文献标识码: A
文章编号: 0258-7998(2015)02-0156-04
0 引言
应用功率因数校正(PFC)技术时,工作在电流连续模式(CCM)的变换器多应用于大功率的应用场合。这些变换器有很高的功率因数和很快的瞬态响应[1],但在高电压输入轻载输出时,输出电容需要承受很高的电压应力[2]。对于小功率应用,工作在断续模式(DCM)的变换器更为合适,该变换器的电流谐波小,控制环路设计简单,但其峰值电流偏大,开关管与电感都需要承受很大的电流应力和导通损耗。使用峰值电流控制的临界模式(BCM)变换器开关管在电感电流为零时开启,开关管损耗和电磁干扰较小,并且输出二极管不会有反向恢复问题[3-4],相当于DCM模式,工作在BCM模式下的变换器的开关管、电感电流应力和损耗较小。
临界模式PFC建模的难点在于,稳态时开关频率和占空比并不固定,确定电路静态工作比较困难[5],通常采用准稳态近似分析[6]。已有的建模方法中[7-8]分别利用平均开关模型法和对线电压半周期输出功率求平均的方法建立了临界模式模型,但得出的传递函数包含有电压转换比或正弦变化的输入电压这些时变量,这给电压环路设计造成了困难。
本文针对反激PFC变换器,分析它在临界模式下的工作过程,推导出输入电流畸变与电压转换比、输出功率的变化关系式,并且建立了控制量与输出二极管的输出电流iD的约束关系,通过先后对iD在开关周期和线电压半周期平均的方法,分别消去占空比D与正弦输入电压两个时变量,经过线性化后,得到小信号模型。同时,基于建立的模型,设计了控制环路并制作一台30 W反激PFC样机进行验证。
1 临界模式电路的工作原理

图1是反激PFC变换器简化电路。控制电路由乘法器、零电流检测电路和PI调节器等构成。
为了方便分析,对电路进行以下的假设:输入电压为理想的正弦波,经过整流桥后,不会产生损耗和交越失真,输入电压的瞬时值可以表示成vg(t)=Vm|sin(wt)|,Vm为输入正弦波的幅值;变换器的开关频率fs远远大于线电压的频率f2L,在一个开关周期中线电压vg和输出电压v近似恒定,可以认为电路工作在准稳态;变换器电压环带宽选择足够小(fband>>f2L),补偿器的输出在1/2线电压周期内基本不变。
因此变换器的开关周期Ts表达式为:

2 输入电流畸变分析
在稳态时,电感平均电流跟随输入电压变化,则开关周期内电感电流峰值的表达式为:ipk(t)=Ipk|sin(wt)|,其中Ipk是线电压周期内电感电流峰值。输入电流在一个开关周期里的平均值iin与电感电流峰值ipk的关系为:

从图1可以得到电感电流控制函数:

其中,kg为电阻分压器的分压系数,km是乘法器的增益,vctrl是补偿电路的输出。
通常情况下,PFC补偿器带宽较窄,可以认为在一个线电压周期内vctrl近似恒定,等于Vctrl。考虑线电压半周期,输入平均电流的表达式可改写为:

其中,
。显然,变换器的输入电流波形的畸变程度受到大小的影响。
3 小信号模型的建立
为了消除输入电压与二极管电流两个时变量影响,需要建立输入/输出电压、电压环路输出及输出二极管电流约束关系。
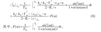
在一个开关周期内,输出二极管上的平均电流的表达式为:

假设vm变化的速度远远低于线电压周期,将式(3)代入式(5)中可以得到控制电压Vctrl、输入峰值电压Vm、输出电压v与二极管平均输出电流iD的关系表达式,并对各变量在线电压半周期内进行平均,可以得到:

计算
解析表达式比较复杂,利用计算机进行计算可以很容易得到满足精度要求的数值解。
为了建立小信号模型,假设输入线电压的峰值、输出电压和控制电压的直流分量远远大于交流分量,即:

将式(7)带入式(6)中,忽略高次项,就可以得到线性小信号表达式:

其中:

利用相同的方法可以得到临界模型Boost拓扑PFC电路的小信号表达式:

其中:

根据式(9)并考虑输出电容串联等效电阻,可以得到的小信号输出电路,如图2所示。

由图2可以得到新功率级和泛音衰减函数:

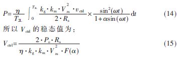
为了进一步确定小信号模型的参数,需要求出稳态Vctrl和km的值。km值是模拟乘法器增益系数,可以从控制芯片的数据手册中得到相关的参数,例如UCC28810中km的大小为0.69。而Vctrl要根据相应的拓扑结构来求解,如反激变换器可以做以下的推导。
假设电路处于稳态:(1)负载固定,输出功率恒定,在线电压半周期内输入的能量等于输出的能量;(2)开关频率fS远大于线电压频率f2L,所以输入电流的瞬时值近似等于一个开关周期内线电流平均值。
由此可得到:

将式(4)代入式(12)得到:

4 电压环路设计与验证
本文设计了一款30 W的反激PFC来研究验证建立的模型,样机使用的电路参数如表1所示。




根据表1参数建立的模型,经过补偿后的波特图如图3所示。其穿越频率为18.3 Hz,相位裕度为88.5°。图4为建立模型的阶跃响应图,响应时间为31 ms。图5(a)为实测电路启动输出波形,图5(b)为去除正弦纹波后启动电压曲线,实测启动时间为30 ms。负载电阻从500 Ω切换为80 Ω时输出电压波形如图6所示,由图中可知输出的响应时间为33 ms。

5 结论
本文针对临界模式PFC电路进行分析建模,通过建立输入/输出电压、电压环路输出以及输出二极管电流等变量约束关系,在半线电压周期内对这些变量作平均化处理,消除输入电压与二极管电流两个时变量影响,进而得到电路的传递函数和小信号等效电路。得到的传递函数和小信号模型表明:由于存在电流内环,电感电流平均值完全受到Ic的控制,故电感电流为非独立变量,而只作为等效受控源存在。所以工作在临界模式下的PFC变换器的小信号模型是一阶电路,且小信号等效电路中不会出现电感。
根据建立的小信号模型设计了补偿电路,并制作了实验样机。从理论仿真与实际电路性能数据对比可知,瞬态响应时间的理论值与实测值比较接近;理论计算中输出电压不会出现纹波,而实际输出中存在100 Hz电压纹波。这是由于建模过程对输出二极管的电路进行了积分,消除了纹波干扰。利用该方法建立的模型为低频模型,但对于环路带宽较窄的PFC电路,该模型可以比较准确地描述电路传递函数的特性,借助该模型可以很好地完成对临界模式下PFC变换器的环路设计。
参考文献
[1] LAI Z,SMEDLEY K M.A family of continuous-conduction-mode power-factor-correction controllers based on the general pulse-width modulator[J].Power Electronics,IEEE Transactions on,1998,13(3):501-510.
[2] DENG W,ZHANG B,HU Z.Analysis of a novel boundary conduction mode(BCM) and voltage control of buck capacitorin single-stage PFC circuit[C].Power Electronics and MotionControl Conference,2004.IPEMC 2004.The 4th International.IEEE,2004,1:126-131.
[3] 杨飞,阮新波,杨洋,等.采用耦合电感的交错并联电流临界连续Boost PFC变换器[J].电工技术学报,2013,28(1):215-224.
[4] 杨飞,阮新波,季清,等.采用耦合电感的交错并联电流临界连续Boost PFC变换器输入差模EMI分析[J].电工技术学报,2013,28(3):202-214.
[5] SUNTIO T.Unified average and small-signal modeling of direct-on-time control[J].Industrial Electronics,IEEE Trans-actions on,2006,53(1):287-295.
[6] CHEN J,ERICKSON R,MAKSIMOVIC D.Averaged switch modeling of boundary conduction mode dc-to-dc converters[C].Industrial Electronics Society,2001.IECON′01.The 27th Annual Conference of the IEEE.IEEE,2001,2:844-849.
[7] KI S K,LU D D C.Implementation of an efficient trans-formerless single-stage single-switch AC/DC converter[J].Industrial Electronics,IEEE Transactions on,2010,57(12):4095-4105.
[8] CHEN J,CHANG J.Analysis and design of SEPIC con-verter in boundary conduction mode for universal-line power factor correction applications[C].Power Electronics Specialists Conference,2001.PESC.2001 IEEE 32nd Annual.IEEE,2001,2:742-747.
