文章在分析无源光网络及其主干保护系统的基础上,为了提高保护倒换的效率,提出了一种无源光网络主干保护系统中的提前测距方法。该方法主要通过主用OLT 在主用通道上测距,备用OLT 在备用通道上被动侦听测距响应及其到达时间。通过测距信息、测距响应及到达时间便可计算出备用通道的测距结果。文章还提出了提前测距方法在无源光网络主干保护系统的实际应用中所涉及的主备OLT 之间的信息交换和时间同步、测距过程发起、测距结果更新等具体措施。
关键词:无源光网络;主干保护;提前测距
1 无源光网络及测距技术
无源光网络系统通常由光线路终端(OLT)、光网络单元(ONU)和光分配网络(ODN)组成。其中ODN 通常为点到多点结构,主干光纤通过分光器连接多个分支光纤,而一个OLT 则通过ODN 连接多个ONU。即OLT 连接ODN 的主干光纤,ONU 连接ODN的分支光纤,如图1 所示。

无源光网络系统在上行方向上(即从ONU 到OLT)采用时分复用(TDMA) 的接入方式。在实际工程部署过程中,各个ONU 与OLT 之间的光纤长度一般也并非完全相同,各个ONU 发送的信号到达OLT 所需的时间也有可能不同,因此各个ONU 的上行发送时间起点存在差别,发送的信号可能在分光器处发生碰撞。无源光网络系统采用测距技术,通过测量OLT 和ONU 之间的逻辑距离,并根据逻辑距离来调整ONU 的上行发送时间,使得各个ONU 与OLT 的逻辑距离显得一样长,而且使上行发送时间起点一致,从而避免了TDMA 接入时多个上行ONU 信号在分光器处发生碰撞。

无源光网络系统的测距基本原理如图2 所示,OLT 在T 1 时刻向ONU发送测距请求,ONU 收到测距请求后再经过一定的响应时间、必要延迟后,则向OLT 发送测距响应,OLT 在T 2 时刻收到ONU 发送的测距响应。T 2 和T 1 之间的时间差包含下行传输延迟、ONU 响应时间、ONU 必要延迟、上行传输延迟,因此通过这些参数可以计算出OLT 和ONU 之间的测距结果。
在国际电信联盟远程通信标准化组织(ITU-T) GPON/XG-PON1[1] 系统中,测距结果表现为环路延迟(RTD),它由下行传输延迟、ONU 响应时间、上行传输延迟组成,见公式(1)。
RTD=T 2 -T 1 -T rd(1)
在美国电气和电子工程师协会(IEEE) EPON/10GEPON[2] 系统中,测距结果表现为环路时间(RTT),它由下行传输延迟和上行传输延迟组成,见公式(2)。
RTT=T 2 -T 1 -T resp-T rd (2)
2 无源光网络主干保护技术
为了提高无源光网络的生存性和可靠性,ITU-T G.984.1[1]定义了一种Type B 保护方式,即主干保护系统,如图3 所示。主干保护系统对OLT和分光器之间的主干光纤进行保护,并提供两条互为冗余的主干光纤及两个相应的OLT:一条主干光纤及相应的OLT 处于正常工作状态,该OLT称为主用OLT;另一条主干光纤及相应的OLT 处于备用状态,该OLT 称为备用OLT。当主用主干光纤或者主用OLT 出现故障时,无源光网络系统则会进行保护倒换,备用主干光纤及备用OLT 成为主用主干光纤和主用OLT。因主干保护系统的性价比较高,得到运营商的关注较多,并且实际部署也较多。

