摘 要: 基于时域射线跟踪方法对室内超宽带信号传播进行了仿真和分析。设计了一种应用于室内带金属家具非视距环境的超宽带信号信道仿真模型,用以分析和描述超宽带信号经室内反射、透射和绕射传播后的时域电场强度,同时比较分析了仿真得到的视距传播和非视距传播中的多径传播、功率时延分布等传播参数。仿真结果可以为室内复杂环境中超宽带无线通信网络覆盖与优化提供理论依据。
关键词: 超宽带信号;时域射线跟踪方法;非视距;传播特性
0 引言
近几年,由于超宽带技术具有传播速率高、系统容量大、抗多径干扰能力强等优点,在室内近距离、高速率以及能量受限的传感器网络等场景下颇具吸引力[1]。
目前已有不少学者基于时域射线跟踪方法对室内环境超宽带信号的传播特性进行了研究。Xu Huigang等人[2]基于时域一致性绕射方法,研究了带有一隔板的典型办公室环境中超宽带系统性能,其中考虑了直射和多次反射,证明了在通信速率比较低的情况下超宽带信号有较好的抗多径性能。Yao R等人[3]基于时域射线跟踪方法,研究室内UWB信号的传播特性,并建立室内多径传播模型。
综上所述,已知文献侧重考虑了直射、反射、绕射和透射等多径传播中的部分传播机制。由于射线跟踪法可以适用于复杂的传播环境,具有较高的计算精度和计算效率,可见这种方法是一种具有很高实用价值的电波传播预测方法。本文基于时域射线跟踪法对非视距室内复杂环境中的超宽带信号的传播特性开展研究,可以为超宽带通信系统室内覆盖提供依据。
1 时域射线追踪法
在一个室内短距离超宽带通信系统中,到达接收天线的信号有许多条多径分量,其中每一条多径分量都是发射射线与周围物体和环境交互作用的结果。
1.1 时域射线追踪法的实现过程
时域射线跟踪方法的实现步骤如下:
(1)建立室内短距离传播环境的模型。该模型包括两部分:首先是几何模型,需要预先设定房间的长、宽、高,发射点源和接收点的坐标,及墙面所在平面的法向量、平面方程等。其次是物理模型,即各个墙面介质材料的电参数。
(2)射线的跟踪。在时域射线跟踪方法中,将发射点视为点源,其发射的电波作为向各个方向传播的射线,当遇到障碍物时会发生3种传播机制:反射、绕射或透射。
(3)接收点场的计算。确定反射、绕射或透射路径的传播距离和相位情况,最后计算总场强的时候,最关键的是要计算时域反射系数、时域绕射系数和时域透射系数这3个参数,从而得到不同路径的冲激响应,最后在接收端合成。
1.2 时域反射系数
根据参考文献[3],反射场可以表示为:

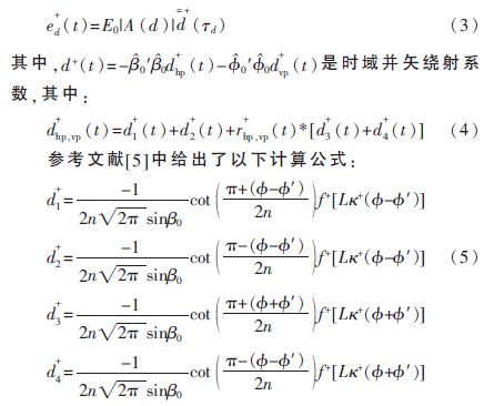
1.3 时域绕射系数
根据参考文献[4]可以确定绕射射线和绕射场的大小,绕射场可以表示为:

1.4 时域透射系数
根据参考文献[6],透射场可以表示为:

第二部分是介质板内部的传播损耗系数:

2 仿真结果与分析
2.1 仿真环境
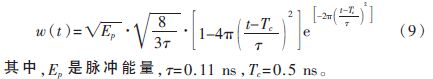
利用参考文献[7]针对室内复杂环境进行建模仿真。仿真所用时域信号为二阶高斯脉冲,其表达式为:

其中,Ep是脉冲能量,τ=0.11 ns,Tc=0.5 ns。

室内环境平面图如图1所示,其中两个房间尺寸一样,均为长4 m、宽5 m、高5 m。小正方体的金属尺寸均为长1 m、宽1 m、高1 m。发射天线和接收天线均采用全向天线,发射天线高度为1.5 m,接收天线高度为 1 m。发射天线的发射功率为20 dBm。仿真房间的电磁参数如表1所示。
2.2 仿真结果与分析
从图1可以看出,接收天线1在直射路径可到达的区域,接收天线2在只有透射、反射和绕射路径到达的区域。接收天线1和2的时域信号波形如图2~图5所示。


比较图2和图3可以看出,由于视距传播直射路径直接到达接收点,无阻碍物的限制,因此到达接收天线1的时间要比非视距传播到达接收天线2的时间短。在视距传播中,在直射区域直射路径最先到达且信号最强,在全部的多径信号中占绝大部分能量;在非视距传播中,没有直射路径,透射路径最先到达。
从图2~图5中可以看出,当发射信号是垂直极化时,在发射天线处,每条射线管的信号在Z轴方向上都有分量,导致了接收端竖直分量比水平极化要多。当发射天线信号是水平极化波时,信号时域波形在水平面上的投影比垂直极化波多,导致了接收天线端的水平面上的X、Y轴上的分量较多。但是在通信系统中天线大多数都是竖直放置的,选择发射信号为垂直极化波时,Z轴方向接收到的信号明显要比水平极化波强,接收功率也就越大,因此在无线通信中天线类型一般要选择垂直极化天线。
带有金属家具的视距接收天线1和非视距接收天线2的功率时延分布如图6和图7所示。

比较图6和图7可以看出,视距传播是直达射线并且占大部分功率,多次反射、透射和绕射射线携带的能量很小,而非视距传播,携带能量最强的射线不能明显区别出来,在文中最强的射线是透射射线,多次反射和绕射射线所携带的能量也比较大。
τA是指最先到达接收天线的第一条径的时延,τrms是信号功率延时分布的二阶矩,能很好地表征无线通信中的码间干扰。BC是由多径传播中信号的反射、绕射等引起的:


从表2中可以看出,天线的极化形式对视距传播和非视距传播的均方根时延扩展影响很小,可以忽略。另外,UWB信号室内传播时均方根时延扩展大于信号波形宽度,所以UWB信号经历的是频率选择性衰落。
3 结论
本文基于射线跟踪法研究了室内非视距环境中超宽带信号的传播特性。研究结果表明,在UWB信号室内复杂环境传播过程中,为了提高接收效率,发射接收天线极化形式可选择垂直极化;在视距传播中,直射路径最先到达且信号最强,在全部的多径信号中占绝大部分能量;在非视距传播中,没有直射路径,透射路径最先到达;天线的极化形式对视距传播和非视距传播的均方根时延扩展影响很小,可以忽略;UWB信号经历的是频率选择性衰落。
参考文献
[1] 刘伟荣,何云.物联网与无线传感器网络[M].北京:电子工业出版社,2013.
[2] Xu Huiyang, Wang Gang. Study on UWB channel modeling and UWB-IR system performance in a typical indoor environment[C]. IEEE International Conference on Networking and Mobile Computing, 2005: 349-352.
[3] YAO R, GAO G, Chen Zengqi, et al. UWB multipath channel model based on time-domain UTD technique[C]. IEEE Global Telecommunication Conference, 2003, 3(12): 1205-1210.
[4] SUGAHARA H. Development and experimental evaluations of “RS-2000”: a propagation simulator for UWB systems[C]. IEEE Global Telecommunications Conference, 2004:366-381.
[5] ROUSSEAU P R, PATHAL P H. Time-domain uniform geometrical theory of diffraction for a curved wedge[J]. IEEE Transactions on Antennas and Propagation, 1995, 43(12): 1375-1382.
[6] DE A F S, GUTIERREZ O, NAVARRO M A. Efficient time-domain ray-tracing technique for the analysis for ultra-wideband indoor environments including lossy materials and multiple effects[J]. International Journal of Antennas and Propagation, 2009:1-8.
[7] Wang Y, Zhang M G, Zhang Q Y, et al. Simulation of UWB pulsed indoor propagation channel[J]. IEEE International Symposium on Microwave, Antenna, Propagation, and EMC Technologies For Wireless Communications, 2007: 807-810.
