光电检测技术从原理上讲可以检测一切能够影响光量和光特性的非电量。它可通过光学系统把待检测的非电量信息变换成为便于接受的光学信息,然后用光电探测器件将光学信息量变换成电量,并进一步经过电路放大、处理,以达到电信号输出的目的。然后采用电子学、信息论、计算机及物理学等方法分析噪声产生的原因和规律,以便于进行相应的电路改进,更好地研究被噪声淹没的微弱有用信号的特点与相关性,从而了解非电量的状态。微弱信号检测的目的是从强噪声中提取有用信号,同时提高检测系统输出信号的信噪比。
1 光电检测电路的基本构成
光电探测器所接收到的信号一般都非常微弱,而且光探测器输出的信号往往被深埋在噪声之中,因此,要对这样的微弱信号进行处理,一般都要先进行预处理,以将大部分噪声滤除掉,并将微弱信号放大到后续处理器所要求的电压幅度。这样,就需要通过前置放大电路、滤波电路和主放大电路来输出幅度合适、并已滤除掉大部分噪声的待检测信号。其光电检测模块的组成框图如图1所示。

2 光电二极管的工作模式与等效模型
2.1 光电二极管的工作模式
光电二极管一般有两种模式工作:零偏置工作和反偏置工作,图2所示是光电二极管的两种模式的偏置电路。图中,在光伏模式时,光电二极管可非常精确的线性工作;而在光导模式时,光电二极管可实现较高的切换速度,但要牺牲一定的线性。事实上,在反偏置条件下,即使无光照,仍有一个很小的电流(叫做暗电流或无照电流1。而在零偏置时则没有暗电流,这时二极管的噪声基本上是分路电阻的热噪声;在反偏置时,由于导电产生的散粒噪声成为附加的噪声源。因此,在设计光电二极管电路的过程中,通常是针对光伏或光导两种模式之一进行最优化设计,而不是对两种模式都进行最优化设计。

一般来说,在光电精密测量中,被测信号都比较微弱,因此,暗电流的影响一般都非常明显。本设计由于所讨论的待检测信号也是十分微弱的信号,所以,尽量避免噪声干扰是首要任务,所以,设计时采用光伏模式。
2.2 光电二极管的等效电路模型
工作于光伏方式下的光电二极管的工作模型如图3所示,它包含一个被辐射光激发的电流源、一个理想的二极管、结电容和寄生串联及并联电阻。图中,IL为二极管的漏电流;ISC为二极管的电流;RPD为寄生电阻;CPD为光电二极管的寄生电容;ePD为噪声源;Rs为串联电阻。

由于工作于该光伏方式下的光电二极管上没有压降,故为零偏置。在这种方式中,影响电路性能的关键寄生元件为CPD和RPD,它们将影响光检测电路的频率稳定性和噪声性能。CPD是由光电二极管的P型和N型材料间的耗尽层宽度产生的。耗尽层越窄,结电容的值越大。相反,较宽的耗尽层(如PIN光电二极管)会表现出较宽的频谱响应。硅二极管结电容的数值范围大约在20或25pF到几千pF以上。而光电二极管的寄生电阻RPD(也称作"分流"电阻或"暗"电阻),则与光电二极管的偏置有关。
与光伏电压方式相反,光导方式中的光电二极管则有一个反向偏置电压加至光传感元件的两端。当此电压加至光检测器件时,耗尽层的宽度会增加,从而大幅度地减小寄生电容CPD的值。寄生电容值的减小有利于高速工作,然而,线性度和失调误差尚未最优化。这个问题的折衷设计将增加二极管的漏电流IL和线性误差。
3 电路设计
3.1 主放大器设计
众多需要检浏的微弱光信号通常都是通过各种传感器来进行非电量的转换,从而使检测对象转变为电量(电流或电压)。由于所测对象本身为微弱量,同时受各种不同传感器灵敏度的限制,因而所得到的电量自然是小信号,一般不能直接用于采样处理。本设计中的光电二极管前置放大电路主要起到电流转电压的作用,但后续电路一般为A/D转换电路,所需电压幅值一般为2 V。然而,即使是这样,而输出的电压信号一般还需要继续放大几百倍,因此还需应用主放大电路。其典型放大电路如图4所示。
该主放大器的放大倍数为A=l+R2/R3,其中R2为反馈电阻。为了后续电路的正常工作,设计时需要设定合理的R2和R1值,以便得到所需幅值的输出电压。即有
![]()
3.2滤波器设计
为使电路设计简洁并具有良好的信噪比,设计时还需要用带通滤波器对信号进行处理。为保证测量的精确性,本设计在前置放大电路之后加人二阶带通滤波电路,以除去有用信号频带以外的噪声,包括环境噪声及由前置放大器引人的噪声。这里采用的有源带通滤波器可选通某一频段内的信号,而抑制该频段以外的信号。该滤波器的幅频特性如图5所示。图5中,f1、f2分别为上下限截止频率,f0为中心频率,其频带宽度为:
B=f2-f1=f0/Q
式中,Q为品质因数,Q值越大,则随着频率的变化,增益衰减越快。这是因为中心频率一定时,Q值越大,所通过的频带越窄,滤波器的选择性好。

有源滤波器是一种含有开云棋牌官网在线客服三极管、集成运算放大器等有源器件的滤波电路。这种滤波器相对于无源滤波器的特点是体积小、重量轻、价格低、结构牢固、可以集成。由于运算放大器具有输人阻抗高、输出阻抗低、高的开环增益和良好的稳定性,且构成简单而且性能优良。本设计选用了去处放大器来进行设计。
本设计选用了去处放大器来进行设计。
图6所示的二阶带通滤波器是一种二阶压控电压源(VCVS)带通滤波器,其滤波电路采用有源滤波器完成,并由二阶压控电压源(VCVS)低通滤波器和二阶压控电压源高通滤波器串接组成带通滤波器。
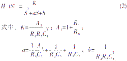
对于第一部分,即低通滤波器,系统要求的低通截止频率为fc,其传递函数为:

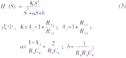
第二部分为高通滤波器,系统要求的高通截止频率为fc,其传递函数如下:

4 完整的检测电路设计
本光电检测系统设计的完整电路如图7所示。为方便表示,电路中的R2、R3即为前面等效电路模型中的RT、RF。前级部分由光电转换二极管与前级放大器组成,这也是光电检测电路的核心部分,其器件选用高性能低噪声运算放大器来实现电路匹配并将光电流转换成电压信号,以实现数倍的放大。然而,虽然前级放大倍数可以设计得很大,但由于反馈电阻会引入热噪声而限制电路的信噪比,因此前级信号不能无限放大。

5 结束语
本文研究了光电检测系统的原理和设计方法。通过从经济和实用的角度对相关的光电转换器件和前置放大器进行了选择和电路设计,从而确定了关键元器件的参数。实际使用证明:该设计可以满足一般光电检测场合的需要。