在主干光纤保护系统中,主用OLT 和ONU 之间的通道称为主用通道,备用OLT 和ONU 之间的通道称为备用通道。由于主用通道和备用通道存在距离和特性上的差别,主用OLT 和备用OLT 之间也存在工作特性的差别,因此发生保护倒换后,一般需要调整或者重新计算各个ONU的测距结果。该过程涉及到复杂的带宽分配以及冲突解决等问题,所需时间往往较长,较难保证无源光网络所承载业务的服务质量(QoS)。另一方面,由于主用OLT 和备用OLT 下行采用相同波长,在主用OLT 正常工作的情况下,备用OLT 下行不能发送信号,因此备用OLT 则无法按照测距的基本原理对各个ONU 动态实时地进行测距。
3 主干保护系统中的提前测距
在无源光网络主干保护系统中,虽然备用OLT 在下行方向不能发光,但是在上行方向与主用OLT 同样采用相同的波长,可以被动接收ONU发送的光信号,并可以解析出相应的消息和数据。文章利用该特点,提出了一种对备用通道进行提前测距的方法,通过备用OLT 主动侦听上行光信号、解析上行消息和数据,并与主用OLT 互相配合,计算出备用OLT 和各个ONU 之间备用通道的测距结果。提前测距的基本原理如图4 和图5 所示。下面以ITU-T GPON/XG-PON1 为例描述备用通道的提前测距过程:
(1) 在T 1 时刻,主用OLT 向ONU发送测距请求。
(2) ONU 收到测距请求后,经过一定的响应时间及必要延迟后,在上行方向发送测距响应。
(3) 在T 2 时刻,主用OLT 收到ONU 发送的测距响应,并计算出主用通道的测距结果,见公式(3)。

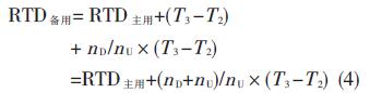
(4) 在T 3 时刻,备用OLT 收到ONU 发送的测距响应。由图4 和图5可以看出,上行方向ONU 发送的测距响应到达备用OLT 和主用OLT 之间的时差为T 3 -T 2,考虑上下行波长的差别,下行方向主用OLT、备用OLT 与ONU 之间的传输延时之差为n D /n U ×(T 3 -T 2),因此备用通道的测距结果见公式(4)。

按照同样的过程可以计算出,IEEE EPON/10GEPON 中备用通道的测距结果如公式(5)。

公式(4)、(5)中n D 为下行波长折射参数,n U 为上行波长折射参数。在ITU-T GPON/IEEE EPON 系统中n D =n 1490 =1.4682,n U =n 1310 =1.4677,在ITU-T XG-PON1/IEEE 10GEPON 系统中,n D=n 1577 =1.4686,n U= n 1270 =1.4677。主用OLT 或者备用OLT 获得备用通道的测距结果之后,可以将该测距结果更新到ONU 中,或者保存在备用OLT 中,发生保护倒换后ONU 或者新成为主用的OLT 可以直接利用该测距结果而无需对ONU 进行重新测距,这样则可以节省保护倒换的时间并提高保护倒换效率。
4 提前测距在主干保护系统中的实际应用
文章提出的无源光网络主干保护系统中提前测距方法,在实际应用中还需考虑一些问题。

(1) 提前测距过程的发起与协调
文章中无源光网络主干保护系统中的提前测距过程是由备用OLT和主用OLT 互相配合完成的,在实际应用中需要发起提前测距的过程,可以通过以下一些方式实现:
.由主用OLT 发起提前测距过程,并通知备用OLT 启动提前测距过程,同时向ONU 发送测距请求。
.由备用OLT 发起提前测距过程,并通知主用OLT 启动提前测距过程,同时主用OLT 则会向ONU 发送测距请求。
.由网元管理系统(EMS)/网络管理系统(NMS) 发起提前测距过程,并通知主用OLT 和备用OLT 启动提前测距过程,同时主用OLT 向ONU 发送测距请求。
当由主用OLT 计算测距结果时,主用OLT 主动向备用OLT 获取信息(如T 3),并在计算完成后向备用OLT发送信息(如RTD 备用);当由备用OLT计算测距结果时,备用OLT 主动向主用OLT 获取信息(如RTD 主用、T 2),并在计算完成后向主用OLT 发送信息(如RTD 备用);当由第三方计算测距结果时,由第三方主动协调主用OLT和备用OLT 之间的信息交换(包括RTD 主用、T 2、RTD 备用、T 3)。
(2) 主用OLT 和备用ONU 间的信息交换主用OLT 和备用OLT 之间应该能够实现信息交换,例如,公式(4)、(5)中的T 2、T 3 分别在主用OLT 和备用OLT 中记录,它们在同一个等式中用于计算,并需要主用OLT 和备用OLT互相交流T 2、T 3;再如主用OLT 和备用OLT 在完成备用通道测距后还需交换测距结果。主用OLT 和备用OLT 之间的信息交换可以通过以下方式实现:
.若主用OLT 和备用OLT 之间存在直接的通信通道,则可以定义相应的消息接口以实现交换相关信息。
.若主用OLT 和备用OLT 之间不存在直接的通信通道,则可以通过其他设备或者系统(例如网管系统)来协调实现主用OLT 和备用OLT 之间的信息交换。例如,网管系统可以先从一个OLT 读出相应的信息再发送给另外一个OLT。
(3) 主用OLT 和备用OLT 间的时间同步
在备用通道的测距结果计算过程中,由于需要计算测距响应到达主用OLT 和备用OLT 的时间之差,而测距响应的到达时间是主用OLT 和备用OLT 分别记录的,因此主用OLT 和备用OLT 之间的时间应该同步。
若主用OLT 和备用OLT 之间存在通信通道,则主用OLT 和备用OLT之间可以直接进行时间同步。主用OLT 和备用OLT 的时间也可以都同步于某个共同设备或系统。由于无源光网络系统是用户接入设备,其上游还有汇聚交换设备或者系统,主用OLT 和备用OLT 的时间可以都同步于一个这样的设备或者系统。另外无源光网络系统一般都配置有相应的网管系统,因此主用OLT 和备用OLT 的时间可以都同步于网管系统。主用OLT 和备用OLT 之间的时间同步,或者主用OLT 和备用OLT 与共同设备或者系统之间的时间同步可以通过IEEE 1588 协议[3] 实现。备用通道测距结果的计算误差见表1。

