刘洋1,2,欧文1,2,王卫东2
(1. 中国科学院大学 微电子学院, 北京 100029; 2.中国科学院物联网研究发展中心 智能传感器工程中心,江苏 无锡 214135)
摘要:数字化改造后的称重设备其称重传感器具有故障诊断的功能,但目前缺少针对称重传感器零漂故障诊断的方法。为此,文章提出了基于滑窗原理和零点采样序列标准差的零漂故障检测方法。首先对称重传感器的零点输出信号采样,然后利用滑窗取出其中的n个连续值,求出这n个值的标准差,最后用此标准差与正常输出标准差的比值作为检测依据。当比值大于设定阈值时,传感器存在故障,否则不存在故障。测试表明该方法能有效检测传感器的零漂故障。
关键词:滑窗;标准差;零漂;故障检测;称重设备
中图分类号:TP206+.3文献标识码:ADOI: 10.19358/j.issn.1674-7720.2017.07.026
引用格式:刘洋,欧文,王卫东.称重设备传感器零漂检测方法研究[J].微型机与应用,2017,36(7):88-90,94.
0引言
*基金项目:江苏省科技支撑重点项目(BE2014003);江苏省自然科学基金(BK20161149)传统称重设备采用的都是模拟称重传感器,称台下各个模拟传感器并联接入模拟接线盒,模拟接线盒对各个传感器输出的模拟信号进行叠加得到与被测车辆成比例的模拟电压。采用模拟称重传感器具有接线简单、价格相对比较便宜等优点,但却失去了故障诊断的功能,即当其中任意一路称重传感器发生故障时,整个称重系统都将会产生非常大的误差,并且很难判断故障产生的位置[1]。目前对称重传感器故障的检测主要是通过加载砝码对输出电压进行人工检测来判断是否发生故障,这种检测方法效率低并且受检测人员检测水平的限制。
随着物联网技术的发展,精细化管理越来越受到重视,传统称重设备的弊端也越来越明显,对传统称重设备数字化改造的需求也越来越大。与此同时,对称重传感器的故障检测也越来越受到重视,文献[2]根据空载和加标准砝码时传感器的输出信息,人工判断称重传感器是否存在故障,这种方法自动化程度低,需要人工干预。文献[3]和文献[4]分别把径向基函数神经网络和专家系统引入到汽车衡称重传感器的故障检测上,但检测的故障仅限于传感器的短路、开路、灵敏度及传感器不归零四类故障方面,当传感器发生零漂故障时却无法检测。文献[5]把小波变换和深度信念网络引入到动态汽车衡故障诊断方面,但只能在称重数据采样过程中某一时刻或者某几个时刻采集到的数据有问题的情况下才能检测出来。为此,本文提出了一种称重传感器零漂故障的检测方法,根据正常传感器零点输出序列的标准差和产生零漂故障的传感器零点输出序列的标准差的不同来检测称重传感器是否存在零漂故障。实验表明,只要合理设定检测阈值就可以准确检测出称重传感器的零漂故障。
1数字称重设备工作简介
称重设备组成如图1所示,当车辆通过称重设备时,称重台下面的各个称重传感器能根据车辆重量得到称重数据,称重数据经数字接线盒到达称重控制器,同时,轴识别器可以识别出通过称重设备的车辆类型,车辆分离器和车辆检测器可以检测出是否有车辆通过及车辆通过的时间,这些信息也上传到称重控制器。称重控制器根据接收到的信号计算出车辆重量和称重传感器是否存在零漂故障并上报计算机和数据中心。

2称重传感器零漂故障检测
2.1称重传感器零点漂移故障
由于温度变化以及称重传感器在制造、安装及使用过程中会残存一部分应力等原因,称重传感器在没有外力作用时也会有一个随着时间推移而变化的输出,即此时称重传感器存在零点漂移故障[67]。通常零漂表现为称重传感器输出无规律的变化,如果这部分漂移信号叠加到实际的称重信号中就会对称重精度产生重大影响。
如果称重传感器i在t0时刻发生零漂故障,则称重传感器i的零点输出为:

式(1)中xinor和xidri分别是称重传感器正常和产生零漂时输出信号的大小。称重传感器零点输出如图2所示。

2.2故障特征提取
从图2可以看出,称重传感器发生零点漂移时,其零点输出信号将产生无规律且幅值较大的变化。当称重传感器处于零点(即称重设备上没有车辆通过)时对称重传感器的输出信号进行采样,当称重传感器存在零漂时采样数据的标准差会比称重传感器不存在零漂时采样数据的标准差大,通过这个原理就可以对称重传感器进行故障检测。
称重传感器i在零点的n次采样数据为Xi( xi(1), xi(2), …, xi(n)),这n次采样数据的标准差σi(n)为:

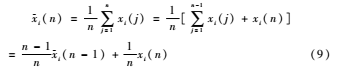
式中x-i(n)为传感器i的n次采样输出的平均值,即:
![VV0MMI~[)X]C$1_1XBPU(`A.png VV0MMI~[)X]C$1_1XBPU(`A.png](http://www.ninimall.com/files/images/2017/05/03/6362944620037128744370921.png)
称重传感器使用过程中需要实时地判断传感器是否存在零点漂移的故障,这就要求系统必须采集最新的n个零点采样数据,为此,本文采用滑窗滤波来实现对最新n个零点采样数据的存储、计算。滑窗滤波的原理如图3所示。

