摘 要: 研制了以虚拟仪器技术为核心的动平衡测试与分析系统。介绍了基于LabVIEW图形化编程语言及NI公司的声音振动工具包和PCI-4472数据采集卡组成的动平衡测试系统的设计方法。
关键词: 动平衡;虚拟仪器;LabVIEW;数据采集卡
在现代工程技术领域中,动平衡测试分析已成为旋转机械工程中的一个重要环节。目前所用的大部分动平衡仪器仍属于传统仪器,虽然已取得了良好的效果,但仍存在某些不足[1]。为适应现代动平衡的需要,提高测试精度,本文将虚拟仪器技术、数字信号处理技术与动平衡技术相结合,利用图形化编程软件LabVIEW及声音振动工具包和NI公司的PCI-4472数据采集卡组建了基于虚拟仪器技术的动平衡测试系统。将动平衡测试技术的开发重点由过去硬件设计转向数字化测量的软件设计。
1 动平衡测试原理
刚性转子总可以在不与转子重心相互重合、同时与转子轴线的2个校正平面上,加上(或减去)适当重量来达到动平衡[2]。转子旋转时支架上的轴承受到了“不平衡量”的压力(包含着“不平衡量”的大小和相位信息)。动平衡测试系统的结构如图1所示,在动平衡系统的转子支撑点两端各有1个速度传感器用以拾取转子的振动信号,而在转子一侧的光电传感器是用来获取相位基准以及转速信息。3路信号送入数据采集卡后上传至上位机对信号进行处理,通过一定的解算,得到所需校正量的大小和相位,据此就可以实现对转子的不平衡校正。

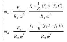
将2个振动传感器安装在两支撑处,则转子不平衡振动信号经传感器转换成电压信号,经数据采集卡送入虚拟仪器软件进行分析处理。两校正量的大小为[3]:
式中,FL、FR为不平衡质量产生的离心力;R1、R2为不平衡质量的校正半径;ω为转子转速;fL、fR为两支轴承上承受的动压力;A、C为左、右校正平面至左、右支承轴承间的距离;B为左、右校正平面之间的距离。
![]()
其中,K为传感器的灵敏度;VL、VR为左、右传感器的输出。
2 动平衡测试系统设计
该测试系统要实现对测试对象振动数据的采集、对采集的数据进行滤波,通过PCI总线传输到计算机上,利用LabVIEW软件对数据进行分析和处理。如图2所示,测试系统分为硬件和软件2个部分。硬件部分主要实现数据采集和数据传输功能;软件部分主要实现对数据的分析、处理、显示和计算功能。

