1GHz以下频带短距离无线系统设计要点
来源:电子元件技术
摘要: Bluetooth、WLAN、ZigBee等短距离无线技术之装置(SRD)日益增加,本文将锁定使用全球不需执照授权的1GHz以下频带进行详细介绍,并分析跳频展频(FHSS)、直接展频(DSSS)等不同宽带调变技术,以及各国相关现行做法,提供1GHz以下频带无线系统设计者最佳开发导览。
Abstract:
Key words :
Bluetooth、WLAN、ZigBee等短距离无线技术之装置(SRD)日益增加,本文将锁定使用全球不需执照授权的1GHz以下频带进行详细介绍,并分析跳频展频(FHSS)、直接展频(DSSS)等不同宽带调变技术,以及各国相关现行做法,提供1GHz以下频带无线系统设计者最佳开发导览。
SRD无线系统设计需考虑频率选择
短距离装置(SRD)此一名称所涵盖的,是能够提供单向或双向通讯,且几乎不会对其他无线电设备造成干扰的各类无线电发射器。我们很难将所有SRD的应用完整列出,因为它们提供了太多不同的服务,其中较为受欢迎的应用包括有:
家庭遥距控制(Telecontrolforhome),或是其它建筑物自动化系统
无线感测系统
警报器
汽车,包括遥控免钥匙门禁与遥控汽车启动
无线语音及视讯
SRD无线系统的设计者在选择无线通信频率上需要格外小心。在大多数的情况下,此选择被侷限于频谱中容许免执照使用的那些部份,而前提是必须符合使用上的特定规格与条件。表一所列为全球可使用的频带。
无线感测系统
警报器
汽车,包括遥控免钥匙门禁与遥控汽车启动
无线语音及视讯
SRD无线系统的设计者在选择无线通信频率上需要格外小心。在大多数的情况下,此选择被侷限于频谱中容许免执照使用的那些部份,而前提是必须符合使用上的特定规格与条件。表一所列为全球可使用的频带。
全球频率分配

表一.全球SRD频率分配
2.4GHz频带被设计者普遍使用来建构能够全球使用的各种系统,事实上,该频道已经成为Bluetooth、WLAN及ZigBee等标准的不二选择。5.8GHz的频带也已吸引不少的注意,举例来说,像是无线电话或是WLAN的802.11a版本等。
然而,对于同时需要较大范围及较低功耗的系统而言,低于1GHz的频带由于其较低的共存性(co-existence)问题与较大的传送范围,仍是有其必要性的,因为此两者都会影响到功耗,而功耗对于以电池供电的应用而言是一个非常重要的考量。
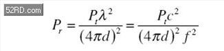
低频发射器传送范围的改善,可以用简化版的Friis传输方程式来表示,此方程式提供了接收天线上存在的功率Pr与供给发射天线的功率Pt两者之间的关系:

此方程式中假设两支天线有一致的增益,它可显示出,对于一固定的发射功率Pt而言,接收到的功率会随着距离d的平方,以及频率f的平方而降低(或是随着波长λ的平方而增加)。当接收的功率低于能正确解调变信号所须的最小功率(即所谓的灵敏度点:sensitivitypoint)时,连结便会崩溃。
此内容为AET网站原创,未经授权禁止转载。
