文献标识码: A
DOI:10.16157/j.issn.0258-7998.2015.10.018
中文引用格式: 蔡鄂,李东明,胡亚斌,等. 基于MEMS的远程桥梁索力监测系统设计[J].电子技术应用,2015,41(10):68-70.
英文引用格式: Cai E,Li Dongming,Hu Yabin,et al. Design of remote bridge cable force monitoring system based on MEMS[J].Application of Electronic Technique,2015,41(10):68-70.
0 引言
拉索是现代桥梁中承担桥梁荷载最重要的构件,控制着整个桥梁结构的应力分布和线形[1]。在环境激励如大地脉动、风雨等作用下引起的拉索振动,导致拉索索力分布发生改变,因此对拉索桥的拉索进行索力监测至关重要。基于振动和冲击方法的索力测量方法是目前使用振动传感器测量拉索索力中广泛使用的一种方法[2-3],但是这种基于有线通信方法的测量方案的成本较高,而且在一些大跨度的桥梁环境中,进行有线通信布置的困难日益突出。在工程结构使用过程中,柔性拉索结构往往由于腐蚀和振动等原因受到损害,导致拉索的索力松弛。拉索是张拉结构的重要构件,在使用过程中遭受的损害将会给大跨度结构带来灾难性后果。受损的拉索索力发生变化从而影响结构应力分布,因此整个桥梁结构的索力分布可以用作衡量结构状态健康与否的重要指标。在工程施工期和运营期,都有必要实时监测索力变化。基于此,本文提出基于MEMS和WiFi的索力监测系统。该系统可以利用振动法实现在线桥梁拉索的振动基频识别并计算索力大小,解决了传统有线监测无法快速组网监测、快速接入互联网的缺陷,提高了系统的稳定性,实现在线、快速的拉索索力监测。
1 基于振动与冲击的频率法测索力原理
基于振动与冲击的频率法是根据拉索自由振动时张力与频率之间关系进行间接测量,通过测定拉索的固有振动频率,反演计算拉索的内部张力。拉索自由振动的微分方程为:

其中:t为振动发生的时刻,x表示沿索向的坐标,y=y(x,t)为拉索在t时刻垂直于索轴向的挠度,EI为索的抗弯曲刚度。对式(1)采用分离变量法求解,并假设系统的边界条件为两端铰支,到拉索的轴向拉力F与振动频率fn的关系为:

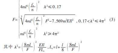
其中:F为索内力,不随时间改变,m为分布均匀的拉索单位长度的质量,l为索的自由长度,EI为抗弯刚度,n为振动频率的阶数。但由于弦振动理论没有考虑拉索的垂度等影响,在很多实际应用中将带来很大的误差(另外,由于垂度的影响会使得拉索在自由空间的3个平面上具有不同的频率特性,该特性将在后续的论文中进行研讨),所以该理论只能用做索力值的大致估算[4-5]。毛幸全等[6]采用索振动的一阶型,用能量法推导出考虑拉索垂度等影响时基频与索力之间的关系,同时利用最小二乘法进行曲线拟合来建立通过拉索的基频计算索力的公式。引入代表垂度等影响的无量纲常数λ,得到考虑索垂度和弹性影响的索力实用公式如下:

2 基于MEMS的无线索力测量系统
2.1 系统总体结构
无线索力测试系统可以分为三层:第一层为物理层,主要包括布置在桥梁斜拉索上面的基于WiFi的加速度传感器节点;第二层为数据传输层,主要由无线网关组成,将无线传感器发送的数据进行汇总并传输到现场服务器[7-10];第三层远程服务器端,主要由LabVIEW软件组成,对接收到的数据进行采集、存储与处理。整个网络系统结构如图1 所示。图2是传感节点系统结构图。


2.2 加速度传感节点硬件设计
2.2.1 加速度传感器电路设计
加速度传感节点采用AD公司的MEMS加速度器件ADXL335作为加速度传感核心,其内部结构如图3 所示,Z轴加速度的信号调理电路如图4所示。


