李超,郭道省,郭克锋
(解放军理工大学 通信工程学院,江苏 南京 210007)
摘要:随着多输入多输出(MultiInputMultiOutput,MIMO)技术的成熟与应用,越来越多的问题被纳入实际中继网络系统设计的考量之中,硬件损伤(Hardware Impairments, HI)便是近年来提出的重要影响因素。在以发射天线选择/接收最大比合并(Transmit Antenna Selection/Maximal Ratio Combining,TAS/MRC)作为传输方案的译码转发(Decode Forwarding,DF)MIMO中继网络系统模型中,研究了硬件损伤对系统中断概率、吞吐量和能量效率的影响。特别地,推导了硬件损伤条件下系统的中断概率、吞吐量和能量效率闭合表达式,通过仿真简单分析了天线数目对于系统硬件损伤程度的影响,对不同分配方案做出了比较。最后给出了Monte Carlo仿真结果,验证了理论分析准确性。
关键词:中断概率;吞吐量;能量效率;MIMO;TAS/MRC;DF;硬件损伤
中图分类号:TN925文献标识码:ADOI: 10.19358/j.issn.1674-7720.2017.10.019
引用格式:李超,郭道省,郭克锋.硬件损伤条件下TAS/MRC MIMO中继网络系统性能分析[J].微型机与应用,2017,36(10):65-69,73.
0引言
随着现代无线通信技术的迅猛发展,频谱资源日趋紧张,高频通信逐步登上了当今无线通信的主流舞台。然而伴随频率的增高,信号波长较短,绕射能力差,在信号的覆盖能力上有明显短板,容易出现信号盲区。中继技术应运而生。依靠中继的转发,可以较为有效地实现信号覆盖范围的扩大,同时中继技术也能有效平衡负载,提高系统的可靠性,中继技术也被视为下一代的通信网络中的必要关键性技术[1 2]。
在众多中继网络的相关技术研究中,多天线技术能够在中继技术上进一步有效提高系统容量和传输链路的可靠性,因此得到了广泛研究和应用。当在收发端都装备多天线以实现多输入多输出时,就称之为MIMO技术。MIMO能够为无线通信系统带来空间复用增益,这对于提高系统的频谱效率大有裨益,能够有效提高系统有效性,并成倍增大系统容量。MIMO为系统带来的空间分集增益增强了系统的可靠性,使误码率明显降低。在MIMO系统中,TAS/MRC是一种极为重要的传输策略。在发射端通过导频信号反馈获取最优性噪比选择一根最优天线发送,然后以最大比合并的方式被接收端接收。此种策略目前得到了广泛的应用和深入的分析研究,因其只需要在发射端配置一条射频电路,充分考虑了当前的集成电路水平,在花销、技术难度和系统性能上做了较好折中[3 4]。
然而,目前已知的大多研究和文献均是在理想的硬件条件下进行的分析,而硬件损伤在实际应用中通常有着不容忽视的影响。在实际通信中,除了衰落、噪声、干扰等因素,由硬件自身产生的噪声也是影响系统自身性能的重要因素[5 6]。这其中包括I/Q支路不平衡、非线性功放产生的等效噪声以及射频电路噪声等,等效到硬件自身后统一定义为硬件损伤。文献[7]~[9]对单跳通信网络中的硬件损伤影响进行了评估。文献[10]首次基于三节点模型进行了硬件损伤分析。这些工作对于进一步加深对硬件损伤的理解以及研究硬件损伤的必要性具有重大意义。
基于上述已有的研究成果,本文首先建立双跳DF MIMO中继网络系统模型,选用TAS/MRC为传输策略;其次,以中断概率、系统吞吐量和能量效率为性能分析标准,给出了Rayleigh信道下相应的闭合表达式及渐进表达式;第三,通过比较不同的天线数目方案下的性能分析,研究硬件损伤对于MIMO系统的影响,同时对于天线数目分配提供有力参考;最后,所有的理论分析皆由仿真结果验证。
1系统与信道模型

如图1所示,考虑Rayleigh信道模型下双跳DF多天线中继网络系统。信号经由处理转发中继节点R的译码转发,实现源节点S和目标节点D之间的信息传递。文中所有节点均采用半双工模式,并配备一定数量的天线。文中不考虑S到D之间的直传链路。
在TAS/MRC中,为选取最优发射天线,需要获得即时的信道状态信息(Channel State Information,CSI)。为此,S节点发射出导频信号,R节点的全部天线进行响应。根据本文中所选用的TAS/MRC策略,R节点采用最大比合并计算信噪比并反馈, S节点中将会选取能够获得最大信噪比的天线作为最优发射天线。第一时隙,发射端选定天线发送N/2个符号到中继端,中继端将在下一个时隙选用相同天线选择方式选出中继节点的最佳发射天线,对刚刚接收的信号进行译码转发,再由目标节点采用最大比合并进行接收。假设h表示独立不完全相同分布的瑞利随机变量,s为发送端的传输信号,其平均功率为P=E[s2];v为加性高斯白噪声(Additive White Gaussian Noise,AWGN),当考虑系统的硬件损伤时,假设k为一个描述硬件损伤程度的设计参数,那么失真噪声可表示为零期望方差为k2P的η,接收信号可表示为y=h(s+η)+v。进一步定义ηsir和ηrjd分别为源端最佳发射天线i到中继和中继端最佳发射天线j到目的端的失真等效噪声,Ps和Pr相应代表源端和中继端的发射功率。如此便可得出硬件损伤条件下,系统相应的SNDR(SignalNoiseDistortionRatio)可表示为:

式中q=|h|2为信道增益,且q~γ(1/μ);V0=E[|v|2]表示噪声功率。
当系统选用了TAS/MRC天线来减轻系统损耗并考虑了硬件损伤时,可以得到的信噪比如下:

式中的Pi为发射端S节点发射功率;qij为源端第i根天线到中继端第j根天线的信道增益;Vr为中继端的噪声功率;ksi用以描述源端第i根天线作为发射天线时,到相应中继端天线的硬件损伤程度;Ns、Nr分别代表源端、中继端的天线装备数目。
同理可得到第二时隙的信噪比表达式:
![Q$CCAPK}52WH7R({]~RT0J5.png Q$CCAPK}52WH7R({]~RT0J5.png](http://www.ninimall.com/files/images/2017/08/06/6363765202351960914943352.png)
式中Pj为发射端R节点的发射功率,qjh为中继端天线j和目的端天线h的信道增益,Vd为目的节点噪声功率,krj用以描述相应传输链路的硬件损伤程度,Nd为节点D的天线数目。
2系统性能分析
根据前面的模型,本节内容将以中断概率、吞吐量、能量效率三项重要的性能参数作为分析标准,在考虑硬件损伤的条件下,给出了相应的闭合表达式。
2.1系统的终端对终端SNDR
系统采用译码转发的协议,根据文献[10],在相应情况下,系统的终端对终端SNDR可以表示为:
γe=min{γ1,γ2}(6)
2.2性能分析
2.2.1中断概率
系统的瞬时SNDR将由一定的概率降到一个预先既定的使系统可以稳定传输的门限值以下,这个概率就是中断概率。设定门限值为x0时,其表达式如下:
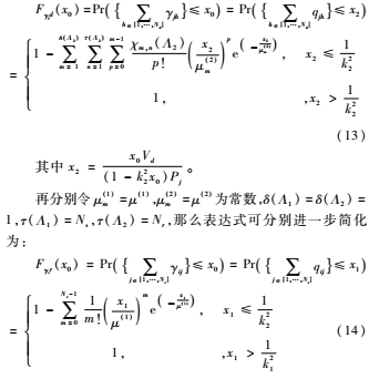
Pout(γe =Pout(γ1 Pout(γ1 其相应的信道增益的累积分布函数(Cumulative Distribution Function,CDF)表达式为: 令ksi=k1,i∈{1,…,Ns},根据文献[11],第一时隙的累积分布函数可表达为: 已知qij~γ(1/μ(1)m),(m∈{1,…,Ns}),(μ(1)1> μ(1)2>…>μ(1)(Λ))表示第一时隙的平均信道增益递减排列,Λ1=diag(μ(1)1,μ(1)2,…,μ(1)Ns),(Λ1)表示对角阵Λ1中不相同的元素数量,τ(Λ1)则表示Λ1中μ(1)m的多重性。χ1m,n为Λ1中相应的(m,n)元素的特征系数。 同理有: 又由前面分析的系统中断概率可知,γe的中断概率CDF可表示为: 2.2.2系统吞吐量 除了中断概率,系统吞吐量是衡量系统性能的另一项重要参数。根据文献[12]的定义,系统吞吐量是在给定传输速率ξ (b/s)/Hz时,源端到目的端的传输准信率。考虑系统不能保障准确传输时,系统的吞吐量为0,那么可以得到系统吞吐量的表达式为: 2.2.3系统能量效率 考虑系统可以保障准确传输,那么目的端收到ξ/2 (b/s)/Hz的信号时,将会损耗一定功率,这其中包括固有的发射功率以及电路损耗的部分功率。本文考虑硬件损伤条件下的硬件损伤功耗。定义ηE (b/s)/Hz/W为能量效率,有: 式中,ζs,ζd,ζd分别表示三个节点单一天线在发射信号或接收信号时硬件损伤导致的损耗。 根据前文硬件损伤的定义,有ζs+ζrecr=Psk21和ζtranr+ζd=Prk22。 3仿真结果 为验证理论分析正确性,本节给出了仿真结果。其中的SNR定义为相应链路的发射功率与高斯白噪声比值。没有图例特殊说明时,k1=k2=k=0.2,Ns=Nr=Nd=N=2。 图2所示为硬件损伤条件下的DF MIMO中继网络与理想硬件条件下的中断概率图。由图可以看出,理论曲线与实际仿真曲线在所考虑的信噪比条件范围内均较为贴合,验证了理论分析的正确性,同时,硬件损伤条件下的曲线性能对比理想条件有了明显下降,进一步显示硬件损伤对于系统设计有不可忽略的影响。 图3所示为SISO与MIMO的DF中继网络系统的中断概率仿真图。理论值与仿真值一如预期较为吻合。同时可以看出中断概率的确随着天线数目增加而单调减小,符合理论推导。 图4为考虑天线数目总和固定时,选取的四种典型的不同天线数目分配方案对于中断概率的影响。图4验证了当等分配时,系统的中断概率取得最小值。 图5为选择能量效率为性能分析标准,理想条件下和不同程度硬件损伤条件下系性能的对比。可以看出随着硬件损伤程度的加深,能量效率显著降低。同时可以看出给定条件下,随着信噪比的升高,中断概率得到改善的同时,硬件损伤带来的损耗增加,所以在信噪比增大到一定值后,能量效率开始降低。 图6为SISO和不同天线数目的MIMO系统的性能对比。如推导所得,在给定条件下,随着天线数目的增加,能量效率在短暂上升后开始回降,这个能量效率的最优值出现在了N=2~3处。 4结论 本文基于硬件损伤条件对于中继网络系统的性能进行了分析。通过理论推导以及仿真验证可以看出,MIMO系统相对SISO系统在提高接收增益上有着明显的优势,随着天线增加越多,系统中断概率越低,但不能忽视的是可能需要为此付出的代价,就是硬件损伤的增加和能量效率的降低。仿真过程中也可明显看出,发射端的功率对于系统性能有明显的影响,功率分配对于实际系统设计有着深刻意义。 