如图3所示,窗口中共有n个采样数据,当采集下一次数据(如第n+2次采样数据xi(n+2))时,窗口中的第一个采样数据(第2次采样数据xi(2))首先移出窗口,窗口中第2个采样数据到第n个采样数据(图中的xi(3)到xi(n+1))依次向前移动一个存储单元,最后将下一次采样数据(xi(n+2))放入窗口中最后一个存储单元,完成一次滑窗移动。通过对移动后的窗口中的数据计算得到一次标准差σi(n+1),从而得到零点的标准差序列σi(r)(r=n,n+1,n+2,...)。
当n比较大时,为了保存更多的采样数据需要增加系统内存。考虑到称重传感器数量较多(4~20个),且它们的零漂故障检测是在嵌入式设备上完成的,而嵌入式设备本身内存资源就比较紧张,所以需要尽量减小对内存的消耗,这样就需要对式(2)、式(3)进行优化。设Rx(τ;n)为称重传感器i零点采样数据序列的自相关函数(其中τ为采样间隔,n为采样个数),即:
Rx(τ,n)=E[xi(j)xi(j+τ)](4)
当τ=0时,
Rx(0,n)=Rx(τ,n)|τ=0=E[xi(j)xi(j)]
=E[x2i(j)](5)
根据均值x-i(n)与方差σ2i(n)的关系:
E[x2i(j)]=x-2i(n)+σ2i(n)(6)
得到方差
σ2i(n)=E[x2i(j)]-x-2i(n)=Rx(0,n)-x-2i(n)(7)
式中,


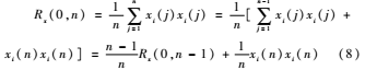
式(8)、(9)是Rx(0,n)和x-i(n)的递推公式,从式中可以看出要想求出采样序列的标准差σi(n),只需要求出序列的均值x-i(n)和当τ=0时的自相关函数Rx(0,n),而求均值和自相关函数只需要采样次数n、自相关函数Rx(0,j-1)和均值x-i(j)-1三个参数,有效地减少了内存的消耗。
2.3零漂故障识别
当称重传感器不存在零漂故障时,传感器的n个零点采样序列的标准差为σnor(n),当称重传感器存在零漂故障时,传感器的n个零点采样序列标准差为σdri(n),设定阈值为εran,当满足

时则可以认为称重传感器发生了零漂故障。
通过改变阈值εran可以改变故障检测的灵敏度和误警率。当阈值εran较大时,误警率会比较低,但检测灵敏度会下降;当阈值εran较小时,检测灵敏度会较高,但误警率也会较高。
3实验结果分析
为了检验该零漂故障检测方法的可行性,本实验随机选取了某高速公路收费站某一称重系统2#称重传感器发生零漂后的实测信号,称重传感器零点采样值如图4所示(其中横坐标为时间,每隔1 min采样一次,当有车通过时停止采样;纵坐标为称重传感器的输出)。

设定滑窗大小为10,即滑窗内可以存储10个采样数据,从第10个数据开始计算它前面10个数据的标准差,计算结果如图5所示。

在称重传感器零点测试数据中随机取20个正常输出的数据,根据这20个数据计算出10个序列的标准差,使用这10个标准差的平均值作为称重传感器不存在零漂时的标准差(根据本实验数据,标准差为0.262 9),然后利用式(10)来判断是否发生零点故障。
图6是故障模式识别图,其中εran是判别阈值(本实验εran取1),从图中可以看出当传感器发生零漂故障时,式(10)计算出的比值明显大于设定阈值,而当称重传感器不存在零漂时根据式(10)计算出的比值非常接近0(即远小于εran)。
4结论
为了有效对称重传感器的零漂故障进行检测,本文研究了利用滑窗和标准差对传感器进行零漂检测的方法。首先对称重传感器的零点输出进行采样,然后利用滑窗原理对采样数据求序列标准差,最后通过比较传感器有零漂时的输出序列标准差和正常时序列标准差来判断称重传感器是否存在故障。测试表明当称重传感器存在零漂故障时,该方法可以有效检测出来。
参考文献
[1] BLISS D, STICKEL C. BENTZ J W.Load cell diagnostics and failure prediction weighing apparatus and process: United State, 728638[P]. 2003.
[2] 肖兴华.称重传感器“亚健康”及早诊断的方法[J].衡器, 2007,36(1):41-42.
[3] 林海军,滕召胜,迟海,等,基于信息融合的汽车衡称重传感器故障诊断[J].控制理论与应用,2010, 27(1):25-31.
[4] 杨静,李丽宏.基于专家系统的汽车衡故障传感器判别[J].传感器与微系统,2014,33(11):34-40.
[5] 王春香,李丽宏,张帝.基于小波变换和DBN的汽车衡传感器故障诊断[J].传感器与微系统,2016,35(4):22-24.
[6] 陶宝祺.电阻应变式传感器[M].北京:国防工业出版社,1993.
[7] 朱子健.基于先进数据处理技术的智能称重传感器研究[D].南京:南京航空航天大学,2004.
