kaiyun官方注册
您所在的位置:首页 > 模拟设计 > 设计应用 > 嵌入式智能矢量天线调谐系统(下)
嵌入式智能矢量天线调谐系统(下)
摘要: 当矢量阻抗测量模块对天线进行测量后,DSP 计算出未知天线的实际阻抗,最后就需要LC 调谐网络进行匹配了。通过电路分析理论可知,要使信号源传送到负载的功率最大,信号源阻抗必须等于负载的共轭阻抗,即:Rs + jXs = RL - jXL 。在这个条件下,从信号源到负载传输的能量最大。另外,为有效传输功率,满足这个条件可以避免能量从负载反射到信号源,尤其是在诸如视频传输、RF 或微波网络的高频应用环境更是如此。
Abstract:
Key words :


② LC 调谐匹配模块

        当矢量阻抗测量模块对天线进行测量后,DSP 计算出未知天线的实际阻抗,最后就需要LC 调谐网络进行匹配了。通过电路分析理论可知,要使信号源传送到负载的功率最大,信号源阻抗必须等于负载的共轭阻抗,即:Rs + jXs = RL - jXL 。在这个条件下,从信号源到负载传输的能量最大。另外,为有效传输功率,满足这个条件可以避免能量从负载反射到信号源,尤其是在诸如视频传输、RF 或微波网络的高频应用环境更是如此。
 

        LC 调谐匹配模块设计时,使用T 型匹配网络进行自动匹配。T 型匹配网络,主要由一系列的调配电容、调配电感和控制继电器组成

        LC 调谐匹配模块的工作原理,DSP56F8323 处理器通过计算得到天线的实际阻抗,计算出天线工作频率下T 型匹配网络的调配电容、调配电感的匹配数值,然后通过I/O 端口输出控制调配继电器,一次性完成匹配过程。

③ DSP 处理器模块

        DSP 处理器使用是Motorola 公司的DSP56F8323 芯片,56F8300 系列被称为“合成控制器”,其含义是该器件采用的是结合了DSP 与MCU 功能的56800E 内核,它以16 位的代码密度实现了32 位的性能,可以替代传统MCU 在32 位系统中的应用。DSP56F8323 内核在指令集中保留了最常用和最有、用的DSP 和MCU 指令集,简化了编程难度,允许习惯于MCU 的设计工程师采用C 编译器进行编程,简化了其DSP 代码的编译。DSP56F8323 内部总线结构是一种经过改进的哈佛架构,拥有7 条内部程序总线和数据总线,其中2 条为32位宽;内部的数据RAM 具有两个端口,因此可在单个周期中进行两次存取,这些特性对于处理器的信号处理能力是非常重要。
 

        DSP 处理器模块主要对矢量阻抗测量模块的测量数据进行处理得到天线的实际阻抗,同时根据实际阻抗调配LC 调谐匹配模块,使天线和电台或信号源匹配。

5.系统软件描述

        系统的软件主要是由阻抗测量计算和天线匹配两部分组成。

软件流程如下:
 

        软件的核心算法是同步检波数字信号处理算法,算法过程说明如下:

        由前面的分析可知,天线阻抗的测试实际上就是反射系数Γ的测量,最终等效为入射电压信号和反射电压信号的矢量电压的测量。在传统测试技术中对于矢量电压比的测量采用模拟同步相位检波器对矢量电压、电流进行正交分解测试,如图所示。
 

        但传统同步检波器中的模拟乘法器存在非线性失真和交流干扰,因此对系统测量精度产生较大的影响。

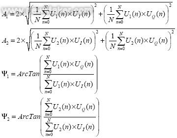
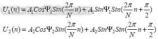
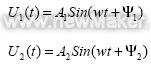
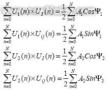
        本系统中使用数字式同步检波法算法进行处理,(详见矢量阻抗测量模块的硬件构成图)将双反射电桥法在激励信号U1(即入射电压)和阻抗产生的响应信号U2(即反射电压)通过同步采样技术转换成数值序列,将响应数值序列U2(n)在由激励数值序列U1(n)构成的正交坐标系中分解,得到响应数值序列的同相分量和正交分量,进而计算出U1 和U2 的幅度比数值和相位差(即矢量电压比值,电压反射系数Γ),通过公式求出测试阻抗的参数值。数字式同步检波算法,具有独特的优点,不产生原理测量误差,测量精度高。

数学原理如下:
 



        A/D 变换将U1、U2 数值化,采样速率为信号频率的N 倍,即每个信号周期采N 个点
 



        数字式同步检波法内部产生一个与采样同步的标准离散正交信号,将它分别与测试信号相乘。
 



        当U1(n)和U2(n)为一个周期的数值序列时(n=0,1,2,…,N)时,对U1(n)*U2(n)和U1(n)*U2(n+pi/2)在一个周期内求和,并由正、余弦信号一个周期内整数倍采样其和为零则得:
 



        即
 



        因此激励信号U1 和阻抗产生的响应信号U2,经过A/D 采样量化后,矢量电压比值为
 



        通过响应数值序列和由激励数值序列求出。

         由以上推导过程可知,数字式同步检波法与A/D 的采样频率和量化精度有关,不产生原理测量误差,测量精度高。

6.结论

         采用Motorola 公司的DSP56F8323 处理为核心的嵌入式智能矢量天线调谐系统,充分利用Motorola DSP56F8323 处理的运算速度快,功能强大,兼有数据信号处理和通用微处理器的功能,天线系统的测量和调配实现了嵌入式、智能化、并将其小型化为一个独立的测试系统,并可以进一步发展付诸应用到软无线电短波电台的嵌入式模块化结构中,将对提高各种车载、机载、舰载短波宽带天线的适应能力,对电台的使用、维护及提高电台的工作效率具有重要意义。
 

此内容为AET网站原创,未经授权禁止转载。
Baidu
map