文献标识码: A
文章编号: 0258-7998(2014)12-0089-03
0 引言
无线多媒体传感器网络WMSNs(Wireless Multimedia Sensor Networks)应用前景广阔,但图像视频信号的数据量大,不管直接传输还是进行编码后传输,都需要消耗大量的能量[1-2]。而传统的图像或视频编码复杂度高,亟需一种满足较高的压缩效率同时又降低计算复杂度的算法。近些年,由DONOHO D、CANDES E等人提出压缩感知CS(Compressed Sensing)理论[3-4],这一理论为图像信号的压缩编码提供了新的思路。本文从降低图像处理算法复杂度的角度出发,首先对CS理论和图像传感器节点能耗模型进行分析,然后通过仿真比较基于CS理论的图像压缩算法与JPEG图像编码算法的节点能耗,最后基于CC2530硬件平台完成图像传感节点设计。
1 相关基础理论
1.1 压缩感知编码

基于压缩感知理论的CS-DCT图像编码[5-6]框架如图1所示,在编码端,首先对图像信号X进行宏块划分、DCT变换,生成观测矩阵,与DCT变换后矩阵的线性相乘,得到观测信号Y,并对其进行量化和哈夫曼编码,得到压缩传输的图像D,通过对的设置,可以调整对图像信号DCT系数矩阵的采样率。在解码端,将压缩后的图像D进行哈夫曼解码和反量化,得到测量信号Y′;生成稀疏基?追,求得恢复矩阵S;利用恢复矩阵S和观测信号Y′进行非线性共轭梯度算法重构,得到重构信号,最后对重构信号进行IDCT变换,可以得到解码后的图像信号。
1.2 图像传感器节点能耗模型
多媒体节点数据处理和传输会消耗很大一部分的能量,图像传感器节点是一种具有代表意义的多媒体节点。本设计主要研究CPU处理能耗和数据传输能耗,所以在这里将传感器节点的消耗模型简化为:
EST=Eact+ETx(1)
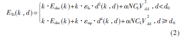
无线通信系统中,发射功率随信号传输距离的增加呈指数衰减。根据信道自由空间(Free Space)模型和信道多径衰减(Multi-path Fading)模型对图像传感器节点进行建模[7]。当信号传送距离为d时,k位数据的发送消耗的能量可用式(2)表示。发送能耗:
![UUT5[)$87_9JU]GFOPUWUXK.png UUT5[)$87_9JU]GFOPUWUXK.png](http://www.ninimall.com/files/images/2015/10/20/6358096458921200004012189.png)
其中,Eelec是收发器线路的能量消耗;在可接受的容错率下,放大器部分的能耗?着fs·d2和?着mp·d4取决于信号的传输距离;一般Eelec=50 nJ/bit,fs=10 pJ/bit/m2,mp=0.001 3 pJ/bit/m4,d0=87 m。
CPU的处理能耗可以近似地表示为:

其中,为电路开关活动因子,CL为负载电容,Vdd为处理器的工作电压,f为处理器的时钟频率,N为完成任务需要的CPU时钟周期数。
2 图像节点编码性能仿真分析
选择JPEG图像编码算法与基于CS的图像编码算法进行对比,图像源选用大小为256×256的标准灰度图像Cameraman进行仿真分析。在Intel双核2.0 GHz、2 GB内存的Windows XP系统平台上,利用MATLAB运行两种编码算法,分别对上述图像进行JPEG编码方案和DCT-CS方案的压缩编码,统计JPEG方案和DCT-CS方案的PSNR、输出码率和编码时间。图像传感器节点能耗分布的特殊,数据的处理和传输都需要消耗大部分的能量,需要对“信号处理”和“无线传输”问题进行折中,这里取处理器能耗和通信传输能耗的总和作为编码方案性能评估标准,将实验数据代入式(3),这里Vdd=1.8 V,CL=0.67 nF,=0.6,可得到不同PSNR下节点编码和传输总能耗,处理器和传输总能耗对比如图2所示。从图中可以看出同JPEG方案相比,采用DCT-CS方案可以降低图像传感器节点数据处理和数据传输的总能耗。