2.2.2 AD转换器的电路设计
拉索振动信号检测属于弱信号检测范畴,对加速度传感器的低频特性、灵敏度以及数据采集的速率、分辨率都有较高的要求。A/D转换器采用1通道、24 位转换器ADS1255,微控器选用数据处理能力强劲的32位处理器PIC32MX795,连接关系如图5所示。

3 实验结果与对比分析
实验分为两部分,一是检验无线加速度数据采集设备的功能和性能指标是否达到设计要求,同时也是验证电路软硬件设计的合理性,为最终设计提供可靠的参考依据;二是将MEMS节点应用在实际拉索上进行实际测量。
3.1 振动台实验对比
测试依据加速度计检定规程JJG233-19%标准进行,采用了比较法中频振动标准装置(YS12-1/ZF)。该试验测试系统由振动台WH-2651、功放2719、标准传感器BK-8305、信号放大器、数据采集卡、PC机等组成。
3.1.1 传感器频率响应对比实验
实验将MEMS加速度传感器的三个轴分量和目前常用的两款加速度传感器,即941型电磁式传感器和朗斯LC01系列压电式加速度传感器进行对比,对比结果如表1。

3.1.2 轴间串扰实验
假设振动台是理想的,测量只存在Z轴振动时,将量程设置为6 g,Y轴的加速度响应测量结果如表2。
根据以下公式计算轴间串扰:

3.2 实桥测试
测试对象分别为武汉某斜拉索桥、某桥吊杆,把加速度传感节点布置在索、吊杆进行测试,同时为了验证在现场环境下无线传感系统的可靠性,进行了传统加速度对比试验。图6上方为MEMS加速度传感节点,下方为内置ICP压电式加速度传感器LC01系列加速度传感器。图7为MEMS加速度传感器节点的功率谱测量结果。


4 结论
本文论述了基于振动和冲击的频率法测量桥梁拉索索力的原理,介绍了基于MEMS和WIFI接入互联网的传感系统的整体架构,实现了对实验室的振动台测试以及现场拉索桥的索力测试。通过对实验室振动台标定实验与现场桥梁的对比实验可知,基于MEMS加速度传感器的索力测量系统具有数据质量优良、低功耗、容易接入互联网实现在线监测和成本低廉等优点,可以代替传统压电式加速度传感器测量方案,具有很高的推广价值。
参考文献
[1] 周先雁,王智丰,冯新.基于频率法的斜拉索索力测试研究[J].中南林业科技大学学报,2009,29(2):102-106.
[2] 郑灿.基于频率法的索力测试方法及索的损伤研究[D].浙江:浙江大学结构工程,2008:1-3.
[3] 刘志军,陈国平,党志杰.检测斜拉索张力的振动法及其应用[J].南京航天航空大学学报,2006,38(5):609-612.
[4] 石春香,李胡生,林立.考虑刚度及边界条件的短索索力求解与试验研究[J].地震工程与工程振动,2010,30(2):86-91.
[5] 吴康雄,刘克明,杨金喜.基于频率法的索力测量系统[J].中国公路学报,2006,19(2):62-66.
[6] 毛幸全,刘航,喻言,等.基于无线传感系统的斜拉桥索力测试与分析[J].传感器技术学报,2013,26(2):271-276.
[7] KIM B H,PARK T.Estimation of cable tension force using the frequency-based system identification method[J].Journalof Sound and Vibration,2007,304:660-676.
[8] Yu Yan,Zhao Xuefeng,Wang Yang,et al.A study on PVDFsensor using wireless experimental system for bridge structurallocal monitoring[J].Journal of Telecommunication Systems,2011.
[9] 曹建福,金枫.大型装备状态监测无线传感器网络的研究[J].传感技术学报,2011,24(4):571-574.
[10] 温淑慧.一种电容式加速度传感器设计的研究[J].传感技术学报,2005,18(2):329-332.
