文献标识码: A
文章编号: 0258-7998(2014)08-0076-04
随着现代工业的不断发展,企业对大型化、自动化、连续化的生产设备的依赖性与日俱增。如何对设备进行有效的管理以及如何对设备的运行状态进行有效的监控,让设备的运行状态在可知以及可预知的范围之内,是现代工业企业亟待解决的问题[1]。
目前在线设备故障诊断系统大多采用PC和采集卡的模式,通过PC软件实时接收和处理采集卡传来的数据。这种系统体积庞大、数据传输复杂、成本昂贵,不适合应用在生产设备分散和现场工作环境恶劣的地方。
本文设计了基于ARM9 S3C2440A微处理器和Linux操作系统的便携式点巡检机械故障诊断系统,硬件部分采用共振解调技术、以太网、GPRS、RS485、电子标签、AD7760和U盘等,软件部分采用基于形态提升小波的自适应多尺度算法。仪器能够有效提取机械设备早期的微冲击脉冲信号,识别出故障类型。
1 硬件设计与实现
1.1系统硬件结构框图

系统硬件结构框图如图1所示。根据设计要求,诊断仪需要丰富的片上资源和运算大量数据,一般微处理器不具有上述能力,本设计采用三星公司的16/32 位精简指令集(RISC)微处理器S3C2440A,S3C2440A是基于ARM920T核心,ARM920T实现了MMU、AMBA总线和哈佛结构高速缓冲体系结构,这一结构具有独立的16 KB指令高速缓存和16 KB数据高速缓存。其主频在1.3 V下高达400 MHz,数据处理能力很强。4路传感器的信号进入独立的信号调理电路,根据需要选通多路开关,调制后的信号通过A/D转换器变为数字量,送给微处理器S3C2440A。人机交互界面采用TFT触摸屏,内嵌入软键盘,交互界面提供了丰富的操作信息,可显示时域波形、自相关、互相关、倒频谱、功率谱和基于形态提升小波的自适应多尺度频谱图。存储部分扩展了128 MB的NandFlash和64 MB的SDRAM。
1.2 数据采集
1.2.1信号调理电路

组合传感器是由加速度传感器、速度传感器、位移传感器组成。信号调理电路如图2所示,有两路调制:一路采用共振解调技术提取机械设备出现故障时的微冲击信号;另外一路对常规振动信号进行放大、隔离、低通滤波处理,可以对设备中后期故障进行预测。信号调理部分需要注意选择合适的器件带宽BW、滤波参数、放大倍数。
1.2.2 共振解调技术
机械设备出现早、中期故障的信号特征是产生幅度很小、宽度很窄的冲击脉冲。脉冲信号自身包含无限次谐波的脉冲,高频分量尤其丰富[2],其数学模型可表示为:ke-t(k1sinw1t+k2cosw2t+…)。把传感器输出信号经过放大,然后经过中心频率f0与加速度传感器的谐振频率相等的带通滤波器UAF42达到共振,再经过高通滤波器,滤掉低频振动信号及部分噪声,获取信号中的高频成分,再经过调制器进行包络检波,就得到与脉冲冲击发生频率相同的低频信号,通过上述的共振解调技术就可以实现高信噪比的故障诊断。
1.3 通信模式
根据诊断仪应用的环境不同,采用了4种通信模式:GPRS通信、以太网通信、RS485、RS232。远程智能监控系统与每一种通信模式之间都有一套通信协议,诊断仪将采集到的数据发给远程智能监控系统进行分析与处理,进而实现更精准、专业的远程故障诊断。
1.3.1 GPRS通信
GPRS通信采用华为的MG323模块,MG323与S3C2440A之间通信采用AT指令, S3C2440A通过串口将AT指令发给MG323,MG323将数据帧通过Internet传到远端的上位机监控系统上。MG323外围电路如图3所示,MG323_TXD和MG323_RXD分别接S3C2440A的串口3的TXD3和RXD3。TERM_ON、MG_RST分别是MG323的开关机和复位接口。ESDALC6V 1W5是ESD防护器件,保护SIM卡。LPG是网络状态指示管脚,通过该管脚输出的脉冲信号来控制三极管Q1的导通与关断,LED是网络连接状态指示灯。同时,还利用GSM网络的SMS通信机制发送短信,实现了与手机的联动告警和监控。

