文献标识码:B
文章编号: 0258-7998(2014)10-0134-04
0 引言
数字式电子罗盘是利用地磁场来实现指向功能的系统。电子罗盘与传统的自主惯性导航设备相比,具有体积小、成本低、无累计误差、能够高精度指示真北方向等特点。电子罗盘与常规的指针型罗盘相比,具有一些突出的优点,如抗冲击性、抗震性,并且能够对杂散磁场进行补偿,输出电信号,可与其他电子设备集成。系统所采用的磁电阻传感器由坡莫合金制成,这种坡莫合金薄膜的电阻值随外界磁场的变化而变化,传感器具有明显的灵敏轴,可作为集成电路生产,其体积小,响应时间快[1]。因此,采用磁电阻传感器的电子罗盘是磁电子罗盘的发展方向。
本文采用意法开云棋牌官网在线客服(ST)公司的 MEMS 数字集成芯片LSM303DLHC作为测量器件、(ulbox) NEO-6M GPS模块为定位器件、MSP430F149为主控芯片,集成了太阳能供电方式,实现了一种高精度、节能的数字式电子罗盘。
1 方向角计算模型
现实中,数字式电子罗盘并非始终处于水平面上,因此需要用LSM303DLHC中的三轴加速度传感器测俯仰角和翻滚角,通过坐标变换将磁传感器测得的磁场强度分量折算到水平方向,再计算方向角。
俯仰角和翻滚角的计算方法为[2]:加速度传感器的三轴测量输出值为重力加速度在载体坐标系下的三轴分量。当罗盘水平放置、载体坐标系的初始姿态与参考坐标系重合时,其三轴的测量输出值为(测量值经过标准归一处理化):

地磁场矢量H可分解为水平分量Hh和垂直分量Hv,Hh总是指向地磁北极。系统的三轴磁强传感器的测量输出为地磁场矢量在3个测量轴上的分量。当罗盘水平放置时,三轴磁强传感器的X轴测量输出Hx、Y轴的测量输出Hy为地磁场水平分量Hh在两轴上的分解。则水平面时方向角Ψ为:

2 硬件系统结构
系统结构框图如图1所示,以MSP430F149为主控模块,由连接太阳能板的锂蓄电池为电源模块,以数字集成芯片LSM303DLHC为电子指南针模块,以LCD12864液晶屏为显示模块,以NEO-6M GPS为定位模块。

3 测量结构装置
系统测量装置如图2所示,装置固定在装置台上,太阳能模块通过系统支架固定在装置台上,光伏板通过接收阳光给锂蓄电池充电,MSP430单片机接收电子指南针模块的数据和定位模块的数据,经过计算后在LCD12864液晶屏上显示。

4 硬件电路设计
4.1 单片机主控芯片
MSP430是德州仪器公司的具有16位总线、带Flash的单片机,其集成度高,可以在超低功耗模式下工作,可靠性好,加强电干扰运行不受影响,适应工业级的运行环境。其采用16位的总线,外设和内存统一编址,寻址范围可达64 KB,还可以外扩展存储器。此外,具有统一的中断管理和丰富的片上外围模块[3]。
4.2 电子指南针模块
电子指南针模块采用了意法开云棋牌官网在线客服(ST)公司的 MEMS 数字集成芯片LSM303DLHC,该模块内集成了三轴加速度传感器和三轴磁感应传感器,LSM303DLHC芯片线性加速度的测量范围为 ±2 g~±16 g,磁场强度测量范围从±3.1~±8 Gs,LSM303DLHC芯片上的磁感应元件采用基于霍尼韦尔的各向异性磁阻技术,使得芯片在计算精度和功耗上具有很高的优势。当电子指南针模块放置的位置发生变化时,因为地磁场的相对改变,使传感器阻值发生变化,引起电流的变化。电子指南针模块的信号输出端SCL、SDA与单片机P6.1、P6.2端口相连,信号由单片机进行数据处理得到此时的角度,并显示到LCD12864液晶屏上。电子指南针模块原理图如图3所示。

4.3 显示模块
显示模块采用12864液晶屏,该液晶屏功能齐全,操作简单,价格低廉。12864的液晶对比度调节可以通过电位器来调节,PSB是液晶数据传输模式选择位,如果PSB接高电平则液晶工作在并行数据传输模式,如果PSB接低电平则液晶工作在串行数据模式。17脚是液晶的复位端,此端口直接与液晶供电(LCD)相连,上电后液晶模块自动完成复位功能。12864液晶屏原理图如图4所示。

4.4 电源模块
太阳能板可以将太阳能转换成为电能,有阳光时,太阳能板将转换的电能一部分送给主控系统供电,另一部分存储在锂蓄电池中,保证了系统全天候地工作[4]。电源模块供电示意图如图5所示。

