邓玲,陈忠辉,赵宜升
(福州大学 物理与信息工程学院,福建 福州 350108)
摘要:针对LTER通信系统,对快时变信道估计问题进行了研究。采用基扩展模型对高速铁路通信环境的快时变信道进行拟合,将信道冲激响应建模为基函数与系数相乘形式。通过理论推导,得到最优基函数系数。仿真结果表明,泛化复指数基扩展模型比多项式基扩展模型和复指数基扩展模型具有更好的均方误差性能。此外,随着基函数个数的增加,复指数基扩展模型的均方误差逐渐减小。在信道衰落较严重时,三种基扩展模型均表现出较好的性能。
关键词:信道估计;基扩展模型;LTE-R通信系统
0引言
基于LTE的铁路长期演进(Long Term Evolution for Railway, LTE-R)系统是极具前景的高速铁路通信解决方案[1]。然而,列车的高速移动将引起信道状态发生动态变化,使LTER通信系统面临新的挑战[2]。因此,为了保证在高速铁路场景下能为用户提供可靠的无线通信服务,迫切需要开展针对LTER通信系统的信道估计算法研究。
国内外研究人员在信道估计算法研究方面已取得一系列成果。根据算法是否使用辅助数据,主要分为非盲信道估计算法、盲信道估计算法和半盲信道估计算法[3]。非盲算法即基于训练序列或导频符号的估计方法,具有抗多径衰落能力强、实现复杂度低等优点,但辅助数据的使用占用了一定的有效带宽,降低了系统传输效率[45];盲算法无需任何辅助数据,只利用信道的统计特性实现信道估计,故频谱利用率较高,能自适应跟踪信道动态变化,但计算复杂度大、收敛速度慢、灵活性差,在实际应用中受到一定限制[67];而半盲算法,即非盲算法与盲算法的折中方法,其使用少量导频符号,同时充分利用信道统计特性跟踪并优化信道参数,以获取更为准确的信道信息[8]。
然而,传统的信道估计算法主要适用于准静态信道,难以对移动速度超过300 km/h的LTER通信系统进行有效的信道估计。基扩展模型(Basis Expansion Model, BEM)通过若干个相互正交的基函数对动态变化信道进行拟合,是估计快时变信道的有力工具。因此,本文将引入BEM研究高速移动场景下的信道估计算法,以提高系统性能。
针对LTE-R通信系统,本文采用BEM进行快时变信道估计研究。首先,根据莱斯衰落信道模型,描述LTE-R系统的信道特征。然后,利用BEM拟合LTER系统的快时变信道,将其表示为若干个相互正交的基函数与系数相乘形式,并推导最优基函数系数。最后,仿真基于复指数基扩展模型(ComplexExponential BEM, CEBEM)、泛化复指数基扩展模型(Generalized CEBEM, GCEBEM)与多项式基扩展模型(Polynomial BEM, PBEM)的信道估计算法,评估其均方误差(Mean Square Error, MSE)性能。
1系统模型

LTE-R通信系统的网络结构如图1所示。为了保证高速铁路通信的可靠性,该系统由地面子系统和车载子系统组成[9]。地面子系统主要包括室内基带处理单元(Building Baseband Unit, BBU)与射频拉远单元(Radio Remote Unit, RRU),利用光纤连接BBU与RRU。车载子系统由车载台(Vehicular Station, VS)、中继器(Repeater, R)与用户设备(User Equipment, UE)组成,UE通过无线方式连接到R,R通过有线方式连接到VS。此外,地面子系统与车载子系统由RRU与VS通过无线方式建立连接。
对于高速铁路通信场景,RRU与VS间的无线信道呈现快时变特点。由于基站部署于铁路沿线附近,在发射机与接收机间不仅存在多条间接路径,即非视距(Non LineofSight, NLOS)路径,还有一条直接的视距(LineofSight, LOS)路径,因此本文采用莱斯衰落信道描述LTER通信系统信道特征[10]。假设RRU与VS分别配置NT根发射天线与NR根接收天线,第t时刻的第p根发射天线与第q根接收天线间的信道冲激响应为:

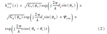
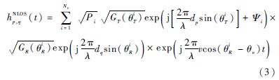
式中,1≤p≤NT,1≤q≤NR,K为莱斯因子,是直射分量功率与散射分量功率之比,其值越小表明信道衰落越严重。hLOSp,q(t)与hNLOSp,q(t)分别为LOS与NLOS路径的信道冲激响应。其中,hLOSp,q(t)的表达式为:

式中,θT与θR分别为LOS路径的离开角与到达角,GT(θT)与GR(θR)分别为发射天线与接收天线增益,λ为载波波长,dp与dq分别为第p根发射天线与第q根接收天线到参考天线的距离,ΨLOS为LOS路径相位,v为列车移动速度,θv为速度向量角度。hNLOSp,q(t)的表达式为:

式中,NL为间接路径数,Pi为第i条路径功率,θiT与θiR分别为第i条路径的离开角与到达角,GT(θiT)与GR(θiR)分别为发射天线与接收天线的增益,ψi是第i条路径相位。
2快时变信道估计
2.1基扩展模型
基于BEM进行信道估计的基本思想是采用若干个相互正交的基函数拟合快时变信道。由于基函数是已知的,则信道估计的本质为估计基函数系数[11]。根据该思想,若用M个相互正交的基捕获每条径的时变特性,则第t时刻的信道冲激响应为:
h(t)=B(t)C(t)=∑Mi=1bt,ict,i(4)
式中,B(t)=[bt,1bt,2…bt,M]1×M为第t时刻已知的基函数矩阵,C(t)=[ct,1ct,2…ct,M]ΤM×1为相应的待求系数矩阵。其中,基函数的具体表达式取决于所采用的BEM。BEM主要包括CEBEM、GCEBEM和PBEM。下面分别讨论这三种模型的基函数,分析各模型特点。
对于CEBEM,其第t时刻的基函数为:

式中,1≤m≤M,M应满足M≥2×fmaxNTs。其中,fmax为最大多普勒频移,具体表达式如式(6)所示,N为系统子载波个数,Ts为符号采样周期,·表示向上取整。该模型基函数设计简单,易于实现,但在边缘部分估计误差较大。同时,在信道拟合时频率分辨率不高,并出现频谱泄露问题,产生吉布斯现象,影响信道拟合性能[12]。
fmax=v×fc/c(6)
式中,fc为载波频率,c为电磁波的速度。
针对CEBEM存在的边缘误差较大问题,GCEBEM在CEBEM基础上采用更加密集的采样频率(即过采样技术),以提高频率分辨率,提升信道拟合性能,但未能减小吉布斯现象对信道估计的影响[13]。其第t时刻的基函数为:

式中,1≤m≤M,D为正整数,M满足M≥2×fmaxDNTs。当D=1时,GCEBEM即为CEBEM。
PBEM是以泰勒级数理论为基础,利用一系列多项式近似信道。其第t时刻的基函数为:

式中,1≤m≤M,·表示向下取整。与CEBEM相比,PBEM的边缘误差较小,但对多普勒频移变化敏感[14]。
2.2最优基函数系数
根据以上BEM,对LTER通信系统的快时变信道进行建模。第t时刻第p根发射天线与第q根接收天线间的信道冲激响应可表示为:

式中,Bp,q(t)=[bp,qt,1bp,qt,2…bp,qt,M]为已知的基函数矩阵,Cp,q(t)=[cp,qt,1cp,qt,2…cp,qt,M]Τ为相应的待求系数矩阵。通常,同一时刻不同发射天线与接收天线间的信道均采用同一基函数进行逼近,即Bp,q(t)=B(t),则式(9)可表示为:

式中,[·]Η表示共轭转置。
由式(13)可知,MSE与预拟合的真实信道、所选定的BEM和相应的基函数系数有关。若已选定某BEM拟合某信道,则MSE仅受基函数系数估计值的影响。因此,需求解最优基函数系数,以获取最小MSE。
根据KAY S M提出的矢量参数CramerRao下限定理[15],由于hp,q(t)=B(t)Cp,q(t)是线性模型,故可假定其概率密度函数满足“正则”条件,即:

式中,I为单位矩阵。当式(15)为0时,求得最小方差无偏估计量,即为最优基函数系数optp,q(t)=g(hp,q(t))。其具体表达式为:

将式(16)代入式(13),得信道冲激响应的最小MSE:

3仿真分析
对基于CEBEM、GCEBEM和PBEM的LTER通信系统信道估计算法性能进行仿真评估。相关参数设置如下:NT=NR=2,列车移动速度v为100~130 m/s,N=128,Ts=1/75 000 s,fc=2.64 GHz,c=3×108 m/s,D=2。式(2)、(3)中关于莱斯衰落信道的参数值可参考文献[10]。
图2是对三种BEM在同一莱斯衰落信道中的性能对比。设定K=6 dB,CEBEM与PBEM基函数个数均采用M=4,GCEBEM中M=8。仿真结果表明,列车移动速度越快,即最大多普勒频移越大,三种BEM算法的MSE均越大。此外,在相同移动速度下,CEBEM性能最差,PBEM次之,GCEBEM最优。主要原因在于,PBEM是利用多个多项式近似信道,与CEBEM相比,其边缘部分估计误差较小。而GCEBEM是在CEBEM基础上采用过采样技术来提高频率分辨率,从而大幅度减小了边缘误差,提高了拟合信道性能。


图3是以CEBEM为研究对象,探讨基函数个数M对信道估计算法性能的影响。设定K=10 dB,M分别取4、5和7。仿真结果表明,M越大,基于CEBEM算法的MSE越小。主要原因在于,M越大表明采用越多相互正交的基函数逼近信道,实现更为准确的信道拟合,故算法的MSE越小。但是,增大M降低均方误差的同时,会提高算法运算复杂度。因此,在实际应用中需在系统传输的有效性与可靠性间进行折中,依具体情况选择合适的M值。
图4~图6分别为CEBEM、GCEBEM和PBEM在不同衰落程度的莱斯信道中的性能对比。设定K分别为-10 dB、0 dB和10 dB以表示莱斯信道三种衰落程度。仿真结果表明,K值越小,即信道衰落程度越严重,三种BEM算法的MSE均越大。但是,当K=-10 dB时,CEBEM的MSE约为10-2,PBEM的MSE约为0.005,而GCEBEM的MSE在10-5数量级。由此可见,在快时变信道衰落较严重时,三种BEM均有较好的性能,其中GCEBEM性能最优。


4结论
本文针对LTER通信系统,对CEBEM、GCEBEM与PBEM三种模型的快时变信道估计算法进行理论研究与仿真评估。研究结果表明,在同一莱斯衰落信道中, GCEBEM的信道估计算法性能最优,PBEM次之,CEBEM最差。但是,CEBEM可通过增加基函数个数拟合信道以提高系统可靠性。此外,三种BEM在信道衰落较严重时仍表现出较好的性能。对于基函数系数的估计,本文利用CramerRao下限定理获得最优系数。在今后的研究过程中,可进一步采用最小二乘、最小均方误差或线性最小均方误差等算法估计基函数系数,并仿真对比各算法性能差异。
参考文献
[1] MARTINVEGA F J, DELGADOLUQUE I M, BLANQUEZCASADO F, et al. LTE performance over high speed railway channel[C].Proceedings of IEEE Vehicular Technology Conference, Las Vegas, USA: IEEE Press, 2013: 15.
[2] 杨丽花,杨龙祥,朱洪波.LTE上行多用户SCFDMA系统中时变信道估计方法[J].通信学报,2014,35(9):9198.
[3] KUNG T L, PARHI K K. Semiblind frequencydomain timing synchronization and channel estimation for OFDM systems[J]. EURASIP Journal on Advances in Signal Processing, 2013(1): 18.
[4] COLERI S, ERGEN M, PURI A, et al. Channel estimation techniques based on pilot arrangement in OFDM systems[J]. IEEE Transactions on Broadcasting, 2002, 48(3): 223229.
[5] OHNO S, GIANNAKIS G B. Optimal training and redundant precoding for block transmissions with application to wireless OFDM[J]. IEEE Transactions on Communications, 2002, 50(12): 21132123.
[6] SIMOIS F J, MURILLOFUENTES J J, BOLOIXTORTOSA R, et al. Near the cramér–rao bound precoding algorithms for OFDM blind channel estimation[J]. IEEE Transactions on Vehicular Technology, 2012, 61(2): 651661.
[7] WANG S, HU J. Blind channel estimation for singleinput multipleoutput OFDM systems: zero padding based or cyclic prefix based[J]. Wireless Communications and Mobile Computing, 2013, 13(1): 204210.
[8] ZHOU S, MUQUET B, GIANNAKIS G B. Subspacebased (semi) blind channel estimation for block precoded spacetime OFDM[J]. IEEE Transactions on Signal Processing, 2002, 50(5): 12151228.