其中,△ 表示IEEE 1588 时间同步机制本身的误差,根据IEEE 1588协议,该误差在亚微秒量级,由于该误差仅存在与主用OLT 和备用OLT之间,因此该误差对所有ONU 都是一样的。假设△ ≈ 1 us,当主用OLT和备用OLT 之间可以直接通过IEEE 1588 进行时间同步,则备用通道测距结果的误差为2 us;当主用OLT 和备用OLT 分别通过IEEE 1588 时间同步于第三方设备时,备用通道测距结果的误差为4 us,都在无源光网络主干保护系统的容忍范围内。
(4) 备用通道测距结果定期更新
主用OLT 和备用OLT 获得备用通道测距结果后,保护倒换不一定会立即发生,随着时间的迁移,ODN 可能会受外界因素的影响而发生变化,因此之前获得的备用通道测距结果可能会慢慢变得不准确。因此在保护倒换发生之前,备用通道的测距结果需要进行定期更新。备用通道的测距结果可以通过以下几种方式进行更新:
.主用通道的测距结果也并非一成不变,当主用OLT 检测到主用通道的测距结果发生变化并必须更新时,备用通道的测距结果随着更新。
.主用OLT 和备用OLT 互相配合并周期性地更新备用通道的测距结果,如果考虑到节能,更新的周期可以长一些,例如每天更新一次;如果希望备用通道的测距结果提高准确度,则可以将更新的周期设置的短一些,例如每小时更新一次。
.通过EMS/NMS 手工或者定期发起备用通道测距结果的更新。
5 结束语
文章所述的无源光网络主干保护系统提前测距方法,可以在主用OLT 正常工作的情况下,通过备用OLT 侦听上行信号、主用OLT 和备用OLT 互相配合来动态实时地完成备用OLT 对ONU 进行的测距,也就是说备用OLT 可以根据需要随时对ONU进行提前测距,因此备用OLT 在保护倒换完成并成为主用OLT 时可利用事先完成的测距结果而无需对ONU重新进行测距,这样能够有效实现快速保护切换,进而能够保证承载业务的QoS。文章所述的方法已经分别被ITU-T G.sup51[4]和IEEE 1904.1[5]标准所采纳。
6 参考文献
[1] ITU-T Rec G.984.1. Gigabit-Capable Passive Optical Networks (GPON): General Characteristics[S].2008.
[2] IEEE Std 802.3. Carrier Sense Multiple Access with Collision Detection (CSMA/CD) Access Method and Physical Layer Specifications[S].2008.
[3] IEEE 1588. Standard for a Precision Clock Synchronization Protocol for Networked Measurement and Control Systems[S].2002.
[4] ITU-T G.Sup51. PON Protection Supplement to ITU-T G-Series Recommendations[S].2012.
[5] IEEE P1904.1. Standard for Service Interoperable Ethernet Passive Optical Network [S].2009.
