普通金属波导具有传输损耗小、功率容量大、品质因数高等特点,但是不方便与其它微波毫米波电路集成,制作难度和成本也比较高。微带类传输线由于传输损耗大、品质因数低等因素,限制了电路的性能。基片集成波导是近年来提出的一种新型导波结构,具有低差损、低辐射、高品质因数等优点,可以设计出接近于普通金属波导的微波毫米波滤波器、功率分配器、耦合器和天线。这种新型导波结构能够很方便地与微带、共面波导等其它微波毫米波平面电路集成。
1 理论基础
基片集成波导的结构,如图1所示:两排金属化通孔的中心间距为a,金属化通孔的直径和间距分别为d和p,介质基片的厚度和介电常数分别为w和εr,电磁波在介质基片的上下金属面和两排金属化通孔所围成的矩形区域内以类似于介质填充矩形波导中的场模式传输。

W.CHE等人对普通矩形金属波导和基片集成波导的等效性进行了分析,L.Yan等人提出了基于MOL(Method of Lines)的用于分析基片集成波导传输特性的全波分析方法,并提出了反映普通矩形金属波导和基片集成波导之间等效关系的经验方程

对TMx0n而言,其中:a表示等效矩形金属波导的归一化宽度,即基片集成波导宽度a与其等效的矩形金属波导的宽度之比

由于基片集成波导与普通金属波导具有近似的结构和传输特性,可以采用等效矩形金属波导的模型分析基片集成波导。文中将普通矩形金属波导的并联电感耦合波导滤波器的理论运用到基片集成波导滤波器的设计之中。并联电感耦合波导滤波器是用半波长的波导段作为串联谐振器,用电感膜片的并联电感作为谐振器间的耦合结构。
设计方法:
(1)设仅有TE10单模传输,选定低通原型,实现低通与带通之间的转换。

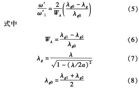
λg0、λgl、λg2、λg分别是在频率ω0、ω1、ω2、ω上的波导波长,Wλ是相对带宽。
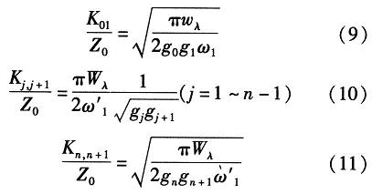
(2)计算出各阻抗变换器阻抗K。

已知这些阻抗变换器阻抗后,即可对电感膜片的尺寸和谐振器的长度进行设计。
(3)从各阻抗变换器阻抗计算出各并联感抗X

(4)根据上面求得的归一化电抗求出各谐振器的电长度和各谐振器的长度。
各谐振器的电长度

(5)由各耦合膜片的感抗和矩形波导膜片电感加载关系曲线求出电感膜片的尺寸。
(6)利用矩形金属波导与基片集成波导的等效关系,通过式(1)~式(4)将普通金属波导并联电感耦合滤波器所得到的设计尺寸转换为基片集成波导结构滤波器的尺寸。
2 设计实例
2.1 基片集成波导与微带过渡的设计
测试基片集成波导器件既不能利用传统测试金属波导的实验装置,也不能利用测试微波毫米波平面电路的实验装置。文中利用基片集成波导易与其他微波平面电路集成的特点,采用微带渐进线,如图2所示,实现基片集成波导与50 Ω微带线的过渡,通过50 Ω微带线实现对基片集成波导滤波器的测试。经HFSS 10仿真优化后,得到如下的过渡尺寸:l=4 mm,w=0.64 mm,d=1.8 mm。

2.2 基片集成波导滤波器的设计
文中设计的基片集成波导带通滤波器参数如下:滤波器的中心频率是9.5 GHz,通带9.1~9.9 GHz(相对带宽8.42%),通带内允许有0.5 dB的波纹,阻带频率分别是8.3 GHz和10.7 GHz,阻带上的最小衰减是40 dB。该滤波器采用9阶切比雪夫并联电感耦合波导滤波器结构,介质基片选用高介电常数基片CER_10(介电常数是9.5,厚度是0.63 mm)。选用高介电常数基片一方面可以有效地减小基片集成波导滤波器的尺寸,另一方面由于高介电常数基片的损耗正切相对较大,也会增加基片集成波导滤波器的插入损耗。
X波段基片集成波导滤波器尺寸如下:

2.3 仿真分析
运用HFSS 10仿真,结果如图3所示。

由仿真结果可知,该滤波器的中心频率是9.5 GHz,带宽是1 GHz,通带内插入损耗是1.9 dB,回波损耗<一20 dB。在阻带频率是8.3 GHz和10.7 GHz的阻带上,阻带衰减>50 dB。
利用惠普8510矢量网络分析仪进行测试,实测结果,如图4所示。由实测结果可知,该滤波器的中心频率是9.58 GHz,带宽是800 MHz,通带内插入损耗是3.8 dB,纹波是0.2 dB,回波损耗<一15 dB,在阻带频率是8.3 GHz和10.7 GHz的地方,阻带衰减>44 dB。实测插入损耗偏高是因为实测插入损耗除了滤波器本身的损耗外还包括一对SMA接头的损耗和微带渐变线过渡的损耗。实测中心频率向高频段漂移了80 MHz,带宽减小了200 MHz,主要是由基片的介电常数不稳定造成的。在频率是14 GHz的地方出现寄生通带是基片集成波导中的高次模相互作用的结果,可以通过调整谐振器的长度使寄生通带远离滤波器通带。加工实物,如图5所示。


3 结束语
文中利用基片集成波导结构设计并制作出了一种X波段中心频率是9.58 GHz、相对带宽是8.35%的9阶切比雪夫并联电感耦合波导带通滤波器。该滤波器在9.18~9.98 GHz的通带范围内表现出了良好的性能。要想获得更理想的结果,除了保证仿真模型和测试方法的准确外,更需要进一步提高加工精度,减小加工误差。