3 图像传感器节点设计
3.1 节点硬件设计
图像传感器节点需要能够对图像数据进行采集、编码和传输,这就对节点硬件的计算能力提出了一定的要求。同时,节点本身能量有限,又需要尽可能地降低节点的能耗。这里选用ARM Cortex-M3核心的STM32F103作为节点的主处理器,STM32F103是具备低成本、低功耗、高性能等特点的微处理器解决方案,具有丰富的资源配置和多种标准的通信接口,其工作频率高达72 MHz,支持多种省电模式[8]。CMOS图像传感器模块具有低功耗、高集成度的优点,选择CMOS摄像头模块可以满足一般图像采集应用的需求,这里选用OmmiVision公司的OV7650 CMOS图像传感器。选择支持ZigBee的CC2530[9]作为无线传输模块解决方案。CC2530与STM32F103之间通过SPI总线通信,节点硬件框架如图3所示。

3.2 节点软件设计
选择?滋C/OS-II操作系统作为节点的软件系统平台,首先进行系统软件平台的搭建,根据节点的硬件选型和需要的通信总线,完成?滋C/OS-II操作系统和硬件驱动程序的移植工作。在系统软件的基础之上进行应用软件设计,完成图像数据的采集,基于DCT-CS编码的软件设计,通过SPI总线接口将编码够后的数据传输到CC2530。图像采集和编码程序基本流程如图4所示,首先系统完成CPU硬件资源的初始化,配置相应的控制器和端口,初始化摄像头驱动程序,通过I2C总线接口完成摄像头的基本配置工作,设置图像采集窗口大小、图像输出格式等。然后初始化系统缓存,用于图像的采集和编码数据的存储,初始化C/OS-II系统任务并启动操作系统,系统中主要任务有图像采集任务、图像编码任务和图像转发任务。

4 结论
文章首先提出多媒体传感器节点的能耗问题,然后对节点能耗模型和基于CS的图像编码方案方案进行基础理论分析。用实验仿真的方法对比JPEG方案和CS方案的编码性能,实验结果表明,CS方案确实可以节省节点能耗。根据以上理论研究和实验仿真结果,结合实际应用场景的分析,分析图像传感器节点硬件平台的计算能力、节点能耗及传输带宽需求,围绕这几点对节点进行软、硬件设计。下一步将对多节点协作的图像编码算法进行研究,综合考虑图像采集节点和中继节点的能耗问题,提高整个网络的生存周期。
参考文献
[1] 沙超,孙力娟,王汝传,等.无线多媒体传感器网络中能量高效的采样与传输方法[J].通信学报,2011(2):1-10.
[2] 熊哲源,樊晓平,刘少强,等.面向无线多媒体传感器网络的JPEG 2000图像编码算法[J].传感器与微系统,2012(1):55-58.
[3] DONOHO D.Compressed sensing[J].IEEE Transac-tions on Information Theory,2006,52(4):1289-1306.
[4] DONOHO D,TSAIG Y.Extensions of compressed sensing[J].Signal Processing,2006,86(3):533-548.
[5] 潘榕,刘昱,侯正信,等.基于局部DCT系数的图像压缩感知编码与重构[J].自动化学报,2011(6):674-681.
[6] 张淑芳,李凯,徐江涛,等.基于压缩感知的图像自适应编码算法[J].天津大学学报,2012(4):319-324.
[7] 高妍.无线传感器网络节点能耗建模与仿真[D].哈尔滨:哈尔滨工业大学,2010.
[8] 孙顺远,秦会斌,崔佳冬,等.?滋COS-Ⅱ在CortexM3内核上的移植及优化[J].计算机系统应用,2010(4):208-211.
[9] 任珍文,黄玉清.基于CC2530的无线传感器网络监控平台[J].电子技术应用,2012,38(10):122-125.
