0 引言
氧是维持人体组织细胞正常功能、生命活动的基础。人体的绝大多数组织细胞的能量转换都是在氧的参与下完成的。所以,实时监护人体组织中氧的代谢及运输过程,可以间接获得细胞的代谢状态,在生命科学的研究领域有重要的意义。
要了解人体组织中氧的代谢及运输过程,即掌握动脉血管内的血氧运输代谢情况,人们通常采用两种有效实用的方法。第一种方法:直接采集人体动脉血样进行血气分析。它包括血液的pH,PO2,PCo2的测定值,还包括经计算求出的血氧饱和度等参数,但这种方法是有创测量,且对血液标本采集有一些限制要求,不能作为实时监护的方法。第二种方法:利用无创血氧测量技术来检测动脉血氧饱和度。它是利用近红外光在组织中血红蛋白氧合状态不同时具有独特的光吸收谱特征来检测组织血氧饱和度。
传统的无创血氧仪器通过光电检测传感器采集透射过血液组织中脉动光强信号,经过固定增益放大和滤波后送入单片机进行数据处理得出血氧饱和度值。本文设计了基于C8051F020单片机配合可控数字电位器实现增益自动调节的无创血氧饱和度测试仪,解决了个体差异对血氧信号的影响,有效地提高了血氧饱和度的精度。
1 检测原理
无创血氧饱和度的检测原理是根据Beer-Lambert定律,引出分光光度法进行物质定性分析和定量分析。根据这个理论基础,由氧合血红蛋白与还原血红蛋白对不同波长色光的吸光度不同和血氧饱和度的定义,推导出动脉血管中的血氧饱和度计算公式。
根据朗伯-比尔定律可以得出单色光透过某均匀溶液后透射光强I与溶液诸参数的关系是:
![]()
式中:E表示该溶液对某特定单色光的吸光系数;C表示该溶液的浓度;D表示光透过溶液所经光程长度。
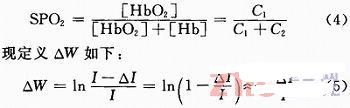
若定义吸光度A为:
A=ln(I0/I)=ECD (2)
假如均匀组织为血管,当动脉血脉动时,D将有一个△D的改变,此时透射光I也将有一个△I的改变,此时吸光度A的改变△A为:
△A=ln[I/(I-△I)]=EC×△D (3)
根据医学定义,由于含氧血红蛋白和还原血红蛋白处于同一血液溶液中,他们的含量之比即为浓度之比,这样血氧饱和度为:

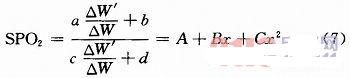
式中:△W即为该色光光电信号的交直流成份之比,由以上表达式再根据数学变换,当有两路光源透射过手指后最终可以推出血氧饱和度的计算表达式为:

式中:Ei表示不同物质的吸光系数,对于一定波长和一定组织成分而言,Ei是确定的常量。将上式写为如下形式,并展开成二阶泰勒级数为:

只要测量出色光光电信号的交直流成份之比△W’/△W与标准血氧计测量的血氧饱和度,利用最小二乘法二次曲线拟合技术,确定常数A,B,C就可以得到血氧饱和度经验公式。
2 系统硬件设计
根据血氧饱和度的测量原理,基于C8051F020单片机的血氧饱和度测量仪的组成结构参见图1。该系统的基本工作过程是由单片机产生的时序控制信号,交替驱动两个光二极管分时照射手指,将光电接收器输出的信号通过放大滤波处理后送入单片机进行数据处理并计算出血氧饱和度。

2.1 探头电路
无创血氧饱和度的探头是由两个不同波长(红光、红外光)的发光二极管、一个光电接收器组成。探头部分的电路如图2所示。C8051F020单片机产生时序控制信号,交替驱动红光和红外光二极管作为测量信号。由于红光和红外光是分时驱动的,所以测量信号可以共用同一信号通道进行放大和滤波,而不会相互产生干扰,避免了双通道传输中由于通道特性不相同而引起的误差。
2.2 I/V转换电路
I/V转换电路的作用是将光电接收器接收的光电流信号转换成与透射光强成正比的电压信号,由于实际检测的光电流很小,反馈电阻大小取20MΩ,同时两端并联一个小电容形成积分电路,可以进一步减小输入电流噪声。实际电路如图3所示。另外由于光电流很小,容易受外界干扰,所使用的运算放大器必须具有高输入电阻、低的偏执电流和低的电压噪声,ADI公司出品的AD795能满足上述要求,实现电流到电压的精确转换。

2.3 滤波电路
由AD795送出的血氧信号通常带有不同程度的高频干扰,需要进行低通滤波进一步滤出检测过程中产生的高频噪声。考虑到使用二阶滤波电路结构简单,并且具有良好的频率特性,因此采用了巴特沃斯低通滤波器进行低通滤波,该滤波电路的截止频率为23 Hz。其电路如图4所示。信号通过该滤波器后,能有效地提高信噪比,抑制噪声。

2.4 自动增益电路
信号经过滤波以后,进入自动增益环节。自动增益电路由同向比例放大电路构成,其电路如图5所示,与固定增益放大不同的是:在运放的反向端和输入端跨接的不是普通电阻,而是通过总线控制的数字电位器X9241,每片X9241内置四个电位器,每个电位器由64个电阻串联而成,通过数字接口控制电阻触点的开关实现滑动端的滑动,从而改变了反馈电阻的阻值,实现了反馈电阻64级可调。该环节克服了个体差异造成的血氧信号只通过固定放大倍数后影响了测量精度的缺点,实现了了增益自动调节的目的。
3 系统软件设计
血氧检测模块软件包括A/D采样和数据滤波、自动增益调节、血氧饱和度计算,其流程图如图6所示。定时器每隔10 ms产生一次中断控制发光二极管分时发光,然后对光信号进行A/D采样和数据处理,只要能测量出光电信号的交直流成份之比,就能计算出血氧饱和度。

4 实验结果
为了检验所设计的无创血氧饱和度有效性,用该仪器与国际著名的BCI脉搏血氧监护仪对20名实验人群进行了血氧饱和度的对比检测,图7给出线性拟合曲线。这一对比实验结果表明:血氧值在94%~99%的范围内,相关系数为0.989 5,说明两者测试结果基本相同,本检测仪器能够准确反映血氧饱和度结果。

5 结论
血氧饱和度是一项非常重要的生命体征指标,在临床监护和抢救危重病人时具有重要参考作用。本文研制的血氧饱和度测量系统是基于C8051F020芯片,有效利用血红蛋白对红光与红外光的吸收特性,并通过自动增益控制解决了个体差异对测量信号的影响,实现了对人体无创、实时监测功能。该系统结构稳定、功耗小、成本低,为临床测量提供连续有效的监测信息,适用于临床测量与研究,具有广阔的应用前景。
