摘 要: D2D(Device-to-Device)通信技术是一种能够降低基站负载率和提高系统资源利用率的新型近场通信技术。本文根据D2D接收端与蜂窝端的相对距离关系,分别讨论了传统蜂窝系统以及引入中继技术后的模式选择问题,给出了一种基于蜂窝用户与D2D用户地理位置关系的模式选择方案。仿真数据验证了D2D系统采用复用模式的概率与设定的系统信干噪比阈值成反比关系,表明引入中继技术后的D2D系统采用复用模式的概率大大增加,意味着在混合网络中加入中继节点能够有效地提高系统的频谱利用率。
关键词: D2D通信;混合网络;模式选择;信干噪比;中继技术
0 引言
伴随移动通信系统的演进,带宽需求不断加大,频谱资源分配日益紧张[1]。由于移动用户不断增加,同时可用于无线通信的频谱资源有限,所以可分配的带宽已经难以满足实际系统的需求。为缩小带宽供给和带宽需求之间的差异,更加高效地利用已有带宽十分必要。D2D通信[2-3]与传统蜂窝通信技术不同,D2D用户之间传输信息不需经基站转发,地理位置相近的D2D用户之间通过复用蜂窝用户的无线频谱资源直接进行数据传输,基站只需通过链路信息控制D2D用户的通信,不需要与D2D通信用户进行数据通信,因此,D2D技术不仅降低了基站负载,还有效提升了系统频谱资源利用率。
D2D用户根据复用蜂窝资源的情况,有两种工作模式[4-5]:正交模式(overlay)和复用模式(underlay)。其中,正交模式又称为专用模式,指D2D用户利用专用无线资源进行通信,此时,小区内的蜂窝用户与D2D用户利用相互正交的无线资源进行通信;复用模式又称为共用模式,是指D2D用户共享小区内某蜂窝用户的频谱资源进行通信。
D2D系统采取正交模式通信时不会对原蜂窝网络中的通信产生影响。但若D2D通信被分配到非正交的信道资源,即工作在复用模式下时,D2D通信将会对蜂窝链路的接收端产生干扰。因此,如果网络通信负载较小,可以为D2D系统分配多余的正交资源,这样显然能获得更佳的网络总体性能。但是,由于分配给蜂窝网络的资源有限,考虑到通信业务对带宽的要求越来越高,而采用非正交资源共享的方式可以使网络获得更高的资源利用率。这也是在传统蜂窝网络中应用D2D技术的主要目的。
复用模式下,当基站选择相距D2D用户距离较近的蜂窝资源进行复用时,它们之间容易产生干扰[6]。当基站选择距离D2D用户较远的蜂窝用户的资源来进行资源复用时,由于D2D用户的发射功率较小,对蜂窝用户产生的有害干扰相对也较小甚至可以忽略,这样就保证了它们之间干扰尽可能地小。本文将混合系统中的干扰问题考虑其中,基站能够通过功率控制[7]和资源分配[8-10]的方式来协调蜂窝和D2D系统的干扰问题。首先介绍传统蜂窝系统中引入D2D技术后面临的模式选择问题,给出一种基于蜂窝用户与D2D用户地理位置关系的模式选择方案。以此为基础,根据现有的一些中继传输技术方案,在混合系统中引入中继节点,并分析了D2D用户采用复用模式通信的概率与系统信干噪比门限值之间的关系。
1 D2D模式选择方案
1.1 无中继场景
本文将分别分析在无中继和有中继两种场景下,D2D用户进行模式选择的条件。首先,以传统无中继情况的蜂窝与D2D混合网络为背景,设定场景如图1。

场景中包括一个蜂窝用户和2个D2D用户,它们是一对正在进行数据传输的D2D通信对,D2D链路距离为R,D2D接收机(D2D Rx)位于以D2D发射机(D2D Tx)为中心,R为半径的圆周上,并假设D2D用户对采用固定的发射功率PD。
为便于分析,以基站BS为极点建立一个极坐标系。D2D Rx坐标为(x,θD),蜂窝用户坐标为(y,θC),得出它们之间所处地理位置的夹角θ=|θD-θC|,由余弦定理可得到D2D Rx与蜂窝用户端的距离为:

在基站上行链路中,假设蜂窝用户到D2D Rx的距离为dCD,D2D Rx与D2D Tx之间的距离为r,噪声功率密度为N0。蜂窝用户采用路径损耗补偿的方法来维持一个恒定的接收信噪比SNRBS。

上式变换得到蜂窝用户的发送功率为:
PC=N0SNRBSyα(3)
D2D Rx的信干噪比SINRD为:

由式(4)可以看出干扰项受参数dCD的影响,即蜂窝用户与D2D接收机的具体地理位置关系很大程度上决定了干扰强弱,从而影响了D2D接收机端的信干噪比。
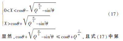
在实际通信过程中,D2D工作模式由D2D Rx的信干噪比SINRD决定。为SINRD设定一个门限值Vf,则模式选择的条件关系为:
当SINRD≥Vf时,D2D端采用underlay模式当SINRD<Vf时,D2D端采用overlay模式
因此,由underlay模式时的条件SINRD≥Vf可得:

将式(1)代入式(5),变换得:

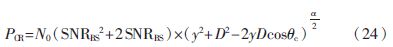
由式(10)可以看出,Q值决定了判决式?驻的取值,下面将分区间讨论Q值范围。
情况1:Q>1
若Q>1,则
>0与K<0同时成立,则:

由
与K的值可知,不等式(9)的解为:

由于
,因此不等式(9)成立的条件即为:

时,
的值将恒为负,即不等式(9)恒成立。若θ在上述范围以外,则需要解
>0。
由于
恒成立,且Q值越小,θ值越大,当θ满足以下条件:

时,不等式(9)的解为:
中第二个不等式的上限与Q>1的情况完全相同。
根据上述对Q值的讨论可知,模式选择的影响因素为参数θ与X的取值情况。由θ=|θD-θC|,θ值反映了D2D用户与蜂窝用户之间的夹角,并且,当D2D用户处于蜂窝小区边缘时,模式选择结果受θ值影响较小,因此仅由X的值决定;当D2D用户位于小区中心地带时,则X与θ值同时影响D2D模式选择结果。
另外,由X=x/y可以看出,X的值表示了D2D接收机到基站的距离与蜂窝用户端到基站的距离的比值,若x>y,则X>1;若x≤y,则X≤1。
综合以上讨论情况,得出如下结论:在蜂窝与D2D混合网络无中继场景下,D2D用户采用固定发送功率时,采用underlay通信模式需满足的条件是X>1+Q,其中,X表示D2D Rx与蜂窝用户端分别到基站的距离的比值,Q为常数,其取值由混合系统参数决定。
1.2 有中继场景
当在蜂窝与D2D混合系统中设置中继站Rn时,蜂窝用户有两种方式进行数据传输,即利用BS直接通信或通过Rn转发通信。在蜂窝用户与中继节点距离较近时,获得等链路容量所需要的发射功率较低,这种情况可以考虑采用中继转发的方式。

图2为单小区混合系统中设置中继节点时的场景图,假设基站BS位于小区的中央位置,以基站为中心,将小区平均划分成3个扇区,每个扇区中分别设有一个中继站,即Rn1,Rn2,Rn3,且其中任意中继节点Rni(i=1,2,3)到BS的距离都为D。
采用中继转发的方式可以使蜂窝用户以更小的发送功率获得更高的系统容量,但缺点会成倍消耗资源,因此为了达到相同的系统容量,需要更高的信噪比,来达到与无中继情况下的信噪比等效的效果。
为便于下文分析,假设中继节点Rni到BS的回传链路可靠。并且蜂窝用户到Rn的链路容量决定两跳链路总容量,满足下述公式:

式(18)表示,当蜂窝用户到BS链路的容量为蜂窝用户到Rni的容量的一半时,中继通信的系统容量与蜂窝通信系统容量达到一致。对式(18)进行变换得到中继站Rni的信噪比公式如下:

下面的分析与无中继场景类似,首先以BS为原点建立极坐标系,由于对称性,此处仅分析图2中Rn1所在的扇区,为使公式表达简洁,将中继节点Rn1设在横坐标轴上,其坐标为(D,0),蜂窝用户坐标为(y,θc),PCB与PCR分别代表蜂窝用户和中继站的发送功率,dCB表示蜂窝用户与BS之间的距离,dCR表示蜂窝用户到中继节点的距离,可知:

当蜂窝用户与BS进行通信与蜂窝用户采用中继转发方式进行通信时的容量达到一致时,分别消耗的功率如下:

将式(19)与式(21)分别代入式(23)可得:

若PCB﹥PCR,则蜂窝用户采用中继转发方式进行通信,变换即得到:

与无中继情况类似,利用信干噪比SINR的阈值Vf对D2D用户采取何种通信模式进行判断。D2D接收端的信干噪比以及满足的阈值条件为:

其中,dCD代表蜂窝用户与D2D接收机Rx的距离;dCR代表蜂窝用户到中继Rn的距离;PCi取值为PCB与PCR值中的较小者,即PCi=min{PCB,PCR}。
由式(30)与式(31)变形可得:

在有中继节点的蜂窝与D2D混合系统中,蜂窝用户依据其到中继节点Rn的距离信息来决定是否采用中继转发方式进行数据传输;D2D用户端则依据如下准则来选择用overlay模式或underlay模式进行通信。
准则:在有中继节点的蜂窝与D2D混合系统中,若蜂窝用户决定采取中继转发方式进行通信,则D2D用户模式选择公式如下:

上式中,dCD代表蜂窝用户与D2D接收机Rx的距离;dCR代表蜂窝用户到中继Rn的距离。
若蜂窝用户在中继区域外,工作在非中继转发模式下,则D2D用户模式选择公式如下:

上式中,dCB代表基站BS与蜂窝用户之间的距离。上述准则的所有距离值及相关参数值都可以在网络中获得,并且通过公式可以分析得出蜂窝与D2D混合网络中D2D用户端在不同模式通信时所适用的位置区域。
2 仿真
假设小区半径为1(真实仿真中设为500 m),D2D接收机与发射机之间距离R设为0.1,中继节点Rn与BS距离设为0.7,将D2D Rx与BS的距离dDB分别设为0.8,0.5及0.3。
实际生活中,采取D2D通信方式的用户彼此之间距离较近,并且相对处于静态,因此仿真过程中,将D2D用户的位置固定不变,同时蜂窝用户遍历该小区的所有位置信息,即文中所有距离参数都能够通过蜂窝用户遍历得知。本小节将根据推导的公式来对D2D用户选择underlay模式通信的概率值进行仿真。图3为仿真结果。
仿真图的虚线部分表示了在混合网络无中继场景下,当D2D用户与BS的距离分别为0.8,0.5及0.3时,D2D用户选择underlay模式通信的概率随D2D用户端信干噪比的门限值的变化曲线。可以看出,在无中继场景下,D2D用户选用underlay模式的概率随选用underlay模式的SINR阈值Vf的升高而降低,并且D2D端与BS距离dDB值影响该概率值。由于D2D Rx位置固定,并且为防止D2D用户通信时对蜂窝用户产生有害干扰,因此蜂窝用户不会出现在以D2D Tx为圆心、到D2D Rx的距离为通信半径的圆形区域内。在此前提下,dDB越小,即D2D端与BS相距越近,则蜂窝用户比D2D用户出现在小区边缘区域的概率越大。然而,蜂窝用户的发送功率与其离BS距离的远近成正比,即蜂窝用户离BS越远,发送功率越大,对D2D用户端的相对干扰越强,因此,D2D用户端的信干噪比SINRD超过阈值Vf的比率越小。

图3的实线部分表示在混合网络中设置中继站的场景下,同样将D2D用户与BS的距离分别设为0.8,0.5及0.3时的D2D用户选择underlay模式通信的概率曲线。与无中继情况的曲线走势类似,D2D用户选择underlay模式的概率与阈值Vf成反比。
对比可知,在dDB取值相同时,有中继时D2D端选择underlay模式的概率比无中继情况的概率有较大提高。当混合系统中引入中继后,从D2D角度来看,复用蜂窝资源的几率将大大提高,传输效率得到提升。
3 结论
本文研究了一种基于蜂窝用户与D2D用户地理位置关系的模式选择策略,并引入中继节点,分析D2D用户采用underlay模式通信的概率与系统信干噪比门限值之间的关系。仿真结果表明,引入中继后的D2D系统将更有机会复用上行链路资源。从蜂窝用户角度来看,当蜂窝端与中继距离较近时,获得等链路容量所需发射功率较低,可考虑采用中继转发方式;从D2D角度来看,其复用蜂窝资源的几率将提高,传输效率得到提升。本文仅研究单小区单中继情况,在未来的研究中,将考虑多小区以及多中继的系统模型。
参考文献
[1] HUANG K B, LAU K N. Spectrum sharing between cellular and mob Ad Hoc networks: transmission-capacity trade-off[C]. IEEE J. Sel. Ar Commun., 2009:1-5.
[2] DOPPLER K, RINNE M, WIJTING C, et al. Device-to-Device communication as an underlay to LTE-advanced networks[J]. IEEE Communication. Mag., 2009,47(12):42-49.
[3] JANIS P, YU C, DOPPLER K, et al. Device-to-Device communication underlaying cellular communications systems[J]. Int. J.Commun., Network and Sys. Sci.,2009,2(3):169-178.
[4] HAKOLA S, CHEN T, LEHTOM J, et al. Device-to-Device(D2D) communication in cellular network-performance analysis of optimum and practical communication mode selection[C]. In Proc. IEEE WCNC 2010, 2010:1-6.
[5] DOPPLER K, YU C H, RIBEIRO C B, et al. Mode selection for Device-to-Device communication underlaying an LTE-advanced network[C]. In Proc. IEEE WCNC 2010, 2010:1-6.
[6] PENG T, LU Q X. Interference avoidance mechanisms in the hybrid cellular and device-to-device systems[C]. PIMRC,2009:1-7.
[7] YU C, TIRKKONEN O, DOPLER K, et al. Power optimization of device-to-device communication underlaying cellular communication[C]. In Proc. IEEE ICC ′09,2009:1-5.
[8] SU L, JI Y, WANG P, et al. Resource allocation using particle swarm optimization for D2D communication underlay of cellular net-works[C]. In Proc. 2013 IEEE Wireless Commun. Network. Conf., 2013:129-133.
[9] PHUNCHONGHARN P, HOSSAIN E, KIM D. Resource allocation for device-to-device communications underlaying LTE-advanced networks[J]. IEEE Wireless Commun, 2013,20(4):91-100.
[10] HASAN M, HOSSAIN E. Resource allocation for network-integrated Device-to-Device communications using smart relays[C]. In Proc. 2013 IEEE Global Commun. Conf., 2013: 1-6.
