文献标识码: A
DOI:10.16157/j.issn.0258-7998.2017.07.011
中文引用格式: 刘红,叶强. 基于LTCC技术的微型化巴伦设计[J].电子技术应用,2017,43(7):43-46,54.
英文引用格式: Liu Hong,Ye Qiang. Miniaturization balun design based on LTCC technology[J].Application of Electronic Technique,2017,43(7):43-46,54.
0 引言
随着无线通信技术的快速发展,人们对高密度、小尺寸的电子产品提出了越来越高的要求。低温共烧陶瓷(Low Temperature Co-fired Ceramic,LTCC)技术由于其在集成度、Q值等方面的特点已广泛应用于通信领域[1]。将LTCC技术与传统的PCB基板技术进行对比可以看出,这两种技术在处理组件方式上有着自己的特点,传统的PCB基板中的无源器件是封装的结构,在LTCC技术中无源器件采用内埋的方式,而这种内埋的方式由于其结构的特点可以缩小器件的体积。
Balun是一种三端口器件,由非平衡端口和平衡端口组成。它具有两个功能:(1)完成两个端口信号的相互转化。(2)具有阻抗变换功能。巴伦在电路系统中是一个非常重要的器件,在差分放大器、天线的馈电网络、平衡混频器等需要差分电路的系统中都需要它的存在。
本文设计的LTCC巴伦的带宽为2.4~2.5 GHz,相位不平衡度小于10°,两个平衡端口的幅度差小于2 dB,巴伦的尺寸仅为2.0 mm×1.25 mm×0.8 mm。
1 Marchand balun巴伦理论
Balun是一种单输入和双端输出的器件,它具有三个端口,一个非平衡端口和两个平衡端口。整体上来说,Balun的形式有很多种,但是从总体上来说主要为无源和有源。对于有源来说,因为采用了有源器件晶体管,因此会产生噪声和功耗。对于无源来说,主要为以下3大类:集总元件式巴伦、螺旋变压器式巴伦和分布参数式巴伦[2]。在分布参数式巴伦中有一种巴伦为微带巴伦,微带巴伦主要有微带集总式巴伦、微带混合环巴伦、微带三线巴伦、微带Marchand巴伦和其他一些Marchand巴伦的变形结构等多种形式[3]。Marchand Balun幅值和相移都有其自己的特点,而且由于其带宽比较宽,所以很多都喜欢用这种结构的Balun。如图1所示为平面MarchandBalun的等效电路示意图[4]。但是Marchand Balun也有不足的地方,Marchand Balun由两段1/4波长微带耦合区段组成[5],如果设计为低频结构,会使器件的体积变大。

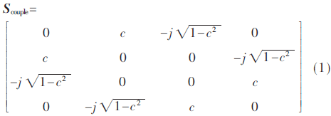
Marchand Balun是一种对称的结构,由两个相同的耦合区段组合而成,在中心频率处的波长为λ/4,对于这种结构的巴伦,假设源端和负载端的阻抗均为Z0,在理想情况下,得到耦合线的S矩阵如下:

式中,k=-20logc,单位为dB,k(Coupling Figure)是耦合系数,c(Coupling Factor)是耦合因子。其中k值为负数,c和k都表示耦合强度越的大小,k的绝对值越小,c值越大。

当Z1=Z0时,耦合线的耦合系数为c=4.8 dB[6],简化后的Marchand 巴伦 S参数如式(2)所示,由式(2)可以看出,S参数矩阵的每一行元素的平方和为1,这样非平衡端口的功率就可以均分到平衡端口,同时两平衡端口之间存在180°的相位差。
对于直耦合线而言,它的k值为0.3左右,但是采用上下耦合形式的螺旋耦合线,它的k值可以达到0.45左右。如图3所示,对上述两种耦合线的传输系数进行了仿真对比,从图中可以看出,直线耦合线的带宽明显小于上下耦合螺旋耦合线的带宽[7-8]。所以,为了增大微带耦合线之间的耦合作用,采用如图2所示的结构,这种结构被称为螺旋宽边耦合带状线(Spiral Broadside Coupled Stripline)结构[9]。


