杨小鲁,郭前岗,周西峰
(南京邮电大学 自动化学院, 江苏 南京 210023)
摘要:与常规矩阵变换器相比,双级矩阵变换器(TSMC)由于其调制策略简易、嵌位电路简单、换流方式可靠等优点,成为目前研究的热关。与传统交-直-交变换器相比,TSMC的中间直流环节无储能元件,在采用双空间矢量调制方法时,其整流侧输出PWM电压,经逆变侧变换为三相交流电。为获得高质量的输出电压波形,从理论上对TSMC的输入电流和输出电压进行谐波分析,并通过仿真验证理论分析的正确性,为选取合适的元件以及滤波器参数提供了一定的依据。
关键词:双级矩阵变换器;谐波分析;双SVM方法;MATLAB仿真
0引言
双级矩阵变换器(TwoStage Matrix Converter,TSMC)除了具有常规矩阵变换器高功率因数、无直流储能元件、可四象限运行、能量双向流通等优点外,还具有调制策略简易、嵌位电路简单、换流方式可靠等优点。TSMC的调制方式为双空间矢量调制[13],其输出电压必然含有PWM谐波[4],同时,TSMC作为一种能量双向流通,可实现变频变压的电力变换器。由于电源侧电流与直流侧电流通过整流器相连,输出侧纹波会穿越到电源侧并表现为间谐波[5],因此,有必要从理论上分析这些谐波的产生原理,以便选取合适的元器件参数和滤波器来抑制这些谐波,改善输入电流和输出电压的波形。
1双级矩阵变换器的调制策略
双级矩阵变换器拓扑结构如图1所示,与传统交直交变换器拓扑结构相似,其包含交直(整流)和直交(逆变)两级变换电路[6]。为方便称呼,将交直级电路称为整流侧,将直交级电路称为逆变侧。这样,可以通过对整流侧和逆变侧分别进行PWM调制来获得期望的输出,称为双PWM控制[7]。

图1中,Skq(k∈{a,b,c},q∈{p,n}),Sjq(j∈{A,B,C},q∈{p,n})表示连接k相输入、j相输出与p,n两点的开关的状态,Skq或Sjq为0,表示对应的开关关断;Skq或Sjq为1,表示对应的开关导通。
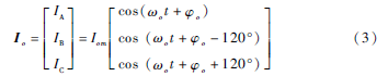
双级矩阵变换器的输入输出关系可表示为:

由式(1)可以看出,双级矩阵变换器的调制分为整流级的空间矢量调制和逆变级的空间矢量调制。为了方便分析,此处假设TSMC三相输入电压为:

三相输出电流为:

式中,ωi、ωo分别为输入、输出角频率,φo为初始电流相角。
1.1整流级空间矢量调制
通过对整流级6个双向开关的控制,可将输入相电流合成为I1~I6 6个有效空间矢量,以及零矢量I0,如图2所示。


图3电流矢量合成图
参考输入电流矢量I可以通过一个扇区的相邻两个有效电流矢量以及零矢量合成。如图3所示。
设矢量Iα、Iβ、I0所对应的开关占空比分别为dα、dβ、d0c,计算公式如下:
dα=mc·sin(60°-θc)
dβ=mc·sin(θc)
d0c=1-dα-dβ(4)
其中,mc为电流调制系数,0≤mc≤1。

1.2逆变级空间矢量调制
逆变级三相输出电压合成矢量如图4所示。
与整流级SVM类似,设参考电压矢量V由所在扇区的相邻电压空间矢量Vm、Vn以及零矢量V0合成[8]。对应的开关占空比分别为dm、dn、d0v,计算如下:
dm=mvsin(60°-θi)
dn=mvsin(θi)
d0v=1-dm-dn(5)
其中,mv为电压调制系数,0≤mv≤1。
1.3TSMC的两级协调控制
由于整流级输出电压在一个PWM周期内输出两段直流电压,因此需要考虑逆变级与整流级协调控制的问题。

如图5所示为参考输入电流矢量为第一扇区,即对应的输入线电压为uab、uac时的两级协调控制示意图。
2输入电流的谐波分析

图6所示为TSMC输入侧的等效电路。图中,ua,ub,uc为三相平衡的正弦电动势,网侧电感L为线性,R为电感的等效电阻。
对于桥式整流电路部分,必须保证上桥臂与下桥臂中各有一路且仅有一路开关导通。这样6个双向开关可合成6个图6输入侧等效电路图有效电流空间矢量,某相上下桥臂直连时可合成零矢量。
由此,可建立输入侧电路的数学模型:

Sk为开关函数,任意开关周期内,Sk=1时对应的上桥臂开关Skp导通,对应的下桥臂开关Skn关断;Sk=0时对应的下桥臂开关Skn导通,对应的上桥臂开关Skp关断。
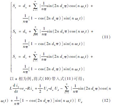
以a相为例,某一周期内的控制信号Sa通过开关导通时间与三角波比较的方式获得。
Sa满足狄利克雷条件,在某个周期内,Sa可用傅里叶级数表示如下:

在任意PWM周期内,占空比dk实际上就是Sk在这一周期的平均值,即:

因此三相控制信号的傅里叶级数可写为:

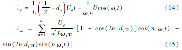
若忽略电感等效电阻R,且认为直流电压Ud无波动,解微分方程可得:
ia=ial+iah(13)
其中,ial为a相输入相电流的低频分量,iah为a输入相电流的高频分量。

式(15)表明双级矩阵变换器的输入电流谐波主要由频率为开关频率的谐波构成,且谐波的幅值随着谐波次数n、网侧电感L和开关频率ωs的增大而减小,随着直流电压Ud的增大而增大。
3输出电压的谐波分析
采用双空间矢量调制时,输出电压中含有PWM谐波,因此有必要对输出电压进行谐波分析。
理想情况下,假设TSMC的整流侧在某段时间内输出一段直流电压,那么可以将TSMC看作以这个直流电压为输入的三相桥式逆变电路。
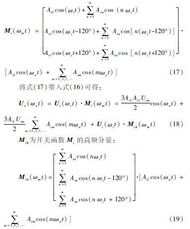
以A相为例,则TSMC的输出电压可以表示为:
Uo(ωot)=Ui(ωit)·Trec·mvcos(ωot)=
Uim[cos(ωit)cos(ωit-120°)cos(ωit+120°)]·mccos(ωit)
mccos(ωit-120°)
mccos(ωit+120°)·mvcos(ωot)=3mUim2cos(ωot)=
Ui(ωit)·Mi(ωmt)(16)
式中,m=mc·mv为TSMC的总调制系数,Mi为三相到A相的开关函数,ωm=ωi+ωo。
在实际情况下,Mi可表示如下:

比较式(16)和式(18)可以发现,实际情况下的TSMC输出电压比理想情况下多出的谐波分量为:

将式(19)带入式(20),计算可得:

观察式(21)可发现,TSMC的输出电压谐波分为两种,一种是输出电压频率奇数倍的奇次谐波,记其角频率为ωoo;另一种是既有输入电压成分,又有输出电压成分的谐波,记其角频率为ωoh。即TSMC的输出电压频谱包含以下成分:
ωoo=mωo;ωoh1=nωi+ωo;ωoh2=nωi-ωo;
ωoh3=nωi+mωo;ωoh4=nωi-mωo。
其中n=6,12,18,…;m=3,5,7,…,且谐波幅值与输入电压幅值成正比。
4仿真验证
为了验证上述分析的正确性,利用MATLAB/Simulink和S函数搭建TSMC模型,参数设置如下:输入电压220 V/50 Hz,负载为三相对称负载,仿真算法为ode15s。
选取期望输出电压频率为120 Hz,分别对输入电流和输出电压做FFT分析,得出的结果如图7和表1所示。


由图7可以看出,由于开关频率选取较大,因而输入电流的谐波幅值较小,且随着谐波次数的增加而减小,符合式(15)所得出的结论。从表1可以看出,TSMC的输出电压谐波在180 Hz、300 Hz、420 Hz、480 Hz、600 Hz、720 Hz、780 Hz、840 Hz、900 Hz、1 020 Hz及1 140 Hz处幅值较大且满足式(21),验证了理论的正确性。
5结论
本文从理论层面上分析了双级矩阵变换器的输入电流谐波和输出电压谐波,并利用MATLAB/Simulink结合S函数搭建了TSMC的仿真模型,验证了理论的正确性,为元件和滤波器参数选取提供了一定的依据。
参考文献
[1] RODRIGUEZ J. A new control teclinique for ACAC converters[C].Proceedings IFAC Control in Power Electronics and Electrical Drives Conference,1983:203208.
[2] ZIOGAS P D, KHAN S I, RDSHID M H. Some improved forced commutated cycloconverter structures[J].IEEE Transaction on lndustry Applications,1985, 21(5):1242 1253.
[3] BROECK V D, SKUDELNY H C, STANKE G V. Analysis and realization of a pulsewidth modulation based on voltage space vectors[J].IEEE Transactions on Industry Applications, 1988,24(6):142150.
[4] 张超,于岩,张义君,等.SVPWM逆变器输出电压谐波分析[J].煤矿机械,2011,32(6):115118.
[5] 张大海,徐文远.间谐波相序特性的研究 [J].中国电机工程学报,2005,25(12):2934.
[6] 邓文浪,杨欣荣,朱建林,等.18开关双级矩阵变换器的空间矢量调制策略及其仿真研究 [J].中国电机工程学报,2005,25(15):8490.
[7] 郭林杰,赵建勇.基于双PWM协调控制的永磁风力发电系统研究[J].微型机与应用,2013,32(8):6871.
[8] 薛家祥,马前进,郑照红,等.简化的SVPWM算法在三电平光伏系统中的应用[J].电子技术应用,2014,40(3):6567.
