ispPAC" style="color: blue; text-decoration: underline" title="ispPAC">ispPAC简介
自1992年美国Lattice公司推出了系统可编程(In-System Programmabliity)技术,增加了一种与传统数字电子系统不同的设计和实现方法。在1999年底,Lattice公司又推出了系统内可编程模拟电路,又开辟了一种模拟电路设计方法的新思维,为电子设计自动化(EDA" style="color: blue; text-decoration: underline" title="EDA">EDA)技术开拓了更为广阔的前景。
同数字系统内可编程大规模集成电路(ispLSI)一样,它使设计者用开发软件在计算机中设计、修改,并能进行电路特性模拟,最后通过下载电缆将设计下载至芯片中。
系统内可编程器件可以实现三种基本功能:(1)信号调整;(2)信号处理(3)信号转换。信号调整主要是对信号进行放大、衰减、滤波。信号处理是人才济济对信号进行求和、求差、积分运算。信号转换是把数字信号转换成模拟信号。目前已推出了三种器件:ispPAC10、ispPAC20和ispPAC80。它的开发软件为Lattice公司的PAC-Designer。
系统内可编程模拟电路具有可模拟信号进行放大、转换、滤波的功能,是通过器件内的多个功能块的互联并能对电路进行重构以达到能调整电路的增益、带宽和阈值。编程次数可达1万次。其内部结构及电路如图1、2所示。


IspPAC10器件的结构由四个基本单元电路(PAC)、模拟布线池、配置存储器、参考电压,自动校正单元和ISP接口所组成。器件用5V单电源供电。基本单元电路称用5V单电源供电。基本单元电路称为PAC块(PAC block),它由两个仪用放大器和一个输出放大器所组成,配以电阻、电容构成一个真正的差分输入/差分输出的基本单元电路,如图2所示。所谓真正的差分输入/差分输出是指每个仪用放大器有两个输入端,输出放大器的输出也有两个输出端。电路的输入阻抗为10 9,共模抑制比为69dB,增益调整范围不-10~+10倍。PAC块中电路的增益和特性都可以用可编程的方法来改变,器件可配置成1~1万倍的各种增益。输出放大器中的电容CF有128种值可供选择。反馈电阻RF可以断开或连通。器件中的基本单元可以通过模拟布线池(Analog Routing Pool)实现互联,以便实现各 种电路的组合。
每个PAC块都可以独立地构成电路,也可以采用级联的方式构成电路,以实现复杂的模拟电路功能。例如,各个PAC块作为独立的电路工作,图4(b)为四个PAC块级联构成一个复杂的电路。利用基本单元电路的组合可进行放大、求二阶有源滤波器" style="color: blue; text-decoration: underline" title="滤波器">滤波器和和梯型滤波器,且无需在器件外部连接电阻、电容元件。
滤波器的实现
在一个实际应用的电路系统中,它的输入信号往往受干扰等因素,会含有一些不必要的噪声成分,应当把它衰减到足够小的程度,从而达到把我们需要的信号从输入信号源中分离出来。而为了解决上述问题,我们可以采用有源滤波器来实现。
下面介绍一下如何用在系统可编程模拟器件实现滤波器的设计方法。通常我们可以用三个运算放大器来实现双二阶型函数的电路。双二阶型函数能实现各种滤波器函数,如低通、高通、带通、带阻等。双二阶函数T(s)的表达式如下,式中m=1或n=1或0:
![]()
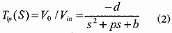
由于这种电路的灵敏度相当低,所以电路容易调整,而且这种电路的另一个显著特点是只需要附加少量的元件就能实现各种滤波器函数。这里我们以低通函数滤波器的实现为例,说明设计的整个过程。例如,低通滤波器的转移函数Tlp(s)如下:
![]()
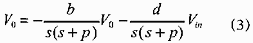
整理后获得:
![]()
取b=k1k2,式(3)可以改写成如下形式:
![]()
其等效的方框图如图3:

从方框图中的函数中不难看出,系统可以分别用反向器电路、积分电路、有损积分电路来实现。把各个运算放大器电路代入图3的方框图中即可得到以下的实现电路,如图4所示。

现在我们已不再需要利用电阻、电容、运放搭电路,然后才调试电路。现在完全可以利用系统内可编程器件方便地实现此电路。ispPAC10就能够实现方框图中的每一个功能块,PAC块可以对两个信号进行求和或求差,k为可编程增益,电路中把k11、k12、k22设置成+1,把k21设置成-1。因此一个三运放的双二阶型函数电路可以用两个PAC块就能实现。在开发软件PAC-Designer中使用原理图输入方式,把两个PAC块连接起来,电路如图5所示。

电路中的CF是反馈电容值,Re是输入运放的等待电阻,其值为250KΩ。两个PAC块的输出分别为V01和V02。可以分别得到两个表达式,即带通函数表达式和低通函数表达式。
系统内可编程模拟电路的开发软件PAC-Designer中含有一个宏单元,专门用于滤波器的设计,根据我们的设计要求算出对反馈电容,电阻和电路增益等参数,然后在电路图编程环境下进行电路布线、修改其相应的参数值,系统的设计工作就基本完成。为了检验设计能否达到理想要求,开发软件中还有一个模拟器仿真工具,用于滤波器的幅频和相频特性的仿真。如仿真的结果达到要求,则就可以通过下载电缆直接下载到ispPAC10器件中,整个设计工作完成。否则修改其参数,到仿真结果满意为止。
结论
用ispPAC-Designer设计模拟滤波器极其方便,用一台PC机就可以代替通常的示波器,扫频仪和面包板,便工作效率得到很大提高,并且可以根据用户的需要对系统作出调整而无须对PCB" style="color: blue; text-decoration: underline" title="PCB">PCB板作出任何改动,只须通过软件在PC机中进行重新设计和性能仿真,然后下载到芯片中即可。整个工作在数小时内就能完成。
