不大或无变化。此时的输入加速度幅值称为“饱和加速度(as)”。不同的传感器as值也不同。实验发现,我国生产的压缩式传感器的as普遍较低,所以其反向加速度的测量范围也较小。相反,当输入加速度幅值增大到一定程度时,传感器的正向灵敏度不正常,甚至会导致传感器损坏,这时的输入加速度幅值称为“失效加速度(a f)”。一般情况下,|af|>|as|,从af到-as的区间称为传感器的测量加速度范围。

表1 几种加速度计的测量结果
3 压缩式压电传感器的正反向灵敏度的幅值线性度问题的分析
压电传感器是一种利用压电效应进行机电能量转换的变换器。因为它具有若干优点,所以被广泛地应用于机械结构的振动与冲击参量的测量。压电传感器基本上有压缩式、剪切式和弯曲式3种形式。衡量这种传感器的参数有数个,其中主要是灵敏度。按照一般检定规程规定,要求采用冲击法和谐振梁法检查传感器灵敏度的幅值线性度;但各种标准规定不够确切,只是泛指幅值线性度。实质上是指检查正向灵敏度的幅值线性度。但是对于有正负极性的二次指示仪表,测量高g(1g=10 m/s2)值振动以及需要反向安装传感器的冲击情况(即测量负脉冲冲击加速度),若仅仅检查传感器的正向灵敏度幅值线性度是不够的,还应检查其“反向灵敏度线性度”,以便使传感器得出正确的测试数据。在我国,压缩式压电传感器的使用和生产量较大,为此,谈谈压缩式压电传感器的正反向灵敏度的幅值线性度问题。
压缩式压电传感器的灵敏度与其对输入加速度的响应情况有关。实际上,传感器是多自由度系统,可等效为图4所示的系统。影响系统响应的因素很多,如预紧弹簧、惯性质量、压电晶体片、垫片、连杆、基座 、锁紧螺母等的几何尺寸、结构形式、材料性质有关。对于给定的传感器,这些因素就固定了。则某个传感器正反向灵敏度的差异及反向灵敏度的“饱和现象”主要与传感器零件的加工情况、工艺水平及组装方法有关。

图4 压电传感器的等效示意图
m-惯性质量;P-压电晶体片
S-弹簧;W-垫片;B-基座
3.1 正反向灵敏度的差异
这主要由各部件间的接触刚度的不同和变化引起的。实际上,压缩式压电传感器的作用原理如图4所示 。其刚性元件与弹性元件均不处于理想状态,它们相互之间存在一种接触刚度。由于各个部件加工的光洁度不同,紧固螺纹不同以及压电晶体片表面金属膜的厚度、均匀度、光洁度不同,由于装配过程安装部件的相对位置不同及安装力矩的差异,所以各部件间的接触刚度不同。这种接触刚度直接影响压电传感器系统的有效刚度。因而使各个压缩式传感器的灵敏度幅值线性度不一样。
接触刚度比预紧弹簧的刚度大得多,当外加加速度很小时,它的作用不明显,致使传感器的正反向灵敏度的幅值线性度基本相同;当外加加速度很大时,接触刚度开始起作用,又因为接触刚度是非线性变化的物理量,因而使传感器的线性变差,而且使其正反向灵敏度的幅值线性相差较大。可以推知,这种接触刚度也会影响传感器的长期稳定性。
3.2 “饱和现象”
这主要是预紧弹簧的预紧力不足造成的。弹簧经过调整后,若预紧弹簧对惯性质量块施加的预压力为f ,当传感器受到轴向动态加速度作用时,则压电晶体片受到的合成压力为:

式中:m为等效惯性质量(包括预紧弹簧、垫片及压电晶体片自身的质量)。当正向安装时,的符号为正。当反向安装时,的符号为负。所以,当传感器基座向上加速运动时,惯性质量块有向下运动的趋势,因而产生一个指向基座的惯性力,使压电晶体片上的压缩力增大;相反,当传感器基座向下加速运动时 ,惯性质量块有向上运动的趋势,产生背向基座的惯性力,则使压电晶体片上的压缩力减小。由式(5)可以看出 ,对于反向安装的情况,当 =f时,F≤0,压电晶体片的压缩力不存在,它只承受自身负载的作用,所以出现了“饱和现象”。
要想增大“饱和加速度”的数值,就得加大对预紧弹簧的预紧力。预紧弹簧对惯性质量块的静态预压力必须远远超过传感器基座在冲击振动过程产生的最大动态应力。可是,此预紧力不能无限增高。由式(5)可知,若增加预紧力,则在正向安装的情况,压电晶体片所承受的压缩力提高,相对地说,只有使动态应力值减小才能使传感器保持相同的强度,所以降低了“失效加速度”的数值,这个静态预紧力通过试验方法确定 。
鉴于上述分析可以看出,当被测加速度的动态范围很大时,压缩式压电传感器的幅值线性度变差;被测加速度超过1 000 m/s?2时,正向与反向加速度灵敏度存在一定的偏差。对于要求测量反向冲击加速度值的传感器,必须进行反向灵敏度幅值线性度的检定,以减小测量误差。检定规程对压电加速度的幅值线性度规定比较严格,对于压缩式传感器而言,实质上是指正向灵敏度,若想兼顾反向灵敏度就会超差,为此应对其反向灵敏度的幅值线性做专门的补充规定。
参考文献
[1]黄继昌,徐巧鱼,张海贵,传感器工作原理及应用实例[M]北京:人民邮电出版社1998.
[2] 雷玉堂,王庆友,光电检测技术[M]北京:中国计量出版社1997
[3]栾桂冬,张全铎,王仁乾。压电换能器和换能器阵[M]北京:北京大学出版社,1990.
[4]王矜奉,姜祖桐,石瑞大。压电振动[M]。北京: 科学出版社,1989.88-136.
[5]孙宝元,张贻恭?压电石英传感器及动态切削测力仪[M]北京:计量出版社,1985.
[6]唐纳德 L,哈孟德著;潘景程译。石英晶体片元件设计导论[M]北京:宇航出版社,1987.
[7]张国忠,赵家贵,检测技术[M]北京:中国计量出版社1998