2 设计实例
本文为一款频带2.4~2.5 GHz,尺寸仅为2.0 mm×1.25 mm×0.8 mm的微型宽带巴伦。本文设计的LTCC微型化宽带巴伦的指标如表1所示。

图4和图5为设计完成后巴伦的正视图和立体图,从图中可以看出,该巴伦由12层金属导电材料和其间的介质陶瓷基板组成,层与层之间通过金属柱相连,第2层、第7层、第12层为金属屏蔽地层,屏蔽层的主要目的是为了隔离周围环境对巴伦的干扰并且减小巴伦内部各部件之间不需要的寄生耦合作用;第4层和第5层金属为一组宽边耦合带状线结构,第9层和第10层金属为另一组螺旋宽边耦合带状线结构,该巴伦采用的陶瓷材料的εγ=6.8,tanδ=0.003。


由HFSS仿真得出的结果如图6所示,根据图6可知,该巴伦的驻波、插损、平衡端口的相位差以及幅度差在带宽范围内都符合指标的要求。

3 实际测试
根据上述设计的模型,将低温烧制的陶瓷粉经过流延制成厚度精确而且致密的生瓷带,然后经过切片、打孔、内电极印刷等一系列工艺制出所需要的电路图形,然后利用温水等静压技术将生瓷带按模型电路叠压在一起,随后按照模型所对应尺寸进行切割,然后在900 ℃下进行排胶、成烧,再利用含钯银浆进行外电极端印,制成文中所述的巴伦。巴伦的实物如图7所示。

测试使用焊接的方法,利用安捷伦5071B网络分析仪进行测试。测试的结果如图8所示。由图6和图8可知,测试曲线和仿真曲线一致,平衡端的插损误差也在允许范围之内,相位的一致性也比较好,基本上达到了预期的目标。

经过比较,实际焊接曲线和HFSS仿真曲线还是存在一定误差,主要是焊接测试板没有焊接好、SMA头与测试板之间有间隙、校正时的夹具与测试基板之间PCB板没有统一以及测试之前没有校正好网络分析仪。但是该巴伦性能总体上达到了最初的设计要求。
4 结论
本文设计了一款基于LTCC技术的微型巴伦,尺寸仅为2.0 mm×1.25 mm×0.8 mm,从实物测试结果可以看出,该款巴伦的工作带宽为2.4~2.5 GHz,Amplitude Difference(平衡输出差)小于1.0 dB,Phase Difference(相位差)小于10°。从仿真和实测的结果看出两者趋势一致,符合最初的设计要求。
参考文献
[1] SCRANTOM C Q,LAWSON J C.LTCC technology:where we are and where we’re going-Ⅱ[C]/IEEE MTT-S International Microwave Symprium Digest.NY,USA:IEEE,1999:193-200.
[2] 张有志,张颖,夏凤仙,等.巴伦在RFID系统中的应用研究[D].上海:上海海事大学,2010.
[3] Lew Dae won,Park Jun seok,Ahn Dal,et al.A design of the ceramic chip balun using the multilayer configuration[J].IEEE Transactions on Microwave Theory and Techniques,2001,49(1):220-224.
[4] 方安.基于低温共烧陶瓷技术的微带滤波器和巴伦模块设计方法研究[D].杭州:浙江工业大学,2006.
[5] LIM H A,LEONG M S,CHEW B L O T.A new method of designing marchand baluns for multilayer applications[C]//Taiwan Proceeding of APMC2001.Taipei:[s.n],2001.
[6] 姚友芳.微型LTCC平衡滤波器的研究[D].南京:南京理工大学,2010.
[7] SCHWINDT R,NGUYEN C.A CAD procedure for the double-layer broadside-coupled marchand balun[J].IEEE MTT-S Digest,1994,94(4):389-391.
[8] TSAI C M,GUPTA K C.A generalized model forcoupled lines and its application to planar balun synthesis[J].IEEE MTT-S Int Microwave Sjmp Dig,1992,40(12):873-876.
[9] FUJIKI Y,MANDAI H,Morikawa Takehiko.Chip type spiral broadside coupled directional couples and baluns using low temperature co-fired ceramic[A].1999 IEEE Electronic Components and Technology Conference[C],1999:105-110.
作者信息:
刘 红,叶 强
(中国计量大学 信息工程学院,浙江 杭州310018)
