对于经验丰富的电路设计人员来说,他们都知道滞环控制功率转换器的稳定性取决于输出电容器的等效串联电阻(ESR)。假如ESR太小,那么输出电压纹波将会变得较大,并且会对开关信号产生相移。虽然均化和线性化技术在设计与分析固定频率的PWM功率转换器上已有长足的发展,但对滞环控制功率转换器的解析性分析却乏善可陈。由于工作频率是可变的,因此采用非线性控制理论作分析最适合不过。

图1 滞环控制降压转换器
滞环控制功率转换器的运行可如下简述。以图1中的降压转换器为例,当输出电压VOUT下降低于阈值VREF时,那么开关S1便会开启(S2作为互补工作性质)。相反,当VOUT高于VREF时,那S1便会关闭。这种运作方式与可变结构控制系统类似,它能够依据一个超平面(hyper-plane)来转换控制法则。因此,可变结构控制理论便成为分析滞环控制功率转换器的最佳工具。
分析
为了专注分析RC的影响,这里假设电感器的ESR为零,而开关S1和S2处于最理想的情况。当S1开启时S2便关闭。
(1)
当S1关闭时S2便开启。
(2)
因此,我们可获得,
(3)
当S1开启时D的数值是1,而当S1关闭时那D的数值便是0。此外,当S1是开和关时,
iL=iC+Vout/Rout
iL=CdVC/dt+1/Rout(VC+RCCdVC/dt)
diL/dt=Cd2VC/dt2+1/ROUT(dVC/dt +RcCd2VC/dt2)
代入公式(3),
(4)
超平面的定义如下:
s=VREF-VOUT=VREF-VC-RCCdVC/dt
令e=VREF-VC,de/dt=-dVC/dt,d2e/dt2=-d2VC/dt2
s=e+RCCde/dt (5)
根据滞环控制降压转换器的运作,当S1开启时,D=1,若VOUT
依据可变结构系统的分析,做如下推算。
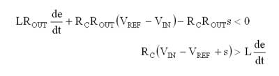
为了获得一个稳定的系统,要求当s>0时,ds/dt<0;当s<0时,ds/dt>0。因此,当s>0时,便可符合ds/dt<0这条件。
(7)
(8)
其中,iC是输出电容器的电流,它在0A的稳态点周围产生纹波。将2ICMAX定为纹波电流iC的峰到峰的最高值。那当s>0时,要获得ds/dt<0的足够条件为:
(9)
同样道理,当s<0时,要获得ds/dt>0的足够条件为:
(10)
结果是RC>max{RCP,RCN}
类推

图2 当RC=50mΩ时的降压转换器波形

图3 当RC=5mΩ时的降压转换器波形
图2和图3分别为滞环控制降压转换器在不同RC下的波形。其中,VIN=8V、VREF=2.5V、L=10μH、C=47μF和ROUT=2.5Ω。对于图2和图3的电路,输出电容器的等效串联电阻RC分别为50mΩ和5mΩ。图中从上而下的曲线分别表示VSW、s、iC和VOUT的波形。图2的波形比较稳定,当S1开启时(当VSW处于高电压电平),s便下跌;相反,当S1关闭时,s便上升。在这情况下,ICMAX等于0.14A,而计算出RC的最小值为11.92mΩ。换句话说,一个50mΩ的RC便可满足要求,从而给出一个稳定的系统。可是对于图3而言,ICMAX等于0.9A,根据计算,得出RC的最小要求为76.59mΩ。很明显地,一个只有5mΩ的RC是不能符合要求的。从图3可看出,s不是在S1开和关后便立即增加或减小,而是稍微延迟了一点时间。结果,输出电压纹波将会明显地增加,从而产生出一个相对VSW的相移。这个现象对于滞环控制降压转换器来说很普遍,尤其当输出电容器的ESR过小时。
结论
根据可变结构控制理论来分析滞环控制降压转换器,得出输出电压纹波的增加和相移是由于输出电容器的过小ESR所致。这也解释了为何ESR较小的陶瓷电容器通常都不会使用在滞环控制降压转换器上。