4.5 定位模块
ATK-NEO-6M GPS是一款高性能GPS定位模块。该模块采用U-BLOXNEO-6M模组,自带高性能无源陶瓷天线和可充电后备电池。GPS TXD作为模块串口发送脚与单片机的P3.6相连,用于GPS发送数据;GPS RXD模块串口接收脚与单片机的P3.7相连,用于GPS接收数据。
RT9193-33是专为便携式设备的射频和无线应用要求而设计的,具有高精度、低噪音、高速度等特点,兼容低ESR电容,采用CMOS工艺生产的低压差LDO电压调整器,其内部包括参考电压源电路、误差放大器电路、过流保护电路和相位补偿电路。
定位模块通过串口与外部系统连接,串口波特率支持4 800 b/s、9 600 b/s、38 400 b/s(默认)、57 600 b/s等不同速率,兼容5 V/3.3 V单片机系统。ATK-NEO-6M GPS模块电路图如图6所示。

5 电子指南针模块数据校正
由于系统在实际应用中会受到各种磁场的干扰,所以要对磁场传感器测量输出进行误差补偿。设罗盘在水平放置时的磁强传感器 x、y轴的实际输出为(Hbx、Hby),理想状态下磁场水平向量在电子罗盘载体坐标系x、y方向上的磁场强度为(Hx、Hy),则可建立误差补偿模型[2]:

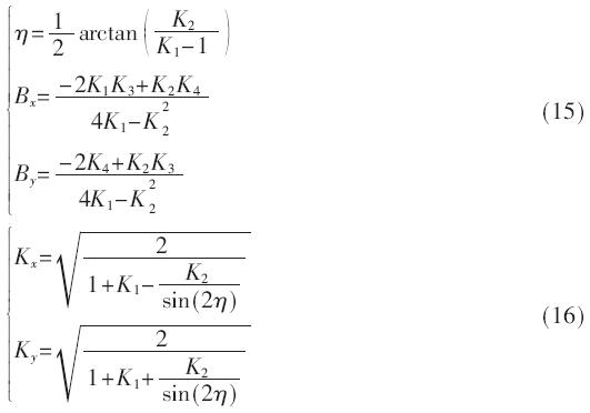
对角矩阵使圆变成椭圆,Kx、Ky分别表示椭圆长短半轴的变化程度;B、By表示椭圆圆心偏离原点的偏移量。误差补偿系数的求解采用最小二乘椭圆拟合[5],根据实际测量输出拟合求解椭圆方程的参数,并进一步解得误差补偿系数,平面任意位置椭圆方程式表示为:

在磁场干扰影响下,水平面内x、y方向的输出曲线为椭圆曲线,利用电子罗盘在x、y方向的M(M≥5)个测量点的测量输出数据(Hxi、Hyi)(i=1,2,3…M)拟合椭圆方程。根据所有测量点到理想椭圆的距离的平方和最小准则来确定椭圆方程系数Ki(i=1,2,3,4,5)[6]以及确定椭圆的离心角η,由椭圆方程系数得到误差补偿系数:

通过K1,K2…K5以及Kx和Ky的确定,利用式(12)~(16)可得出误差补偿后的输出Hbx、Hby,从而计算出方向角。
6 软件设计
系统运用MSP430F149单片机[3,7]作为核心控制部分,通过系统程序实现具体功能,程序流程图如图7所示。程序首先初始化MSP430F149单片机,然后进行方位角的实时采集与显示。

7 实验结果
系统经过软硬件的调试及实验,采用某型号手机上的电子罗盘显示值作为参考方位角与该系统测试的方位角进行对比。实验结果如表1所示。
8 结论
该系统实现了方位角的实时测量与显示,能够比较准确地测量所在位置的方位角,显示出角度值。该系统轻巧便携,适合于船舶导航、野外科研考察等。数字式电子罗盘的应用可以节省一定的人力及财力资源,提高测量的准确度。系统节能环保,性能稳定,具有一定的现实意义和实用价值。
参考文献
[1] 李希胜,王家鑫,汤程,等.高精度磁电子罗盘的研制[J].传感技术学报,2006,19(6):2441-2444.
[2] 高宗余,李德胜.多MEMS传感器姿态测量系统的研究[J].电光与控制,2010,17(3):68-70.
[3] 冒晓莉,杨博,杨静秋,等.基于MSP430单片机的节能型数字调频发射机[J].电子技术应用,2013,39(5):138-140.
[4] 何道清,何涛.太阳能光伏发电系统原理与应用技术[M].北京:化学工业出版社,2012.
[5] 刘诗斌,冯晓毅,李宏.基于椭圆假设的电子罗盘误差补偿方法[J].传感器技术,2002,21(10):28-30.
[6] 秦勇,赵杰,王晓宇,等.基于椭圆拟合误差补偿算法的数字磁罗盘[J].吉林大学学报(工学版),2009,39(2):489-493.
[7] 张秀再,范江棋,杜蒙,等.高压电力线积雪厚度的实时监测系统[J].电子技术应用,2014,40(3):130-136.