1.3.2 以太网通信
以太网具有数据传输速度快、传输距离远、稳定等特点,被广泛使用。网络接口芯片选用高度集成的、低成本的以太网MAC控制器DM9000,支持MII/RMII接口和8/16/32位的处理器接口方式,10 M/100 M收发器。S3C2440A与DM9000的连接图如图4所示。

1.4 单总线1-Wire技术
一般被检测设备较多,且分布在不同的位置,为了规范巡检操作过程、提高效率和避免差错,采用了基于单总线技术的具有64位注册码的电子标签iButton DS1990R自动识别检测点。为了防止设备故障点温度过高,采用温度传感器DS18B20实时监控,借助温度变化反应故障情况。为了保证通信的连续性并创建可靠的单总线网络,采用串口接口转换器DS2480B,DS2480B会自动产生精确的单总线数据传输时序,保证数据传输可靠,DS2480B与 1-Wire器件连接电路如图5所示。

1.5 模数转换器AD7760
AD7760是一款高性能、24位∑-Δ型模数转换器ADC,融合了宽输入带宽、高速特性与∑-Δ转换技术的优势,2.5 MS/s时信噪比可达100 dB,使其广泛地应用于高速数据采集系统、振动分析系统[5]。AD7760内置用来驱动基准电压的缓冲、用于信号缓冲和电平转换的差分放大器、超量程标志、内部增益与失调寄存器以及低通数字FIR滤波器,是一款高度集成的紧凑型数据采集器件,只需选择极少的外围元件。AD7760与S3C2440A的连接图如图6所示。

2系统软件设计
2.1嵌入式Linux操作系统
诊断仪以嵌入式Linux操作系统为软件平台,在Linux环境下使用C和汇编语言编程,使用Qtopia2.2.0开发了一套图形界面。嵌入式Linux操作系统开发包括开发环境的搭建(Ubuntu、交叉编译工具arm-linux-gcc)、U-Boot的移植、Linux内核的移植(修改顶层Makefile中的ARCH和CROSS_COMPILE、修改MTD分区、移植YAFFS文件系统)、构建根文件系统(移植根文件系统制作工具busybox)、内核调试、设备驱动的开发。
2.2设备驱动程序的开发
嵌入式开发的难点在于设备驱动的开发,Linux内核虽然有85%的驱动程序,但都是些常见的设备驱动,对于用户板载的非常见设备,就需要自己编写驱动程序加载进内核。Linux操作系统将所有的设备都看成文件,以操作文件的方式访问设备,应用程序必须使用统一的接口函数调用硬件驱动程序。接口函数集合在file_operations类型的数据结构中,struct file_operations的成员全部是函数指针,这些指针指出了设备驱动程序所提供的入口点位置,即函数跳转表。对于不需要的函数接口可以直接初始化为NULL,也可不定义,但此时将会调用缺省函数[4]。当应用程序使用read、write、ioctl等函数读写、控制设备时,驱动程序的file_operations结构中的相应成员就会被调用。因此编写驱动程序就是为具体硬件的file_operations结构编写各个函数。
AD7760的驱动程序中定义的file_operations为:
static struct file_operations AD7760_fops =
{
.owner = THIS_MOUDLE,
.write = AD7760_write,
.read = AD7760_read,
.open = AD7760_open,
.release = AD7760_release,
};
2.3主程序流程图
系统初始化后,进入功能菜单页面,按照面向操作对象的原则,功能菜单以树的形式展开页面。主程序流程图如图7所示,图7(b)是图7(a)的E树枝。

