O.引言
大多数运算放大器电路都是工作在深度负反馈状态,我们在分析此类电路时常采用运算放大器的理想化模型(即利用虚短虚断技术),而事实上这种理想化模型忽略了运算放大器开环增益,输入输出电阻的非理想化给运算放大器电路造成的影响。所以我们用一种更加近似的方法一等效负反馈模型分析运算放大器电路。
1.运算放大器电路的等效负反馈模型
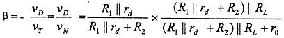
分析图1所示的同相放大器,这是一个典型的负反馈系统,将它等效成图2所示的负反馈电路的基本结构。其中α为该放大器的前向增益,称为该运算放大器电路的开环增益。β为该反馈网络的增益,称为该运算放大器电路的反馈系数。为了求出B,除去全部输入源,切断运算放大器并用它的输入电阻rd和输出电阻r0代替,以保持相同的负载状况。然后,经由r0外加一个测试源vT,如图3所示,求出跨在rd上的差值vD,则

该式容易整理成

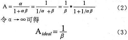
现在来分析图2的负反馈系统。根据控制理论知识可得该系统的闭环增益




将式(1)代入式(3),并令rd→∞ ,r0→0得到理想情况 Aideal=(R1+R2)/R1
这与用理想模型得出的结果是一致的。
对于反相运算放大器电路,可以用同样的方法求得反馈系数,并建立其负反馈电路模型(该模型与同相电路是不同的,因为输入是加在同一个电路的不同点上),从而得出A和Aideal的值。
3.环路增益对运算放大器电路闭环参数的影响
定义环路增益T=αβ,从式(2)知闭环增益可以被表示成下面具有深刻见解的形式:
A=Aideal (1/(1+1/T))
由上式可知,我们在设计运算放大器电路时,应使T越大越好。
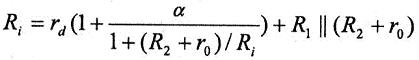
下面运用成熟的运算放大器模型来导出同相闭环输入电阻和输出电阻的表达式。
为了求出Ri,在图4中加测试电压v,求出该测试源的正端流出的电流i, 然后令Ri=v/i。求解得到:


对于足够大的a,可略去最后一项,又在一个精心设计好的电路中,r0<

参照图5,再次运用测试电压技术,同样可以求得


典型的rd是兆欧级甚至更大,R1和R2是千欧级,而r0是百欧级,因此r0/R1,r0/rd和R2/rd可略去,得出

对于反相结构可用同样的方法求得输入电阻跟输出电阻,这里直接给出近似表达式
Ri R1(Rl为信号源与反相端之间的电阻)
R0 r0/(1+T)
3.环路增益对运算放大器电路稳定性的影响
利用负反馈放大电路环路增益的频率特性可以判断电路闭环后是否产生自激振荡,即电路是否稳定。从图2可以看出,在电路产生自激振荡时,

当运放电路环路增益的频率特性T(f)满足上述条件时,运放电路就会产生自激振荡。要使电路稳定工作,必须消除产生自激振荡的条件,此处不做深入探讨。
4.结束语
综上所述,环路增益T在运算放大器构成的负反馈电路中起着核心的作用,对于给定的运算放大器开环增益值α,环路增益T越大,闭环参数越接近理想值,同时T的频率特性还决定了一个运算放大器负反馈电路是否稳定或相反产生振荡。这些对我们在设计运算放大器电路时有重要的参考价值。