2.1 测试系统硬件
转子系统的动平衡测试技术主要是通过转子振动信号的峰值与相位,从而获取转子系统不平衡量的大小和相位信息的技术。本文设计的动平衡测试系统的硬件部分由数据采集模块、左右支撑测振传感器和相位测量光电传感器组成。其中,数据采集模块使用的是美国NI公司生产的基于PCI总线的PCI-4472数据采集卡。该卡是一种性能优良、高精度的适用于PC机模拟输入的数据采集卡。它有8个差分模拟输入通道,每个通道最大采样率为102×4 ks/s,24 bit采样分辨率,±10 V的电压范围,可以用模拟和数字2种触发方式进行数据采集[4],可应用于声音信号处理和分析、音频测试、振动和模态分析等一些需要高精度信号采集的场合。PCI-4472可以保证实现仪器的功能、精度和可靠性,为用户提供功能灵活、性价比高的虚拟仪器和更好的硬件平台。
本系统采用的硬件驱动程序是NI公司自带的驱动程序MAX,同时MAX还是一个管理软件,可以用来设置数据采集任务。当被测转子旋转后,安装在左、右2个支撑架上的速度传感器将包含不平衡信息的2路电压信号输出到PCI-4472数据采集卡的2个信号输入端,与此同时,安装在转子上方的光电传感器产生与转子同频同相的参考信号,通过数据采集卡输入到计算机。
硬件部分主要完成数据采集功能并将采集到的数据传输到计算机中。由于该部分使用的是NI公司的数据采集卡,所以在与上位机通信时无需再编写相应的驱动程序。在该设计中,数据采集卡共采集2个振动传感器测量的2个转子的振动量和1个光电传感器测量的转速的3路信号。在数据采集卡的数据采集方式上,为了保证较小的平衡相位误差采用了锁相环技术,实现信号的同步整周期采样。由于由转子的不平衡量所产生的振动信号与转子的旋转速度同频,而转子的转动速度并不是恒定不变的,因此,如果采用定时器进行定时采样,用快速傅里叶变换求频谱,会造成较大的误差,尤其是相位误差,而锁相环的特点是可以使输入信号与输出信号的相位始终保持一致,频率保持一定的倍数关系。这样,在转子的一端选定一个基准点,通过光电传感器每圈输出1个脉冲,将此脉冲整形放大倍频之后进行采样,就实现了同步的整周期采样,将采集到的信号进行处理后可以极大地降低相位误差。
数据采集卡通过整周期采样所获得的数据已经包含了振动信号的幅值、相位及平衡转速信息。由采集卡获得的数据通过PCI总线上传至PC机,由上位机的LabVIEW程序做进一步的分析、处理和解算,从而得到有关转子的不平衡量的大小、相位以及转速等信息并进行显示。
2.2 测试系统软件
本测试系统软件开发工具使用的是中文版LabVIEW8.2及声音振动工具包(Sound and Vibration Toolkit)。LabVIEW是目前公认的一种开发虚拟仪器较好的软件平台。声音振动工具包将LabVIEW做出了进一步拓展[5],简化了许多声音和振动测量的应用开发。本工具包拥有声音和振动工具,包括了典型的音频测试、声学测试、振动分析、机器状态控制等功能。利用LabVIEW进行程序的开发包括2个主要部分:(1)前面板即用户界面的设计;(2)源代码框图程序的设计。前面板的用户界面是用户和计算机之间进行交互的桥梁,LabVIEW提供了功能强大的用于前面板设计的控件并且分门别类地放在控件模板中,可以使用它们设计出简洁美观、操作方便的用户界面。
计算机通过数据采集卡采集3路信号,由虚拟仪器进行前置处理、频谱分析、校正平面之间的分离解算,最终算出左右两面的不平衡(g)、校正角度(°)、以及实测转速(r/min)。仪器主界面如图3所示。

程序框图则是实现前面板功能的图形化源代码。前面板的所有功能如基本参数的设置、启动系统的采样、分析处理振动信号及两校正平面上的不平衡量等都需要通过后面板的程序设计来实现,整个程序的流程框图如图4所示。

2.2.1 数据采集
数据采集模块主要是用来对数据采集各种参数的控制,如采样数、采样速率、通道选择等的控制,完成信号从传感器到计算机的通信。LabVIEW7.1以后新增加了Express VI[5],Express VI封装了一些常用的功能,用户只需在其属性对话框对其进行简单的设置即可无需再通过编程实现其功能。该模块使用了Express VI中的DAQAssistant来设置数据采集卡。DAQAssistant完全以菜单形式驱动,不需要任何编程并且大大减少了测量的时间,只需简单的鼠标点击即可完成创建和配置数据采集的任务。虽然Express VI简单方便但也缺少一些功能和灵活性,由于它的属性只能在对话框中设置,所以不能实现人机交互设置。因此,想要实现人机交互设置就必须把Express VI转变为标准VI。通过转换用户就可以在前面板交互式地配置采样方式、采样频率、采样点数等数据采集参数,而不需要在MAX中设置。
2.2.2 数据分析
该模块包括频域分析等与动平衡直接有关的转速、基频检测和相关处理等。其操作界面如图5所示。这一模块主要是为了让用户详细了解数据分析过程。
滤波器窗口:显示滤波后的曲线,如图5(a)所示。在数据采集的过程中不可避免地要参杂一些干扰噪声信号,这些干扰信号不利于对原始信号的分析。本系统根据转速变化比较平稳、振动比较频繁等特点,采用了声音振动工具包中的逆切比雪夫带通滤波器(Inverse Chebyshev Band—Pass Filter),由于控制转速为600~8 000 r/h,所以采用了三阶逆切比雪夫带通滤波器,其上下限截止频率可设为5~160 Hz,可使测量的幅值尤其是相位更加正确、稳定。