3 形态提升的自适应多尺度算法
目前小波分析应用在旋转机械的故障诊断方面取得了很好地效果,但是对不同的故障信号,小波基的选择具有一定的难度,同时阈值选择得不当也使其抑制噪声效果不明显。基于形态提升小波的自适应多尺度算法是利用形态提升小波保留脉冲信号的特点将微弱脉冲在一定程度上放大,减少低频信号的干扰,再利用自适应多尺度滤波对冲击进行匹配,这样提取脉冲信号效果更加明显[6]。形态提升采用非下采样的方式进行移不变扩展。
3.1多尺度形态滤波
定义
s为多尺度形态膨胀和腐蚀,sg为s尺度下的结构元素,故多尺度形态梯度MGs(x)为:

3.2 自适应多尺度形态梯度算法
当机械发生损伤性故障时,会产生突变的冲击信号,其数学模型如下:
![GP]8YP(G%%V(~KZOY~2BDQH.png GP]8YP(G%%V(~KZOY~2BDQH.png](http://www.ninimall.com/files/images/2017/01/25/6362094737126300008203346.png)
其中,
,s为尺度因子,u为位移因子,v为频率因子,w为相位因子。
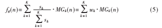
参考文献[6]提出了自适应多尺度变换后的信号fg(n)为:
![{JD1$G})A}O]FYGH}N{9T0D.png {JD1$G})A}O]FYGH}N{9T0D.png](http://www.ninimall.com/files/images/2017/01/25/6362094737896300009654921.png)
其中,sk为第k个尺度,wk为权重函数。
4 实例分析
为验证诊断仪在实际应用中的效果,采用实验室故障诊断平台中的轴承作为故障信号来源,轴承节径为39.5 mm,滚动体直径为7.5 mm,滚动体个数为12个,采样频率设为10 kHz,转频选为15 Hz。根据轴承故障特征频率公式计算得到外圈故障频率72.9 Hz,内圈故障频率107.09 Hz。图8是轴承外圈时域波形和频谱图,从频谱图可以明显看到故障信号72.63 Hz,这与计算的外圈故障特征频率理论值吻合,故可断定为外圈故障。由实验结果可以证明诊断仪采用的共振解调技术和基于形态提升小波的自适应多尺度算法能够有效提取微冲击信号,准确判断机械的故障类型。
本文将ARM和嵌入式Linux操作系统应用于便携式点巡检机械故障诊断仪,该仪器具有强大的数据处理能力、多任务实时调度和高稳定性,具有丰富的外设接口,通信方式多样化,满足了高可靠性、批量数据实时处理的要求。数据采集的硬件部分采用共振解调技术,从硬件上消除噪声,有效地提取冲击信号,24位高速A/D转换器AD7760使得转换的数据精度高达0.178 8 μV。 在软件上采用了基于形态提升小波的自适应多尺度算法,该方法改善了形态小波阈值选择的难度并摆脱了冲击信号先验知识的限制。故障实例分析很好地证明了该诊断仪对故障信号提取的有效性。
参考文献
[1] 王旭,高立新.基于共振解调的嵌入式数据采集分析仪的研究[J]. 机械设计与制造,2009(9):57-59.
[2] 周凤星,程耕国,梁巍.共振解调和小波分析在机械故障诊断中的应用[J]. 系统工程与电子技术,2005,27(6):1128-1131.
[3] 韦东山.嵌入式Linux应用开发完全手册[M].北京:人民邮电出版社,2008.
[4] 曹毅,何慎学,陈会鸽.ARM-Linux外扩AD驱动程序的研究与实现[J].自动化与仪表,2010,25(9):45-48.
[5] 刘胜洋,魏星.高精度高速度的模数转换器[J].电子技术,2008,45(4):34-37.
[6] 严保康,周凤星. 一种基于形态提升的自适应轴承微冲击提取方法[J].振动与冲击,2013,32(24):198-203.