参考文献 [1] SENDONARIS A, ERKIP E, AAZHANG B. User cooperation diversity. Part I. System description[J]. IEEE Transactions on Communications, 2003, 51(11):1927-1938. [2] SENDONARIS A, ERKIP E, AAZHANG B. User cooperation diversity. Part II. Implementation aspects and performance analysis[J]. IEEE Transactions on Communications, 2003, 51(11):1939-1948. [3] Li Qinghua, LIN X E, Zhang Jianzhong, et al. Advancement of MIMO technology in WiMAX: from IEEE 802.16d/e/j to 802.16m[J].IEEE Communications Magazine, 2009, 47(6):100-107. [4] Zhang Xing, Chen Feng, Wang Wenbo. Outage probability study of multiuser diversity in MIMO transmit antenna selection systems[J]. IEEE Signal Processing Letters, 2007, 14(3):161-164. [5] COSTA E, PUPOLIN S. MQAMOFDM system performance in the presence of a nonlinear amplifier and phase noise[J]. IEEE Transactions on Communications, 2002, 50(3):462-472. [6] STUDER C, WENK M, BURG A. MIMO transmission with residual transmitRF impairments[C].International Itg Workshop on Smart Antennas, IEEE, 2010:189-196. [7] ZETTERBERG P. Experimental investigation of TDD reciprocitybased zeroforcing transmit precoding[J]. EURASIP Journal on Advances in Signal Processing, 2011, 2011(1):110. [8] SCHENK T C W, FLEDDERUS E R, SMULDERS P F M. Performance analysis of zeroIF MIMO OFDM transceivers with IQ imbalance[J]. Journal of Communications, 2007, 2(7). [9] DARDARI D, TRALLI V, VACCARI A. A theoretical characterization of nonlinear distortion effects in OFDM systems[J]. IEEE Transactions on Communications, 2014, 48(10):1755-1764. [10] BJORNSON E, MATTHAIOU M, DEBBAH M. A new look at dualhop relaying: performance limits with hardware impairments[J]. IEEE Transactions on Communications, 2013, 61(11):4512-4525. [11] BLETSAS A, SHIN H, WIN M Z. Cooperative communications with outageoptimal opportunistic relaying[J]. IEEE Transactions on Wireless Communications, 2007, 6(9):3450-3460.
![]RA)ME)D4AD~VZO_H08M~YM.png ]RA)ME)D4AD~VZO_H08M~YM.png](http://www.ninimall.com/files/images/2017/08/06/6363765206450382639227305.png)

![ME2]QETKXL]%XH}8@QJH@UU.png ME2]QETKXL]%XH}8@QJH@UU.png](http://www.ninimall.com/files/images/2017/08/06/6363765209784744838005514.png)
![2JI_EO3`YGU]})B57W]K0_G.png 2JI_EO3`YGU]})B57W]K0_G.png](http://www.ninimall.com/files/images/2017/08/06/6363765211189426938193531.png)
![@@]CG~YNN(4H7E4NX7TH}`5.png @@]CG~YNN(4H7E4NX7TH}`5.png](http://www.ninimall.com/files/images/2017/08/06/6363765213906604045345966.png)
![{Q%`5`K@MPDEBQ]KWJ_P]CR.png {Q%`5`K@MPDEBQ]KWJ_P]CR.png](http://www.ninimall.com/files/images/2017/08/06/6363765215222223952234516.png)