频谱分析图:显示FFT变换左右支撑振动信号的幅值谱,结果如图5(b)所示。频谱分析中使用最普遍的FFT变换。根据动平衡机平衡与不平衡时振动速度信号的频率谱差别查找不平衡时频谱中振动信号的谱峰。在该模块设计中使用了声音振动工具包中的“SVT FFT Spectrum.vi”。在工具包中包含了比较综合的多种专用于音频和振动信号的频谱分析VI,其参数表基本上囊括了进行频谱分析的所需要的所有参数。
实际偏心量分布图:自动检测时,动态显示每次测试的偏心量的变化情况,如图5(c)所示。
实际相位分布图:自动检测时,动态显示每次测试的偏相位角的变化情况,如图5(d)所示。
2.2.3 结果计算与保存
该模块主要完成不平衡量大小和相位的计算及结果的保存。通过在前面板中的参数设置,根据动平衡测试原理即可求出不平衡量的大小和相位。而数据存储使用了LabVIEW中Express VI“写入测量文件”,在该VI弹出的设置对话框中可以选择文件的存储格式、文本文件类型、二进制类型和带XML的二进制类型,用户可以根据不同目标选择所要存储的类型。本系统选择了文本文件类型。
3 实验结果
为验证系统的性能,在DPH-I智能动平衡机上对转子进行了平衡实验。平衡前在2 400 r/min转速下测得转子的校正面上,不平衡量的最大值为51 g,在相同转速下进行动平衡后,测得转子的不平衡量减小到2 g以下,同时可以感觉到振感明显减轻。
测试结果体现了测试过程便捷、测试数据精度较高的特点。在测试过程中,实现了数据采集、数据分析、结果显示都由计算机自动处理的功能,减少了人工的干预,大大提高了测试的准确性。
虚拟仪器技术是计算机技术与仪器技术深层次结合的一门新兴技术,在开发测试系统时具有其他开发工具所不具备的优势,其图形化编程模式可以大大提高软件的开发速度,而且是专门针对测试系统所开发的软件,因此具有强大的数据分析、数据控制和数据表达能力,更重要的是它以PC机和数据采集卡为通用硬件平台,较之传统仪器更加易于维护,并且成本大大降低。在通用硬件平台确定之后,其功能主要是由软件实现测试,而不像传统仪器那样主要是由硬件决定,比较容易实现技术的更新和功能的扩展。因此,将虚拟仪器应用于动平衡测试系统,可以使整个系统有较高的精度、缩短开发时间、降低成本。提高编程效率,并且具有良好的使用效果,系统易于维护和实现功能的扩展和升级,具有较好的发展前景。实验表明,利用 LabVIEW 开发的本系统较为完美地完成了对不平衡量大小和相位的求解。
参考文献
[1] 周井玲,吴国庆.基于LabVIEW的振动采集系统开发[J]. 微计算机信息,2004,20(9):3-6.
[2] 唐治宏,刘景能,黄炳琼,等.基于LabVIEW的便携式动平衡测试系统研究[J].装备制造技术,2007(6).
[3] 齐家敏,李智利,汪正祥.基于LabVIEW的动平衡测试系统设计[J].微计算机信息,2007(10).
[4] Nationnal Instruments Corporation.NI 4472 user manual.2001.
[5] National Instruments Corporation. LabVIEW 7 express
sound and vibration toolkit user manual.2004.
